jk.zdjt.com.png?v=1
18fb2b86e65f3346e85a44a71f0f1611
ÑÎËáÍÐÍé˾Çí×¢ÉäÒº
¡¾³É¡¡¡¡·Ý¡¿ÑÎËáÍÐÍé˾Çí
¡¾¹¦Ð§Ö÷ÖΡ¿Ô¤·ÀºÍÖÎÁư©Ö¢»¯ÁÆÒýÆðµÄ¶ñÐĺÍÍÂÄæ£»£»£»£»£»£»ÖÎÁÆÊÖÊõºóµÄ¶ñÐĺÍÍÂÄæ¡£¡£¡£¡£¡£¡£
¡¾¹æ¡¡¡¡¸ñ¡¿5ml£º5.64mg(Ï൱ÓÚÍÐÍé˾Çí5mg)
¡¾Åú×¼Îĺš¿¹úÒ©×¼×ÖH20052476
²úƷ˵Ã÷

¡¾Ò©Æ·Ãû³Æ¡¿Í¨ÓÃÃû³Æ£ºÑÎËáÍÐÍé˾Çí×¢ÉäÒº

        ÉÌÆ·Ãû³Æ£ºÑÒµÏ

        Ó¢ÎÄÃû³Æ£ºTropisetron Hydrochloride Injection

        ººÓïÆ´Òô£ºYansuan Tuowansiqiong Zhusheye

¡¾³É·Ý¡¿±¾Æ·Ö÷Òª³É·ÝΪ£ºÑÎËáÍÐÍé˾Çí¡£¡£¡£¡£¡£¡£

     »¯Ñ§Ãû³Æ£ºßÅßá-3-¼×Ëá1¦ÁH£¬£¬5¦ÁH-ÍÐÆ·-3¦Á-´¼õ¥ÑÎËáÑΡ£¡£¡£¡£¡£¡£

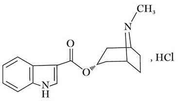
     »¯Ñ§½á¹¹Ê½£º

ÑÎËáÍÐÍé˾Çí×¢ÉäÒº

     ·Ö×Óʽ£ºC17H20N2O2¡¤HCL

     ·Ö×ÓÁ¿£º320.81

     ¸¨ÁÏΪ£º×¢ÉäÓÃË®¡£¡£¡£¡£¡£¡£

¡¾ÐÔ×´¡¿±¾Æ·ÎªÎÞÉ«µÄ³ÎÃ÷ÒºÌå¡£¡£¡£¡£¡£¡£

¡¾Ë³Ó¦Ö¢¡¿Ô¤·ÀºÍÖÎÁư©Ö¢»¯ÁÆÒýÆðµÄ¶ñÐĺÍÍÂÄæ£»£»£»£»£»£»ÖÎÁÆÊÖÊõºóµÄ¶ñÐĺÍÍÂÄæ¡£¡£¡£¡£¡£¡£

¡¾¹æ¸ñ¡¿5ml£º5.64mg(Ï൱ÓÚÍÐÍé˾Çí5mg)

¡¾Ó÷¨ÓÃÁ¿¡¿1¡¢Ô¤·ÀºÍÖÎÁư©Ö¢»¯ÁÆÒýÆðµÄ¶ñÐĺÍÍÂÄæ£ºÔÚÈκλ¯ÁÆÖÜÆÚÖУ¬£¬±¾Æ·×î¶à¿ÉÓ¦ÓÃ6Ìì¡£¡£¡£¡£¡£¡£(1)³ÉÈË£ºÍƼö¼ÁÁ¿Îª5mg/Ìì¡£¡£¡£¡£¡£¡£ÍƼöµÚÒ»Ìì½ÓÄɾ²Âö;¾¶¸øÒ©£¬£¬ÒÔºó¸ÄΪ¿Ú·þ¸øÒ©ÌìÌìÒ»´Î×î¶à5Ìì¡£¡£¡£¡£¡£¡£²ÎÕÕÒÔÏÂÒªÁì¸øÒ©£ºµÚ1Ìì¾²Âö¸øÒ©£º½«±¾Æ·5mg(1°²ê³)ÈÜÓÚ100ºÁÉý³£ÓÃÊä×¢ÒºÖÐ(ÐÄÀíÑÎË®¡¢ÁÖ¸ñÊÏÒº»ò5%ÆÏÌÑÌÇÈÜÒº)ÔÚ»¯ÁÆÇ°¿ìËÙ¾²ÂöµÎ×¢(15·ÖÖÓÒÔÉÏ)£»£»£»£»£»£»»ò»ºÂý¾²ÂöÍÆ×¢(ËÙÂÊΪ2mg/min£¬£¬5mg/5mlµÄ°²ê³Ô¼3·ÖÖÓ×¢ÉäÍê)£»£»£»£»£»£»»ò»ºÂý¼ÓÈëÒÑÓеľ²ÂöÊäÒºÖС£¡£¡£¡£¡£¡£µÚ2¡«6Ìì¿Ú·þ¸øÒ©£ºÌìÌìÒ»´Î¿Ú·þ¸øÒ©5mg£¬£¬ÓÚÔ糿Æð´²Ê±(ÖÁÉÙÓÚÔç²Íǰ1Сʱ)ÓÃË®ËÍ·þ¡£¡£¡£¡£¡£¡£(2)¶ùͯ£ºÒ»°ã²»ÍƼöÓÃÓÚ¶ùͯ£¬£¬È粡ÇéÐèÒª±ØÐèʹÓÃʱ£¬£¬¿É²ÎÕÕÈçÏÂÒªÁì¸øÒ©£º2ËêÒÔÉ϶ùÍ¯ÍÆ¼ö¼ÁÁ¿0.1mg/Kg£¬£¬×î¸ß¿É´ï5mg/Ìì¡£¡£¡£¡£¡£¡£µÚ1Ìì¾²Âö¸øÒ©£º½«±¾Æ·5mgÈÜÓÚ100ml³£ÓÃÊä×¢ÒºÖÐ(ÐÄÀíÑÎË®¡¢ÁÖ¸ñÊÏÒº»ò5%ÆÏÌÑÌÇÈÜÒº)ÓÚ»¯ÁÆÇ°¿ìËÙ¾²ÂöµÎ×¢15·ÖÖÓÒÔÉÏ»ò»ºÂý¾²ÂöÍÆ×¢»ò»ºÂý¼ÓÈëÒÑÓеľ²ÂöÊäÒºÖУ¬£¬µÚ2~6Ìì¿É¸ÄΪ¿Ú·þ¸øÒ©£º´Ó°²ê³ÖÐÈ¡ÊÊÁ¿µÄÑÎËáÍÐÍé˾Çí×¢ÉäÒº£¬£¬ÓýÛ×ÓÖ­»ò¿ÉÀÖÏ¡Êͺ󣬣¬ÔÚÔ糿Æð´²Ê±(ÖÁÉÙÓÚÔç²Íǰ1Сʱ)ѸËÙ·þÏ¡£¡£¡£¡£¡£¡£2¡¢ÖÎÁÆÊÖÊõºóµÄ¶ñÐÄÍÂÄæ£º³ÉÈËÍÆ¼ö¼ÁÁ¿Îª2mg£¬£¬ÈÜÓÚÐÄÀíÑÎË®¡¢ÁÖ¸ñÊÏÒº»ò5%ÆÏÌÑÌÇÈÜÒºÄÚ¾²ÂöÊä×¢»ò»ºÂý¾²Âö×¢Éä(30ÃëÒÔÉÏ)¡£¡£¡£¡£¡£¡£ÏÖÔÚûÓжùͯÊõºóÓ¦ÓõÄÂÄÀú¡£¡£¡£¡£¡£¡£3¡¢Ë¾°Í¶¡/¶à¾ÛÒìà­ëÒÂý´úлÕßµÄÓ¦ÓãºÖ»¹ÜÂý´úлÕßÏû³ýÏà°ëË¥ÆÚ±ÈÕý³£´úлÕß³¤4-5±¶£¬£¬µ«Ó¦ÓÃÍÆ¼ö¼ÁÁ¿µÄÍÐÍé˾ÇíûÓÐÒ©ÎïÒýÆð¶¾ÐÔ·´Ó³µÄ±¨µÀ¡£¡£¡£¡£¡£¡£Òò´Ë£¬£¬ÔÚΪÆÚ6ÌìµÄÓ¦ÓÃÖУ¬£¬Âý´úлÕßÎÞÐè¼õµÍ¼ÁÁ¿¡£¡£¡£¡£¡£¡£ÕâЩ»¼ÕßÖÐ×î³£¼ûÍ·Í´ºÍ±ãÃØµÄ±¨µÀ(¼û²»Á¼·´Ó³)¡£¡£¡£¡£¡£¡£4¡¢¸Î»òÉö¹¦Ð§²»È«»¼ÕßµÄÓ¦Ó㺸ÎÓ²»¯»òÉö¹¦Ð§²»È«»¼ÕßµÄѪ½¬Ò©ÎïŨ¶ÈÔò½ÏÕý³£´úлµÄ¿µ½¡×ÔÔ¸Õ߸ßÔ¼50%£¬£¬µ«ÔÚ¼±ÐÔ¸ÎÑ×»òÖ¬·¾¸Î»¼ÕßÖУ¬£¬ÑÎËáÍÐÍé˾ÇíµÄÒ©´ú¶¯Á¦Ñ§Î޸ıä¡£¡£¡£¡£¡£¡£½öÔÚ¾²ÂöÓ¦ÓÃʱÐè¼õÁ¿50%¡£¡£¡£¡£¡£¡£

¡¾²»Á¼·´Ó³¡¿ÁÙ´²Ñо¿ÖÐ×î³£±¨µÀµÄ²»Á¼·´Ó³ÎªÓ¦ÓÃ2mgÒýÆðµÄÍ·Í´(22%)¼°Ó¦ÓÃ5mgÒýÆðµÄ±ãÃØ(11%)¡£¡£¡£¡£¡£¡£¿µ½¡×ÔÔ¸ÕßÖУ¬£¬ÕâЩ²»Á¼·´Ó³ÔÚÂý´úлÕßÖбÈÕý³£´úлÕ߸üΪ³£¼û(¼û˾°Í¶¡/¶à¾ÛÒìà­ëÒÂý´úлÕßµÄÓ¦ÓÃ)¡£¡£¡£¡£¡£¡£ÎÞÒâÒ²ÓÐÍ·ÔΡ¢Æ£·¦¡¢Î¸³¦¹¦Ð§ÔÓÂÒÈ縹ʹºÍ¸¹ÐºµÄ±¨µÀ(0.1-5%)¡£¡£¡£¡£¡£¡£ÓëÆäËû5-HT3ÊÜÌåÞ׿¹¼ÁÏàËÆ£¬£¬Ò²ÓÐÐéÍÑ¡¢ÔÎØÊºÍÐÄÌø×èÖ¹µÄ¸ö°¸±¨µÀ£»£»£»£»£»£»µ«ÕâЩÊÂÎñÓëÍÐÍé˾ÇíµÄʹÓÃûÓÐÈ·ÇеÄÒò¹û¹ØÏµ£¬£¬ÕâЩ·´Ó³¿ÉÄÜ»áÓÉϸ°û¶¾ÐÔÒ©Îï»òÔ­Óеļ²²¡ÒýÆð¡£¡£¡£¡£¡£¡£ÓëÆäËû5-HT3ÊÜÌåÞ׿¹¼ÁÏàËÆ£¬£¬Ò²ÓÐÒÔÏÂÒ»ÖÖ»ò¶àÖÖIÐÍʧ³£·´Ó³±¬·¢µÄ¸ö°¸±¨µÀ£ºÃ沿³±ºìºÍ/»òÈ«Éí·çÕî¡¢ÐØ²¿Õ¥È¡¸Ð¡¢ºôÎüÄÑÌâ¡¢¼±ÐÔÖ§Æø¹Ü¾·Âκ͵ÍѪѹ¡£¡£¡£¡£¡£¡£ÔÚÉÏÊкóÓ¦ÓÃʱ´ú£¬£¬±¨¸æÁ˺ÜÊÇÓÐÊýµÄ¹ýÃô·´Ó³£ºÆ¤Õî¡¢ºì°ß¡¢¹ýÃôÐÔÐݿˡ£¡£¡£¡£¡£¡£ÓÉÓÚ±¬·¢ÕâЩ±¨¸æµÄ»¼ÕßÈËÊýδÃ÷È·£¬£¬ÇÒ¿ÉÄܱ£´æ»ìÏýÒòËØ£¬£¬Òò´Ë²»¿É׼ȷ¹ÀËãÒ©Îï²»Á¼·´Ó³±¬·¢ÂÊ»òÈ·¶¨ÓëÒ©ÎïµÄÒò¹û¹ØÏµ¡£¡£¡£¡£¡£¡£

¡¾½û¼É¡¿Ôи¾½ûÓᣡ£¡£¡£¡£¡£¶ÔÍÐÍé˾Çí¹ýÃô»òÆäËû5-HT3ÊÜÌåÞ׿¹¼Á(Èç¶÷µ¤Î÷ͪ¡¢¸ñÀ­Ë¾Çí)»òÈκÎÒ»ÖÖ¸³ÐμÁ¹ýÃôµÄ»¼Õß½ûÓᣡ£¡£¡£¡£¡£

¡¾×¢ÖØÊÂÏî¡¿1¡¢¸ßѪѹδ¿ØÖƵϼÕߣ¬£¬ÓÃÒ©ºó¿ÉÄÜÒýÆðѪѹ½øÒ»²½Éý¸ß£¬£¬¹Ê¸ßѪѹµÄ»¼ÕßÓ¦É÷Ó㬣¬ÆäÓÃÁ¿²»ÒËÁè¼Ý10ºÁ¿Ë/Ìì¡£¡£¡£¡£¡£¡£2¡¢ÑÎËáÍÐÍé˾Çí³£¼ûµÄ²»Á¼·´Ó³ÊÇÍ·ÔÎºÍÆ£ÀÍ£¬£¬»¼Õß·þÒ©ºóÔڼݳµ»òʹÓûúеÕßÓ¦É÷Óᣡ£¡£¡£¡£¡£3¡¢¸ÎÉö¹¦Ð§Õϰ­ÕßʹÓñ¾Æ·°ëË¥ÆÚÑÓÉ죬£¬µ«ÕâÖÖת±äÔÚÌìÌì5mg£¬£¬Á¬ÐøÓÃÒ©6ÌìµÄÖÎÁÆÖв»»á±¬·¢Ò©ÎïÐî»ý¡£¡£¡£¡£¡£¡£4¡¢ÓÐÐÄÂÊ»ò´«µ¼Òì³£¼²²¡µÄ»¼ÕßÒÔ¼°Í¬Ê±·þÓÿ¹ÐÄÂÊʧ³£Ò©Îï»ò¦ÂÊÜÌå×èÖͼÁµÄ»¼ÕßÓ¦É÷Óᣡ£¡£¡£¡£¡£

¡¾Ôи¾¼°²¸ÈéÆÚ¸¾Å®ÓÃÒ©¡¿Ôи¾¼°²¸ÈéÆÚ¸¾Å®½ûÓᣡ£¡£¡£¡£¡£¶¯ÎïÌåÄÚµÄÉúÖ³Ñо¿Åú×¢ÍÐÍé˾Çí¾ßÓÐÅßÌ¥¶¾ÐÔ£¬£¬Ôи¾ÖÐûÓоÙÐдËÏîÑо¿¡£¡£¡£¡£¡£¡£¶¯ÎïÓ¦Ó÷ÅÉä±ê¼ÇµÄÍÐÍé˾ÇíµÄÑо¿ÏÔʾ£¬£¬ÔÚÈéÖ­Öпɼì²âµ½·ÅÉä»îÐÔ£¬£¬ÏÖÔÚ¶ÔÍÐÍé˾ÇíÊÇ·ñ»á½øÈëµ½ÈËÀàÈéÖ­ÖÐÉв»ÇåÎú¡£¡£¡£¡£¡£¡£

¡¾¶ùͯÓÃÒ©¡¿Ò»°ã²»ÍƼöʹÓ㬣¬È粡ÇéÐèÒª±ØÐèʹÓÃʱ£¬£¬Æä¼ÁÁ¿°Ý¼û¡¾Ó÷¨ÓÃÁ¿¡¿¡£¡£¡£¡£¡£¡£

¡¾ÍíÄêÓÃÒ©¡¿ÍíÄêÈËÓ¦ÓÃÎÞÐèµ÷½â¼ÁÁ¿¡£¡£¡£¡£¡£¡£

¡¾Ò©ÎïÏ໥×÷Óá¿1¡¢ÑÎËáÍÐÍé˾ÇíÈôÓëÀû¸£Æ½»òÆäËü¸ÎøÓÕµ¼Ò©Îï(Èç±½°Í±ÈÍ×)ͬʱʹÓ㬣¬Ôò¿Éµ¼ÖÂÑÎËáÍÐÍé˾ÇíµÄѪ½¬Å¨¶È½µµÍ£¬£¬Òò´Ë´úлÕý³£ÕßÐèÔöÌí¼ÁÁ¿(´úл²»Á¼Õß²»ÐèÔöÌí)¡£¡£¡£¡£¡£¡£2¡¢Ï¸°ûÉ«ËØP450øÒÖÖÆ¼ÁÈçÎ÷ßäÌæ¶¡¶ÔÑÎËáÍÐÍé˾ÇíµÄѪ½¬Å¨¶ÈµÄÓ°Ï죬£¬ÔÚÕý³£Ê¹ÓõÄÇéÐÎÏÂÎÞÐèµ÷½â¼ÁÁ¿¡£¡£¡£¡£¡£¡£3¡¢½ÓÊܾ²ÂöÓ¦Óø߼ÁÁ¿(80mg)ÍÐÍé˾ÇíµÄ»¼ÕßÖÐÊÓ²ì¹âÁÙ´²ÎÞÒâÒåµÄQTcÑÓÉ죬£¬Òò´Ëµ±ÓëÆäËû¿ÉÄܻᵼÖÂQTcÑÓÉìµÄÒ©ÎïÊÊÓÃʱӦºÜÊÇ×¢ÖØ¡£¡£¡£¡£¡£¡£4¡¢ÉÐδ¾ÙÐйýÍÐÍé˾ÇíÓëÂé×í¼ÁµÄÏ໥×÷ÓÃÑо¿¡£¡£¡£¡£¡£¡£

¡¾Ò©Îï¹ýÁ¿¡¿Ö¢×´£º¶à´Î´ó¼ÁÁ¿Ê¹ÓÃʱ¿Éµ¼Ö»ÃÊÓ¡£¡£¡£¡£¡£¡£ÒÑÓиßѪѹ»¼ÕßµÄѪѹ¿ÉÉý¸ß¡£¡£¡£¡£¡£¡£´¦Àí£º¶ÔÖ¢ÖÎÁÆ£¬£¬Ó¦¶Ô»¼ÕßµÄÖ÷ÒªÉúÃüÌåÕ÷×öÑÏÃÜÊÓ²ìºÍ³ÖÐøËæ·Ã¡£¡£¡£¡£¡£¡£

¡¾Ò©Àí¶¾Àí¡¿1¡¢Ò©Àí×÷Ó㺱¾Æ·ÊÇÒ»ÖÖÍâÖÜÉñ¾­Ôª¼°ÖÐÊàÉñ¾­ÏµÍ³5-ôÇÉ«°·(5-HT3)ÊÜÌåµÄǿЧ¡¢¸ßÑ¡ÔñÐԵľºÕùÞ׿¹¼Á¡£¡£¡£¡£¡£¡£Ä³Ð©ÎïÖʰüÀ¨Ò»Ð©»¯ÁÆÒ©¿ÉÒý·¢ÄÚÔàð¤Ä¤µÄÀàÊȸõϸëÔÊͷųö5-ôÇÉ«°·£¬£¬´Ó¶øÓÕ·¢°é¶ñÐĵÄÍÂÄæ·´Éä¡£¡£¡£¡£¡£¡£±¾Æ·Ö÷Ҫͨ¹ýÑ¡ÔñÐÔµÄ×è¶ÏÍâÖÜÉñ¾­ÔªµÄÍ»³öǰĤ5-HT3ÊÜÌå¶øÒÖÖÆÍÂÄæ·´É䣬£¬ÁíÍ⣬£¬ÆäÖ¹ÍÂ×÷ÓÃÒ²¿ÉÄÜÓëÆäͨ¹ý¶ÔÖÐÊà5-HT3ÊÜÌåµÄÖ±½Ó×è¶Ï¶øÒÖÖÆ×îºóÇøµÄÃÔ×ßÉñ¾­µÄ´Ì¼¤×÷ÓÃÓйØ¡£¡£¡£¡£¡£¡£2¡¢¶¾ÀíÑо¿£º(1)ÒÅ´«¶¾ÐÔ£¬£¬ÎÄÏ×±¨µÀÑÎËáÍÐÍé˾Çí¶ÔСÊó¹ÇËè΢ºËÎÞÏÔ×ÅÓ°Ï죬£¬ÌåÍâ¸ßŨ¶ÈҲδ¼ûȾɫÌå»û±äºÍÖÂÍ»±ä×÷Óᣡ£¡£¡£¡£¡£(2)ÉúÖ³¶¾ÐÔ£¬£¬¶¯ÎïÉúÖ³¶¾ÐÔÊÔÑéÌáÐѱ¾Æ·ÓÐDZÔÚÅßÌ¥¶¾ÐÔ¡£¡£¡£¡£¡£¡£Éв»ÇåÎú±¾Æ·ÊÇ·ñ¿É½øÈëÈéÖ­£¬£¬Òò´Ë²¸ÈéÆÚ¸¾Å®²»Ó¦Ê¹Óñ¾Æ·¡£¡£¡£¡£¡£¡£

¡¾Ò©´ú¶¯Á¦Ñ§¡¿

ÎüÊÕ

Ò©Îï¼ÁÁ¿²î±ð¾ø¶ÔÉúÎïʹÓöÈÓвî±ð£¬£¬5mgÑÎËáÍÐÍé˾Çí¿Ú·þµÄ¾ø¶ÔÉúÎïʹÓöÈԼΪ60%¡£¡£¡£¡£¡£¡£Ïàͬ¼ÁÁ¿µÄ´ï·åʱ¼äΪ1.71Сʱ(tmax=1.71¡À0.58h)¡£¡£¡£¡£¡£¡£5mg¿Ú·þºóCmaxΪ9.2¡À6.8ng/ml¡£¡£¡£¡£¡£¡£

¶ùͯÌåÄÚÒ©ÎïµÄ¾ø¶ÔÉúÎïʹÓöȼ°ÖÕÄ©Ïà°ëË¥ÆÚÓë³ÉÈË¿µ½¡×ÔÔ¸ÕßµÄˮƽÏàËÆ¡£¡£¡£¡£¡£¡£

Õý³£´úл¹¦Ð§(˾°Í¶¡/¶à¾ÛÒìà­ëÒ)µÄ»¼Õ߿ڷþ5mg£¬£¬ÖðÈÕÒ»´ÎÁ¬ÐøÒ»Öܺ󣬣¬Ã»Óз¢Ã÷ÓÐÒ©ÎïÐî»ýÕ÷Ï󡣡£¡£¡£¡£¡£´úл¹¦Ð§½ÏÂýµÄ»¼ÕßÒ©ÎïµÄѪ½¬Å¨¶ÈÊÇÕý³£ÕßµÄ2.5±¶£¬£¬µ«²¢²»±Èͳһ»¼Õß¾²ÂöÓ¦ÓÃ5mgµÄŨ¶È¸ß¡£¡£¡£¡£¡£¡£»£»£»£»£»£»¼Õß¶ÔÕâÒ»¼ÁÁ¿Ë®Æ½Ò©ÎïµÄÄÍÊÜÐÔÓÅÒì¡£¡£¡£¡£¡£¡£

ÂþÑÜ

ÍÐÍé˾ÇíÓëѪ½¬ÂѰ׵ÄÁ¬ÏµÂÊΪ71%(Ö÷ÒªÊÇal-ÌÇÂѰ×)£¬£¬ÕâÖÖÁ¬ÏµÊÇ·ÇÌØÒìÐԵġ£¡£¡£¡£¡£¡£³ÉÈ˵ÄÂþÑÜÈÝ»ýԼΪ400-600Éý£¬£¬3-6Ëê¶ùͯԼΪ145Éý£¬£¬7-15ËêԼΪ265Éý¡£¡£¡£¡£¡£¡£

´úл

ÍÐÍé˾ÇíµÄ´úлÓë˾°Í¶¡/¶à¾ÛÒìà­ëÒÏà¹Ø(ϸ°ûÉ«ËØP450IID6)£¬£¬¸ß¼ÓË÷ÈËÖÖÖÐÔ¼ÓÐ8%ȱ·¦ÕâÖÖø¡£¡£¡£¡£¡£¡£

ÍÐÍé˾ÇíÔÚÆäßÅßá»·µÄ5£¬£¬6»ò7λ±»ôÇ»ù»¯¶ø´úл£¬£¬Ëæºó±»ÆÏÌÑÌÇÈ©Ëữ»òÓëÁòËá¸ùÁ¬ÏµÍ¨¹ýÄòÒº»òµ¨Ö­ÇãÔþÌåÍâ(ÄòÒº£º·à±ã=5£º1)¡£¡£¡£¡£¡£¡£

´úлÎïÓë5-HT3ÊÜÌåµÄÇ׺ÍÁ¦ºÜµÍ£¬£¬ÓëÒ©ÎïµÄÒ©Àí×÷Óûù±¾Î޹ء£¡£¡£¡£¡£¡£

ÖØ¸´Ó¦ÓÃÍÐÍé˾Çí10mgÒÔÉÏ¡¢ÖðÈÕÁ½´Î»áµ¼Ö¸ÎÔàÖÐÓëÍÐÍé˾Çí´úлÏà¹ØµÄøϵ±¥ºÍ£¬£¬Ö»¹Ü²»»áÁè¼ÝÂý´úлÕß×î¼ÑÄÍÊÜˮƽµÄÉÏÏÞ£¬£¬µ«ÕâÈԻᵼÖ¼ÁÁ¿Ïà¹ØµÄѪ½¬Å¨¶ÈµÄÉÏÉý¡£¡£¡£¡£¡£¡£ÖðÈÕÓ¦ÓÃÒ»´Î5mgÍÐÍé˾ÇíÓÃÓÚÔ¤·Àϸ°û¶¾ÐÔÒ©ÎïËùÒýÆðµÄ¶ñÐÄ¡¢ÍÂÄæ£¬£¬²»»áÒýÆðÁÙ´²Ïà¹ØµÄÐî»ý×÷Óᣡ£¡£¡£¡£¡£

Ïû³ý

Õý³£´úлÕßÏû³ýÏà(¦ÂÏà)°ëË¥ÆÚԼΪ8Сʱ£¬£¬¶øÂý´úлÕßԼΪ45Сʱ¡£¡£¡£¡£¡£¡£

Õý³£´úлÕßÌåÄÚÔ¼ÓÐ8%ÒÔÕæÏàÒ©Îï¾­ÄòÒºÇãÔþ£¬£¬¶ø70%ÒÔ´úлÎïµÄÐÎʽÇãÔþ£»£»£»£»£»£»ÁíÍâ15%ÏÕЩÍêÈ«ÒÔ´úлÎïµÄÐÎʽ´Ó·à±ãÖÐÇãÔþ¡£¡£¡£¡£¡£¡£

Âý´úлÕßÄòÒºÖÐÇãÔþµÄÒ©ÎïÕæÏàÒª¸ßÓÚÕý³£´úлÕß¡£¡£¡£¡£¡£¡£

×Üɨ³ýÂÊΪ1L/min£¬£¬ÉöÔàɨ³ýÔ¼Õ¼10%£¬£¬Âý´úлÕßµÄ×Üɨ³ýÂʽöΪ0.1-0.2L/min£¬£¬µ«ÉöÔàɨ³ýÂÊÎȹÌ¡£¡£¡£¡£¡£¡£ÕâÖÖ·ÇÉöÔàɨ³ýÂʵÄϽµµ¼ÖÂÖÕÄ©°ëË¥ÆÚÑÓÉì4-5±¶¡£¡£¡£¡£¡£¡£AUCµÄÖµÉý¸ß5-7±¶¡£¡£¡£¡£¡£¡£

¡¾Öü²Ø¡¿Õڹ⣬£¬ÃܱÕ£¬£¬Á¹°µ´¦(±Ü¹â²¢²»Áè¼Ý20¡æ)ÉúÑÄ¡£¡£¡£¡£¡£¡£

¡¾°ü×°¡¿µÍÅð¹è²£Á§°²ê³£º5ml¡Á1Ö§/ºÐ£»£»£»£»£»£»5ml¡Á5Ö§/ºÐ¡£¡£¡£¡£¡£¡£

¡¾ÓÐÓÃÆÚ¡¿18¸öÔ¡£¡£¡£¡£¡£¡£

¡¾Ö´Ðбê×¼¡¿¡¶ÖйúÒ©µä¡·2020Äê°æ¶þ²¿

¡¾Åú×¼Îĺš¿¹úÒ©×¼×ÖH20052476

¡¾ÉÏÊÐÔÊÐí³ÖÓÐÈË¡¿Ãû³Æ£ºÉ½Î÷tyc41183Ì«Ñô³É¼¯ÍÅÖÆÒ©¹É·ÝÓÐÏÞ¹«Ë¾

            ×¢²áµØµã£ºÉ½Î÷Ê¡³¤ÖÎÊÐÉϵ³Çø×ÆË¸ÄÏ·tyc41183Ì«Ñô³É¼¯ÍſƼ¼Ô°

¡¾Éú²úÆóÒµ¡¿ÆóÒµÃû³Æ£ºÉ½Î÷tyc41183Ì«Ñô³É¼¯ÍÅÖÆÒ©¹É·ÝÓÐÏÞ¹«Ë¾

        Éú²úµØµã£ºÉ½Î÷Ê¡³¤ÖÎÊÐÉϵ³Çø×ÆË¸ÄÏ·tyc41183Ì«Ñô³É¼¯ÍſƼ¼Ô°

        ÓÊÕþ±àÂ룺047100

        µç»°ºÅÂ룺0355-8096088

        ´«ÕæºÅÂ룺0355-8096055

        ÍøÖ·£ºwww.zdjt.com

18fb2b86e65f3346e85a44a71f0f1611
ÑÎËáÍÐÍé˾Çí×¢ÉäÒº
¡¾³É¡¡¡¡·Ý¡¿ÑÎËáÍÐÍé˾Çí
¡¾¹¦Ð§Ö÷ÖΡ¿Ô¤·ÀºÍÖÎÁư©Ö¢»¯ÁÆÒýÆðµÄ¶ñÐĺÍÍÂÄæ£»£»£»£»£»£»ÖÎÁÆÊÖÊõºóµÄ¶ñÐĺÍÍÂÄæ¡£¡£¡£¡£¡£¡£
¡¾¹æ¡¡¡¡¸ñ¡¿5ml£º5.64mg(Ï൱ÓÚÍÐÍé˾Çí5mg)
¡¾Åú×¼Îĺš¿¹úÒ©×¼×ÖH20052476
²úƷ˵Ã÷

¡¾Ò©Æ·Ãû³Æ¡¿Í¨ÓÃÃû³Æ£ºÑÎËáÍÐÍé˾Çí×¢ÉäÒº

        ÉÌÆ·Ãû³Æ£ºÑÒµÏ

        Ó¢ÎÄÃû³Æ£ºTropisetron Hydrochloride Injection

        ººÓïÆ´Òô£ºYansuan Tuowansiqiong Zhusheye

¡¾³É·Ý¡¿±¾Æ·Ö÷Òª³É·ÝΪ£ºÑÎËáÍÐÍé˾Çí¡£¡£¡£¡£¡£¡£

     »¯Ñ§Ãû³Æ£ºßÅßá-3-¼×Ëá1¦ÁH£¬£¬5¦ÁH-ÍÐÆ·-3¦Á-´¼õ¥ÑÎËáÑΡ£¡£¡£¡£¡£¡£

     »¯Ñ§½á¹¹Ê½£º

ÑÎËáÍÐÍé˾Çí×¢ÉäÒº

     ·Ö×Óʽ£ºC17H20N2O2¡¤HCL

     ·Ö×ÓÁ¿£º320.81

     ¸¨ÁÏΪ£º×¢ÉäÓÃË®¡£¡£¡£¡£¡£¡£

¡¾ÐÔ×´¡¿±¾Æ·ÎªÎÞÉ«µÄ³ÎÃ÷ÒºÌå¡£¡£¡£¡£¡£¡£

¡¾Ë³Ó¦Ö¢¡¿Ô¤·ÀºÍÖÎÁư©Ö¢»¯ÁÆÒýÆðµÄ¶ñÐĺÍÍÂÄæ£»£»£»£»£»£»ÖÎÁÆÊÖÊõºóµÄ¶ñÐĺÍÍÂÄæ¡£¡£¡£¡£¡£¡£

¡¾¹æ¸ñ¡¿5ml£º5.64mg(Ï൱ÓÚÍÐÍé˾Çí5mg)

¡¾Ó÷¨ÓÃÁ¿¡¿1¡¢Ô¤·ÀºÍÖÎÁư©Ö¢»¯ÁÆÒýÆðµÄ¶ñÐĺÍÍÂÄæ£ºÔÚÈκλ¯ÁÆÖÜÆÚÖУ¬£¬±¾Æ·×î¶à¿ÉÓ¦ÓÃ6Ìì¡£¡£¡£¡£¡£¡£(1)³ÉÈË£ºÍƼö¼ÁÁ¿Îª5mg/Ìì¡£¡£¡£¡£¡£¡£ÍƼöµÚÒ»Ìì½ÓÄɾ²Âö;¾¶¸øÒ©£¬£¬ÒÔºó¸ÄΪ¿Ú·þ¸øÒ©ÌìÌìÒ»´Î×î¶à5Ìì¡£¡£¡£¡£¡£¡£²ÎÕÕÒÔÏÂÒªÁì¸øÒ©£ºµÚ1Ìì¾²Âö¸øÒ©£º½«±¾Æ·5mg(1°²ê³)ÈÜÓÚ100ºÁÉý³£ÓÃÊä×¢ÒºÖÐ(ÐÄÀíÑÎË®¡¢ÁÖ¸ñÊÏÒº»ò5%ÆÏÌÑÌÇÈÜÒº)ÔÚ»¯ÁÆÇ°¿ìËÙ¾²ÂöµÎ×¢(15·ÖÖÓÒÔÉÏ)£»£»£»£»£»£»»ò»ºÂý¾²ÂöÍÆ×¢(ËÙÂÊΪ2mg/min£¬£¬5mg/5mlµÄ°²ê³Ô¼3·ÖÖÓ×¢ÉäÍê)£»£»£»£»£»£»»ò»ºÂý¼ÓÈëÒÑÓеľ²ÂöÊäÒºÖС£¡£¡£¡£¡£¡£µÚ2¡«6Ìì¿Ú·þ¸øÒ©£ºÌìÌìÒ»´Î¿Ú·þ¸øÒ©5mg£¬£¬ÓÚÔ糿Æð´²Ê±(ÖÁÉÙÓÚÔç²Íǰ1Сʱ)ÓÃË®ËÍ·þ¡£¡£¡£¡£¡£¡£(2)¶ùͯ£ºÒ»°ã²»ÍƼöÓÃÓÚ¶ùͯ£¬£¬È粡ÇéÐèÒª±ØÐèʹÓÃʱ£¬£¬¿É²ÎÕÕÈçÏÂÒªÁì¸øÒ©£º2ËêÒÔÉ϶ùÍ¯ÍÆ¼ö¼ÁÁ¿0.1mg/Kg£¬£¬×î¸ß¿É´ï5mg/Ìì¡£¡£¡£¡£¡£¡£µÚ1Ìì¾²Âö¸øÒ©£º½«±¾Æ·5mgÈÜÓÚ100ml³£ÓÃÊä×¢ÒºÖÐ(ÐÄÀíÑÎË®¡¢ÁÖ¸ñÊÏÒº»ò5%ÆÏÌÑÌÇÈÜÒº)ÓÚ»¯ÁÆÇ°¿ìËÙ¾²ÂöµÎ×¢15·ÖÖÓÒÔÉÏ»ò»ºÂý¾²ÂöÍÆ×¢»ò»ºÂý¼ÓÈëÒÑÓеľ²ÂöÊäÒºÖУ¬£¬µÚ2~6Ìì¿É¸ÄΪ¿Ú·þ¸øÒ©£º´Ó°²ê³ÖÐÈ¡ÊÊÁ¿µÄÑÎËáÍÐÍé˾Çí×¢ÉäÒº£¬£¬ÓýÛ×ÓÖ­»ò¿ÉÀÖÏ¡Êͺ󣬣¬ÔÚÔ糿Æð´²Ê±(ÖÁÉÙÓÚÔç²Íǰ1Сʱ)ѸËÙ·þÏ¡£¡£¡£¡£¡£¡£2¡¢ÖÎÁÆÊÖÊõºóµÄ¶ñÐÄÍÂÄæ£º³ÉÈËÍÆ¼ö¼ÁÁ¿Îª2mg£¬£¬ÈÜÓÚÐÄÀíÑÎË®¡¢ÁÖ¸ñÊÏÒº»ò5%ÆÏÌÑÌÇÈÜÒºÄÚ¾²ÂöÊä×¢»ò»ºÂý¾²Âö×¢Éä(30ÃëÒÔÉÏ)¡£¡£¡£¡£¡£¡£ÏÖÔÚûÓжùͯÊõºóÓ¦ÓõÄÂÄÀú¡£¡£¡£¡£¡£¡£3¡¢Ë¾°Í¶¡/¶à¾ÛÒìà­ëÒÂý´úлÕßµÄÓ¦ÓãºÖ»¹ÜÂý´úлÕßÏû³ýÏà°ëË¥ÆÚ±ÈÕý³£´úлÕß³¤4-5±¶£¬£¬µ«Ó¦ÓÃÍÆ¼ö¼ÁÁ¿µÄÍÐÍé˾ÇíûÓÐÒ©ÎïÒýÆð¶¾ÐÔ·´Ó³µÄ±¨µÀ¡£¡£¡£¡£¡£¡£Òò´Ë£¬£¬ÔÚΪÆÚ6ÌìµÄÓ¦ÓÃÖУ¬£¬Âý´úлÕßÎÞÐè¼õµÍ¼ÁÁ¿¡£¡£¡£¡£¡£¡£ÕâЩ»¼ÕßÖÐ×î³£¼ûÍ·Í´ºÍ±ãÃØµÄ±¨µÀ(¼û²»Á¼·´Ó³)¡£¡£¡£¡£¡£¡£4¡¢¸Î»òÉö¹¦Ð§²»È«»¼ÕßµÄÓ¦Ó㺸ÎÓ²»¯»òÉö¹¦Ð§²»È«»¼ÕßµÄѪ½¬Ò©ÎïŨ¶ÈÔò½ÏÕý³£´úлµÄ¿µ½¡×ÔÔ¸Õ߸ßÔ¼50%£¬£¬µ«ÔÚ¼±ÐÔ¸ÎÑ×»òÖ¬·¾¸Î»¼ÕßÖУ¬£¬ÑÎËáÍÐÍé˾ÇíµÄÒ©´ú¶¯Á¦Ñ§Î޸ıä¡£¡£¡£¡£¡£¡£½öÔÚ¾²ÂöÓ¦ÓÃʱÐè¼õÁ¿50%¡£¡£¡£¡£¡£¡£

¡¾²»Á¼·´Ó³¡¿ÁÙ´²Ñо¿ÖÐ×î³£±¨µÀµÄ²»Á¼·´Ó³ÎªÓ¦ÓÃ2mgÒýÆðµÄÍ·Í´(22%)¼°Ó¦ÓÃ5mgÒýÆðµÄ±ãÃØ(11%)¡£¡£¡£¡£¡£¡£¿µ½¡×ÔÔ¸ÕßÖУ¬£¬ÕâЩ²»Á¼·´Ó³ÔÚÂý´úлÕßÖбÈÕý³£´úлÕ߸üΪ³£¼û(¼û˾°Í¶¡/¶à¾ÛÒìà­ëÒÂý´úлÕßµÄÓ¦ÓÃ)¡£¡£¡£¡£¡£¡£ÎÞÒâÒ²ÓÐÍ·ÔΡ¢Æ£·¦¡¢Î¸³¦¹¦Ð§ÔÓÂÒÈ縹ʹºÍ¸¹ÐºµÄ±¨µÀ(0.1-5%)¡£¡£¡£¡£¡£¡£ÓëÆäËû5-HT3ÊÜÌåÞ׿¹¼ÁÏàËÆ£¬£¬Ò²ÓÐÐéÍÑ¡¢ÔÎØÊºÍÐÄÌø×èÖ¹µÄ¸ö°¸±¨µÀ£»£»£»£»£»£»µ«ÕâЩÊÂÎñÓëÍÐÍé˾ÇíµÄʹÓÃûÓÐÈ·ÇеÄÒò¹û¹ØÏµ£¬£¬ÕâЩ·´Ó³¿ÉÄÜ»áÓÉϸ°û¶¾ÐÔÒ©Îï»òÔ­Óеļ²²¡ÒýÆð¡£¡£¡£¡£¡£¡£ÓëÆäËû5-HT3ÊÜÌåÞ׿¹¼ÁÏàËÆ£¬£¬Ò²ÓÐÒÔÏÂÒ»ÖÖ»ò¶àÖÖIÐÍʧ³£·´Ó³±¬·¢µÄ¸ö°¸±¨µÀ£ºÃ沿³±ºìºÍ/»òÈ«Éí·çÕî¡¢ÐØ²¿Õ¥È¡¸Ð¡¢ºôÎüÄÑÌâ¡¢¼±ÐÔÖ§Æø¹Ü¾·Âκ͵ÍѪѹ¡£¡£¡£¡£¡£¡£ÔÚÉÏÊкóÓ¦ÓÃʱ´ú£¬£¬±¨¸æÁ˺ÜÊÇÓÐÊýµÄ¹ýÃô·´Ó³£ºÆ¤Õî¡¢ºì°ß¡¢¹ýÃôÐÔÐݿˡ£¡£¡£¡£¡£¡£ÓÉÓÚ±¬·¢ÕâЩ±¨¸æµÄ»¼ÕßÈËÊýδÃ÷È·£¬£¬ÇÒ¿ÉÄܱ£´æ»ìÏýÒòËØ£¬£¬Òò´Ë²»¿É׼ȷ¹ÀËãÒ©Îï²»Á¼·´Ó³±¬·¢ÂÊ»òÈ·¶¨ÓëÒ©ÎïµÄÒò¹û¹ØÏµ¡£¡£¡£¡£¡£¡£

¡¾½û¼É¡¿Ôи¾½ûÓᣡ£¡£¡£¡£¡£¶ÔÍÐÍé˾Çí¹ýÃô»òÆäËû5-HT3ÊÜÌåÞ׿¹¼Á(Èç¶÷µ¤Î÷ͪ¡¢¸ñÀ­Ë¾Çí)»òÈκÎÒ»ÖÖ¸³ÐμÁ¹ýÃôµÄ»¼Õß½ûÓᣡ£¡£¡£¡£¡£

¡¾×¢ÖØÊÂÏî¡¿1¡¢¸ßѪѹδ¿ØÖƵϼÕߣ¬£¬ÓÃÒ©ºó¿ÉÄÜÒýÆðѪѹ½øÒ»²½Éý¸ß£¬£¬¹Ê¸ßѪѹµÄ»¼ÕßÓ¦É÷Ó㬣¬ÆäÓÃÁ¿²»ÒËÁè¼Ý10ºÁ¿Ë/Ìì¡£¡£¡£¡£¡£¡£2¡¢ÑÎËáÍÐÍé˾Çí³£¼ûµÄ²»Á¼·´Ó³ÊÇÍ·ÔÎºÍÆ£ÀÍ£¬£¬»¼Õß·þÒ©ºóÔڼݳµ»òʹÓûúеÕßÓ¦É÷Óᣡ£¡£¡£¡£¡£3¡¢¸ÎÉö¹¦Ð§Õϰ­ÕßʹÓñ¾Æ·°ëË¥ÆÚÑÓÉ죬£¬µ«ÕâÖÖת±äÔÚÌìÌì5mg£¬£¬Á¬ÐøÓÃÒ©6ÌìµÄÖÎÁÆÖв»»á±¬·¢Ò©ÎïÐî»ý¡£¡£¡£¡£¡£¡£4¡¢ÓÐÐÄÂÊ»ò´«µ¼Òì³£¼²²¡µÄ»¼ÕßÒÔ¼°Í¬Ê±·þÓÿ¹ÐÄÂÊʧ³£Ò©Îï»ò¦ÂÊÜÌå×èÖͼÁµÄ»¼ÕßÓ¦É÷Óᣡ£¡£¡£¡£¡£

¡¾Ôи¾¼°²¸ÈéÆÚ¸¾Å®ÓÃÒ©¡¿Ôи¾¼°²¸ÈéÆÚ¸¾Å®½ûÓᣡ£¡£¡£¡£¡£¶¯ÎïÌåÄÚµÄÉúÖ³Ñо¿Åú×¢ÍÐÍé˾Çí¾ßÓÐÅßÌ¥¶¾ÐÔ£¬£¬Ôи¾ÖÐûÓоÙÐдËÏîÑо¿¡£¡£¡£¡£¡£¡£¶¯ÎïÓ¦Ó÷ÅÉä±ê¼ÇµÄÍÐÍé˾ÇíµÄÑо¿ÏÔʾ£¬£¬ÔÚÈéÖ­Öпɼì²âµ½·ÅÉä»îÐÔ£¬£¬ÏÖÔÚ¶ÔÍÐÍé˾ÇíÊÇ·ñ»á½øÈëµ½ÈËÀàÈéÖ­ÖÐÉв»ÇåÎú¡£¡£¡£¡£¡£¡£

¡¾¶ùͯÓÃÒ©¡¿Ò»°ã²»ÍƼöʹÓ㬣¬È粡ÇéÐèÒª±ØÐèʹÓÃʱ£¬£¬Æä¼ÁÁ¿°Ý¼û¡¾Ó÷¨ÓÃÁ¿¡¿¡£¡£¡£¡£¡£¡£

¡¾ÍíÄêÓÃÒ©¡¿ÍíÄêÈËÓ¦ÓÃÎÞÐèµ÷½â¼ÁÁ¿¡£¡£¡£¡£¡£¡£

¡¾Ò©ÎïÏ໥×÷Óá¿1¡¢ÑÎËáÍÐÍé˾ÇíÈôÓëÀû¸£Æ½»òÆäËü¸ÎøÓÕµ¼Ò©Îï(Èç±½°Í±ÈÍ×)ͬʱʹÓ㬣¬Ôò¿Éµ¼ÖÂÑÎËáÍÐÍé˾ÇíµÄѪ½¬Å¨¶È½µµÍ£¬£¬Òò´Ë´úлÕý³£ÕßÐèÔöÌí¼ÁÁ¿(´úл²»Á¼Õß²»ÐèÔöÌí)¡£¡£¡£¡£¡£¡£2¡¢Ï¸°ûÉ«ËØP450øÒÖÖÆ¼ÁÈçÎ÷ßäÌæ¶¡¶ÔÑÎËáÍÐÍé˾ÇíµÄѪ½¬Å¨¶ÈµÄÓ°Ï죬£¬ÔÚÕý³£Ê¹ÓõÄÇéÐÎÏÂÎÞÐèµ÷½â¼ÁÁ¿¡£¡£¡£¡£¡£¡£3¡¢½ÓÊܾ²ÂöÓ¦Óø߼ÁÁ¿(80mg)ÍÐÍé˾ÇíµÄ»¼ÕßÖÐÊÓ²ì¹âÁÙ´²ÎÞÒâÒåµÄQTcÑÓÉ죬£¬Òò´Ëµ±ÓëÆäËû¿ÉÄܻᵼÖÂQTcÑÓÉìµÄÒ©ÎïÊÊÓÃʱӦºÜÊÇ×¢ÖØ¡£¡£¡£¡£¡£¡£4¡¢ÉÐδ¾ÙÐйýÍÐÍé˾ÇíÓëÂé×í¼ÁµÄÏ໥×÷ÓÃÑо¿¡£¡£¡£¡£¡£¡£

¡¾Ò©Îï¹ýÁ¿¡¿Ö¢×´£º¶à´Î´ó¼ÁÁ¿Ê¹ÓÃʱ¿Éµ¼Ö»ÃÊÓ¡£¡£¡£¡£¡£¡£ÒÑÓиßѪѹ»¼ÕßµÄѪѹ¿ÉÉý¸ß¡£¡£¡£¡£¡£¡£´¦Àí£º¶ÔÖ¢ÖÎÁÆ£¬£¬Ó¦¶Ô»¼ÕßµÄÖ÷ÒªÉúÃüÌåÕ÷×öÑÏÃÜÊÓ²ìºÍ³ÖÐøËæ·Ã¡£¡£¡£¡£¡£¡£

¡¾Ò©Àí¶¾Àí¡¿1¡¢Ò©Àí×÷Ó㺱¾Æ·ÊÇÒ»ÖÖÍâÖÜÉñ¾­Ôª¼°ÖÐÊàÉñ¾­ÏµÍ³5-ôÇÉ«°·(5-HT3)ÊÜÌåµÄǿЧ¡¢¸ßÑ¡ÔñÐԵľºÕùÞ׿¹¼Á¡£¡£¡£¡£¡£¡£Ä³Ð©ÎïÖʰüÀ¨Ò»Ð©»¯ÁÆÒ©¿ÉÒý·¢ÄÚÔàð¤Ä¤µÄÀàÊȸõϸëÔÊͷųö5-ôÇÉ«°·£¬£¬´Ó¶øÓÕ·¢°é¶ñÐĵÄÍÂÄæ·´Éä¡£¡£¡£¡£¡£¡£±¾Æ·Ö÷Ҫͨ¹ýÑ¡ÔñÐÔµÄ×è¶ÏÍâÖÜÉñ¾­ÔªµÄÍ»³öǰĤ5-HT3ÊÜÌå¶øÒÖÖÆÍÂÄæ·´É䣬£¬ÁíÍ⣬£¬ÆäÖ¹ÍÂ×÷ÓÃÒ²¿ÉÄÜÓëÆäͨ¹ý¶ÔÖÐÊà5-HT3ÊÜÌåµÄÖ±½Ó×è¶Ï¶øÒÖÖÆ×îºóÇøµÄÃÔ×ßÉñ¾­µÄ´Ì¼¤×÷ÓÃÓйØ¡£¡£¡£¡£¡£¡£2¡¢¶¾ÀíÑо¿£º(1)ÒÅ´«¶¾ÐÔ£¬£¬ÎÄÏ×±¨µÀÑÎËáÍÐÍé˾Çí¶ÔСÊó¹ÇËè΢ºËÎÞÏÔ×ÅÓ°Ï죬£¬ÌåÍâ¸ßŨ¶ÈҲδ¼ûȾɫÌå»û±äºÍÖÂÍ»±ä×÷Óᣡ£¡£¡£¡£¡£(2)ÉúÖ³¶¾ÐÔ£¬£¬¶¯ÎïÉúÖ³¶¾ÐÔÊÔÑéÌáÐѱ¾Æ·ÓÐDZÔÚÅßÌ¥¶¾ÐÔ¡£¡£¡£¡£¡£¡£Éв»ÇåÎú±¾Æ·ÊÇ·ñ¿É½øÈëÈéÖ­£¬£¬Òò´Ë²¸ÈéÆÚ¸¾Å®²»Ó¦Ê¹Óñ¾Æ·¡£¡£¡£¡£¡£¡£

¡¾Ò©´ú¶¯Á¦Ñ§¡¿

ÎüÊÕ

Ò©Îï¼ÁÁ¿²î±ð¾ø¶ÔÉúÎïʹÓöÈÓвî±ð£¬£¬5mgÑÎËáÍÐÍé˾Çí¿Ú·þµÄ¾ø¶ÔÉúÎïʹÓöÈԼΪ60%¡£¡£¡£¡£¡£¡£Ïàͬ¼ÁÁ¿µÄ´ï·åʱ¼äΪ1.71Сʱ(tmax=1.71¡À0.58h)¡£¡£¡£¡£¡£¡£5mg¿Ú·þºóCmaxΪ9.2¡À6.8ng/ml¡£¡£¡£¡£¡£¡£

¶ùͯÌåÄÚÒ©ÎïµÄ¾ø¶ÔÉúÎïʹÓöȼ°ÖÕÄ©Ïà°ëË¥ÆÚÓë³ÉÈË¿µ½¡×ÔÔ¸ÕßµÄˮƽÏàËÆ¡£¡£¡£¡£¡£¡£

Õý³£´úл¹¦Ð§(˾°Í¶¡/¶à¾ÛÒìà­ëÒ)µÄ»¼Õ߿ڷþ5mg£¬£¬ÖðÈÕÒ»´ÎÁ¬ÐøÒ»Öܺ󣬣¬Ã»Óз¢Ã÷ÓÐÒ©ÎïÐî»ýÕ÷Ï󡣡£¡£¡£¡£¡£´úл¹¦Ð§½ÏÂýµÄ»¼ÕßÒ©ÎïµÄѪ½¬Å¨¶ÈÊÇÕý³£ÕßµÄ2.5±¶£¬£¬µ«²¢²»±Èͳһ»¼Õß¾²ÂöÓ¦ÓÃ5mgµÄŨ¶È¸ß¡£¡£¡£¡£¡£¡£»£»£»£»£»£»¼Õß¶ÔÕâÒ»¼ÁÁ¿Ë®Æ½Ò©ÎïµÄÄÍÊÜÐÔÓÅÒì¡£¡£¡£¡£¡£¡£

ÂþÑÜ

ÍÐÍé˾ÇíÓëѪ½¬ÂѰ׵ÄÁ¬ÏµÂÊΪ71%(Ö÷ÒªÊÇal-ÌÇÂѰ×)£¬£¬ÕâÖÖÁ¬ÏµÊÇ·ÇÌØÒìÐԵġ£¡£¡£¡£¡£¡£³ÉÈ˵ÄÂþÑÜÈÝ»ýԼΪ400-600Éý£¬£¬3-6Ëê¶ùͯԼΪ145Éý£¬£¬7-15ËêԼΪ265Éý¡£¡£¡£¡£¡£¡£

´úл

ÍÐÍé˾ÇíµÄ´úлÓë˾°Í¶¡/¶à¾ÛÒìà­ëÒÏà¹Ø(ϸ°ûÉ«ËØP450IID6)£¬£¬¸ß¼ÓË÷ÈËÖÖÖÐÔ¼ÓÐ8%ȱ·¦ÕâÖÖø¡£¡£¡£¡£¡£¡£

ÍÐÍé˾ÇíÔÚÆäßÅßá»·µÄ5£¬£¬6»ò7λ±»ôÇ»ù»¯¶ø´úл£¬£¬Ëæºó±»ÆÏÌÑÌÇÈ©Ëữ»òÓëÁòËá¸ùÁ¬ÏµÍ¨¹ýÄòÒº»òµ¨Ö­ÇãÔþÌåÍâ(ÄòÒº£º·à±ã=5£º1)¡£¡£¡£¡£¡£¡£

´úлÎïÓë5-HT3ÊÜÌåµÄÇ׺ÍÁ¦ºÜµÍ£¬£¬ÓëÒ©ÎïµÄÒ©Àí×÷Óûù±¾Î޹ء£¡£¡£¡£¡£¡£

ÖØ¸´Ó¦ÓÃÍÐÍé˾Çí10mgÒÔÉÏ¡¢ÖðÈÕÁ½´Î»áµ¼Ö¸ÎÔàÖÐÓëÍÐÍé˾Çí´úлÏà¹ØµÄøϵ±¥ºÍ£¬£¬Ö»¹Ü²»»áÁè¼ÝÂý´úлÕß×î¼ÑÄÍÊÜˮƽµÄÉÏÏÞ£¬£¬µ«ÕâÈԻᵼÖ¼ÁÁ¿Ïà¹ØµÄѪ½¬Å¨¶ÈµÄÉÏÉý¡£¡£¡£¡£¡£¡£ÖðÈÕÓ¦ÓÃÒ»´Î5mgÍÐÍé˾ÇíÓÃÓÚÔ¤·Àϸ°û¶¾ÐÔÒ©ÎïËùÒýÆðµÄ¶ñÐÄ¡¢ÍÂÄæ£¬£¬²»»áÒýÆðÁÙ´²Ïà¹ØµÄÐî»ý×÷Óᣡ£¡£¡£¡£¡£

Ïû³ý

Õý³£´úлÕßÏû³ýÏà(¦ÂÏà)°ëË¥ÆÚԼΪ8Сʱ£¬£¬¶øÂý´úлÕßԼΪ45Сʱ¡£¡£¡£¡£¡£¡£

Õý³£´úлÕßÌåÄÚÔ¼ÓÐ8%ÒÔÕæÏàÒ©Îï¾­ÄòÒºÇãÔþ£¬£¬¶ø70%ÒÔ´úлÎïµÄÐÎʽÇãÔþ£»£»£»£»£»£»ÁíÍâ15%ÏÕЩÍêÈ«ÒÔ´úлÎïµÄÐÎʽ´Ó·à±ãÖÐÇãÔþ¡£¡£¡£¡£¡£¡£

Âý´úлÕßÄòÒºÖÐÇãÔþµÄÒ©ÎïÕæÏàÒª¸ßÓÚÕý³£´úлÕß¡£¡£¡£¡£¡£¡£

×Üɨ³ýÂÊΪ1L/min£¬£¬ÉöÔàɨ³ýÔ¼Õ¼10%£¬£¬Âý´úлÕßµÄ×Üɨ³ýÂʽöΪ0.1-0.2L/min£¬£¬µ«ÉöÔàɨ³ýÂÊÎȹÌ¡£¡£¡£¡£¡£¡£ÕâÖÖ·ÇÉöÔàɨ³ýÂʵÄϽµµ¼ÖÂÖÕÄ©°ëË¥ÆÚÑÓÉì4-5±¶¡£¡£¡£¡£¡£¡£AUCµÄÖµÉý¸ß5-7±¶¡£¡£¡£¡£¡£¡£

¡¾Öü²Ø¡¿Õڹ⣬£¬ÃܱÕ£¬£¬Á¹°µ´¦(±Ü¹â²¢²»Áè¼Ý20¡æ)ÉúÑÄ¡£¡£¡£¡£¡£¡£

¡¾°ü×°¡¿µÍÅð¹è²£Á§°²ê³£º5ml¡Á1Ö§/ºÐ£»£»£»£»£»£»5ml¡Á5Ö§/ºÐ¡£¡£¡£¡£¡£¡£

¡¾ÓÐÓÃÆÚ¡¿18¸öÔ¡£¡£¡£¡£¡£¡£

¡¾Ö´Ðбê×¼¡¿¡¶ÖйúÒ©µä¡·2020Äê°æ¶þ²¿

¡¾Åú×¼Îĺš¿¹úÒ©×¼×ÖH20052476

¡¾ÉÏÊÐÔÊÐí³ÖÓÐÈË¡¿Ãû³Æ£ºÉ½Î÷tyc41183Ì«Ñô³É¼¯ÍÅÖÆÒ©¹É·ÝÓÐÏÞ¹«Ë¾

            ×¢²áµØµã£ºÉ½Î÷Ê¡³¤ÖÎÊÐÉϵ³Çø×ÆË¸ÄÏ·tyc41183Ì«Ñô³É¼¯ÍſƼ¼Ô°

¡¾Éú²úÆóÒµ¡¿ÆóÒµÃû³Æ£ºÉ½Î÷tyc41183Ì«Ñô³É¼¯ÍÅÖÆÒ©¹É·ÝÓÐÏÞ¹«Ë¾

        Éú²úµØµã£ºÉ½Î÷Ê¡³¤ÖÎÊÐÉϵ³Çø×ÆË¸ÄÏ·tyc41183Ì«Ñô³É¼¯ÍſƼ¼Ô°

        ÓÊÕþ±àÂ룺047100

        µç»°ºÅÂ룺0355-8096088

        ´«ÕæºÅÂ룺0355-8096055

        ÍøÖ·£ºwww.zdjt.com