jk.zdjt.com.png?v=1
da63e5b76069354863d3d9d26f0229c5
¿¨ÍÐÆÕÀûƬ
¡¾³É¡¡¡¡·Ý¡¿±¾Æ·Ö÷Òª³É·ÝΪ¿¨ÍÐÆÕÀû¡£¡£¡£¡£¡£
¡¾¹¦Ð§Ö÷ÖΡ¿1.¸ßѪѹ£»£»£»2.ÐÄÁ¦±í½ß¡£¡£¡£¡£¡£
¡¾¹æ¡¡¡¡¸ñ¡¿25mg
¡¾Åú×¼Îĺš¿¹úÒ©×¼×ÖH14021648
²úƷ˵Ã÷

¡¾Ò©Æ·Ãû³Æ¡¿

ͨÓÃÃû³Æ£º¿¨ÍÐÆÕÀûƬ

Ó¢ÎÄÃû³Æ£ºCaptoprilTablets

ººÓïÆ´Òô£ºKatuopuliPian

¡¾³É·Ý¡¿±¾Æ·Ö÷Òª³É·ÝΪ¿¨ÍÐÆÕÀû¡£¡£¡£¡£¡£

»¯Ñ§Ãû³Æ£º1-[(2S)-2-¼×»ù-3-Êè»ù-1-±ûõ£»£»£»ù]-l-¸¬ÇâËá

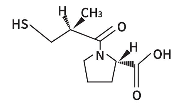
»¯Ñ§½á¹¹Ê½£º

¿¨ÍÐÆÕÀûƬ,¿¨ÍÐÆÕÀû

·Ö×Óʽ£ºC9H15NO3S

·Ö×ÓÁ¿£º217.29

¡¾ÐÔ×´¡¿±¾Æ·Îª°×É«»òÀà°×ɫƬ£¬£¬£¬Ò»Ãæ´øÓÐÊ®×ֿ̺ۡ£¡£¡£¡£¡£

¡¾Ë³Ó¦Ö¢¡¿1.¸ßѪѹ£»£»£»2.ÐÄÁ¦±í½ß¡£¡£¡£¡£¡£

¡¾¹æ¸ñ¡¿25mg

¡¾Ó÷¨ÓÃÁ¿¡¿ÊÓ²¡Çé»ò¸öÌå²î±ð¶ø¶¨¡£¡£¡£¡£¡£±¾Æ·ÒËÔÚҽʦָµ¼»ò¼à»¤Ï·þÓ㬣¬£¬¸øÒ©¼ÁÁ¿Ðë×ñÕÕ¸öÌ廯ԭÔò£¬£¬£¬°´ÁÆÐ§¶øÓèÒÔµ÷½â¡£¡£¡£¡£¡£

¸ßѪѹ

ÖÎÁÆ×îÏÈǰ£¬£¬£¬ÐèҪ˼Á¿½üÆÚ½µÑ¹Ò©ÎïÖÎÁÆÇéÐΡ¢ÑªÑ¹Éý¸ßµÄˮƽ¡¢ÏÞÑμ°ÆäËûÁÙ´²ÇéÐΡ£¡£¡£¡£¡£³õʼ¼ÁÁ¿¿Ú·þÒ»´Î12.5mg£¬£¬£¬ÖðÈÕ2-3´Î¡£¡£¡£¡£¡£ÈôÊÇÔÚ1ÖÜ»ò2ÖܺóÈÔδ»ñµÃÖª×ãµÄѪѹ½µµÍ£¬£¬£¬Ôò¿ÉÒÔ½«¼ÁÁ¿ÔöÌíΪһ´Î50mg£¬£¬£¬ÖðÈÕ2-3´Î¡£¡£¡£¡£¡£µ¥¶ÀʹÓñ¾Æ·Ê±£¬£¬£¬Í¬Ê±¸øÓèÏÞÄÆ²½·¥ÓÚ»¼ÕßÓÐÀû¡£¡£¡£¡£¡£ÓÃÓÚÖÎÁƸßѪѹµÄ¼ÁÁ¿Í¨³£²»Áè¼Ý50mg£¬£¬£¬ÖðÈÕ3´Î¡£¡£¡£¡£¡£ÈôÊÇÆ¾Ö¤´Ë¼ÁÁ¿ÖÎÁÆ1ÖÁ2Öܺ󣬣¬£¬ÑªÑ¹Ã»ÓлñµÃÖª×ãµÄ¿ØÖÆ£¨Î´ÊÊÓÃÀûÄò¼Á£©£¬£¬£¬ÔòÓ¦Ìí¼ÓÖеȼÁÁ¿µÄàçàºÀàÀûÄò¼Á£¨ÀýÈ磬£¬£¬ÇâÂÈàçຣ¬£¬£¬ÖðÈÕ25mg£©¡£¡£¡£¡£¡£ÀûÄò¼ÁµÄ¼ÁÁ¿¿ÉÒÔÆ¾Ö¤ÑªÑ¹¿ØÖÆÇéÐÎ˼Á¿Ã¿¸ô1ÖÜ»ò2ÖÜÔöÌí1´Î£¬£¬£¬Ö±ÖÁµÖ´ïÄ¿µÄѪѹ¡£¡£¡£¡£¡£ÈôÊÇÔÚÒѾ­½ÓÊÜÀûÄò¼ÁÖÎÁƵϼÕßÖÐ×îÏÈʹÓñ¾Æ·£¬£¬£¬Ó¦ÔÚÑÏÃܵÄҽѧ¼à²âÏÂ×îÏÈÖÎÁÆ¡£¡£¡£¡£¡£¹ØÓÚÖØ¶È¸ßѪѹ£¨ÀýÈç¼±½øÐ͸ßѪѹ»ò¶ñÐÔ¸ßѪѹ£©Õߣ¬£¬£¬ÔÝʱͣÓÃÏÖÔÚ½µÑ¹ÖÎÁƲ»ÏÖʵ£¬£¬£¬»òÐèÁ¬Ã¦½«ÑªÑ¹½µÖÁÕý³£Ë®Æ½Ê±£¬£¬£¬ÔòÓ¦¼ÌÐøÊ¹ÓÃÀûÄò¼Á£¬£¬£¬µ«ÐèÍ£¼ÓÆäËûÕýÔÚÖÎÁƵĽµÑ¹Ò©£¬£¬£¬ÔÚÑÏÃܵÄҽѧ¼à²âÏ£¬£¬£¬Á¬Ã¦×îÏȱ¾Æ·25mgÖðÈÕ2´Î»ò3´ÎÖÎÁÆ¡£¡£¡£¡£¡£ÈôÊÇ»¼ÕßÁÙ´²ÐèÒª£¬£¬£¬¿ÉÒÔÔÚ¶¯Ì¬Ò½Ñ§¼à²âµÄÌõ¼þÏ£¬£¬£¬Æ¾Ö¤Ã¿24Сʱ»ò¸ü¶ÌµÄʱ¼äÔöÌí±¾Æ·µÄÖðÈÕ¼ÁÁ¿£¬£¬£¬Ö±ÖÁ»ñµÃÖª×ãµÄѪѹ¿ØÖÆ»òÕßÖ±ÖÁ±¾Æ·µÄ×î¸ß¼ÁÁ¿¡£¡£¡£¡£¡£Æ¾Ö¤´ËÖÖ·½°¸¸øÒ©Ê±£¬£¬£¬¿ÉÄÜ»¹ÐèҪʹÓøüÇ¿µÄÀûÄò¼Á£¬£¬£¬Èçß»ÈûÃס£¡£¡£¡£¡£

ÐÄÁ¦Ë¥½ß

±¾Æ·±ØÐèÔÚÑÏÃܵÄҽѧ¼à²âÏÂ×îÏÈÖÎÁÆ¡£¡£¡£¡£¡£

ÖÎÁÆ×îÏÈǰ£¬£¬£¬Èô´ËÇ°Ôø³ä·Ö½ÓÊÜÀûÄò¼ÁÖÎÁÆ£¬£¬£¬¿ÉÄܱ£´æµÍÄÆºÍ/»òµÍѪÈÝÁ¿£¬£¬£¬¶øÑªÑ¹Õý³£»£»£»òÆ«µÍµÄ»¼Õߣ¬£¬£¬³õʼ¼ÁÁ¿ÒËÓÃ6.25mgÖðÈÕ3´Î£¬£¬£¬¿É×îºéÁ÷ƽµØ½µµÍµÍѪѹ·´Ó³µÄˮƽºÍ³ÖÐøÊ±¼ä£¬£¬£¬ÒÔºóÇ×½ü¼à²â£¬£¬£¬²¢Öð²½ÔöÌíÖÁ³£ÓÃÁ¿¡£¡£¡£¡£¡£

´ó´ó¶¼»¼Õߵijõʼ¼ÁÁ¿ÎªÒ»´Î12.5mgÖðÈÕ2-3´Î£¬£¬£¬Ó¦ÒÀ¾Ý»¼Õߵķ´Ó³¡¢ÁÙ´²×´Ì¬ºÍÄÍÊÜÐÔµ÷½âά³Ö¼ÁÁ¿£¬£¬£¬ÐëҪʱÖð½¥ÔöÖÁ50mg£¬£¬£¬ÖðÈÕ2-3´Î¡£¡£¡£¡£¡£¼ÁÁ¿ÔöÓ¦ÖÁÉÙÎʸô2ÖÜÀ´ÆÀ¹À»¼Õߵķ´Ó³¡£¡£¡£¡£¡£×î¸ß¿ÉÖÁ150mg/Ì죬£¬£¬·Ö2-3´Î·þÓᣡ£¡£¡£¡£

¡¾²»Á¼·´Ó³¡¿

1.ÁÙ´²ÊÔÑé

¿¨ÍÐÆÕÀûµÄÁÙ´²ÊÔÑéÖб¨¸æµÄ²»Á¼ÊÂÎñÈçÏ£¨»¼ÕßÈËÊýԼΪ7000Àý£©£º

£¨1£©Æ¤·ô£ºÆ¤Õ£¬£¬Í¨³£°éÓÐðþÑ÷£¬£¬£¬ÓÐʱ°é·¢ÈÈ¡¢ÊàŦʹºÍÊÈËáÐÔϸ°ûÔö¶à£¬£¬£¬±¬·¢ÂÊ4%-7%£¬£¬£¬È¡¾öÓÚ»¼ÕßÉöÔà״̬ºÍÒ©Îï¼ÁÁ¿£¬£¬£¬Í¨³£±¬·¢ÓÚÖÎÁÆ×îÏȺó4ÖÜÄÚ£¬£¬£¬³£Îª°ßÇðÕ£¬£¬ÉÙ¼ûÝ¡ÂéÕ£¬£¬Í¨³£Ö¢×´ÉÔ΢£¬£¬£¬¼õÁ¿¡¢Í£Ò©»ò¸ø¿¹×é°·Ò©ºóÏûÊÅ¡£¡£¡£¡£¡£Ô¼2%µÄ»¼Õ߻ᱬ·¢²»°éƤÕîµÄðþÑ÷¡£¡£¡£¡£¡£7%-10%µÄƤÕÕß°éÊÈËáÐÔϸ°ûÔö¶à»ò¿¹ºË¿¹Ì壨ANA£©ÑôÐÔ¡£¡£¡£¡£¡£Ò²Óб¨µÀ¹ý¿ÉÄæÐÔµÄÒ©ÎïÏà¹ØÐÔÀàÌìðå´¯Ñù²¡±äºÍ¹âÃô¸Ð¡£¡£¡£¡£¡£¡Ý0.5%µÄ»¼Õß±¬·¢Ã沿³±ºì»ò²Ò°×¡£¡£¡£¡£¡£

£¨2£©ÐÄѪ¹Ü£ºÔ¼1%µÄ»¼Õß±¬·¢µÍѪѹ£¬£¬£¬Ð͝¹ýËÙ£¬£¬£¬ÐØÍ´ºÍÐļ¡£¡£¡£¡£¡£ÐĽÊÍ´£¬£¬£¬Ð£ËÀ¡¢À×ŵ×ÛºÏÕ÷ºÍ³äѪÐÔÐÄÁ¦Ë¥½ß¸÷±¬·¢ÓÚ¡Ü0.3%µÄ»¼Õß¡£¡£¡£¡£¡£

£¨3£©Î¸³¦µÀ£ºÔ¼2%-4%µÄ»¼Õߣ¨Ïêϸȡ¾öÓÚÉöÔà״̬ºÍ¼ÁÁ¿£©±¬·¢Î¶¾õÕϰ­»òζ¾õ»ºÂý¡£¡£¡£¡£¡£

£¨4£©ÑªÒºÑ§£ºÑªÐ飬£¬£¬ÑªÐ¡°åïÔÌ­£¬£¬£¬È«ÑªÏ¸°ûïÔÌ­£¬£¬£¬ÖÐÐÔÁ£Ï¸°ûïÔÌ­/Á£Ï¸°ûȱ·¦Ö¢¡£¡£¡£¡£¡£

£¨5£©ÃâÒßѧ£ºÔ¼0.1%»¼Õß±¬·¢Ñª¹ÜÐÔË®Ö×£º°üÀ¨Ã沿¡¢ËÄÖ«¡¢¿Ú´½¡¢ð¤Ä¤¡¢Éà¡¢ÉùÃÅ»òÑʺíµÄѪ¹ÜÐÔË®Ö×£¬£¬£¬½¨Ò黼ÕßÁ¬Ã¦±¨¸æÒ½Éú¡£¡£¡£¡£¡£ÀÛ¼°ÉϺôÎüµÀµÄѪ¹ÜÐÔË®Ö׿ÉÒýÆðÖÂÃüÐÔµÄÆøµÀÛÕ±Õ¡£¡£¡£¡£¡£

£¨6£©ºôÎüµÀ£º0.5%-2%µÄ»¼Õß±¬·¢ÁË¿ÈËÔ¡£¡£¡£¡£¡£

£¨7£©ÉöÔࣺÉö¹¦Ð§Ë𺦡¢Éö¹¦Ð§Ë¥½ß¡¢Éö²¡×ÛºÏÕ÷¡¢¶àÄò¡¢ÉÙÄòºÍÄòƵºÜÉÙ¼û£¨¡Ü0.2%£©£¬£¬£¬ÓëÓÃÒ©µÄ¹ØÏµ²»Ã÷È·¡£¡£¡£¡£¡£ÂѰ×Äò¡£¡£¡£¡£¡£

£¨8£©Ô¼0.5%-2%µÄ»¼Õß±¬·¢ÁËÒÔÏÂÊÂÎñ£¬£¬£¬µ«Óë±ÈÕÕÊÔÑéÖÐʹÓõÄο½å¼Á»òÆäËûÖÎÁÆÏà±È£¬£¬£¬±¬·¢ÂÊδ¼ûÉý¸ß£ºÎ¸²¿´Ì¼¤·´Ó³£»£»£»¸¹Í´£»£»£»¶ñÐÄ£»£»£»ÍÂÄæ£»£»£»¸¹Ðº£»£»£»Ê³Óû²»Õñ£»£»£»±ãÃØ£»£»£»¿ÚÇ»À£Ññ£»£»£»Í·ÔΣ¬£¬£¬Í·Í´£¬£¬£¬Î®ÃÒ²»Õñ£»£»£»Æ£¾ë£»£»£»Ê§Ãߣ»£»£»¿Ú¸É£»£»£»ºôÎüÄÑÌ⣬£¬£¬ÍÑ·¢£»£»£»¸ÐÊÜÒì³£¡£¡£¡£¡£¡£

2.ÉÏÊкóÂÄÀú

ÏÂÃæÆ¾Ö¤ÉíÌåϽµµÍгöÁË¿¨ÍÐÆÕÀûƬÉÏÊк󱨸æµÄÁÙ´²²»Á¼ÊÂÎñ¡£¡£¡£¡£¡£ÔÚÕâÖÖÇéÐÎÏ£¬£¬£¬²»¿É׼ȷÅжϱ¬·¢ÂÊ»òÒò¹û¹ØÏµ£º

£¨1£©Ò»°ãÇéÐΣº·¦Á¦£»£»£»ÄÐÐÔÈé·¿·¢Óý¡£¡£¡£¡£¡£

£¨2£©ÐÄѪ¹Ü£ºÐÄÌøÖèÍ££»£»£»ÄÔѪ¹ÜÒâÍâÀÖ³ÉÄܲ»È«£»£»£»ÐÄÂÊ¿ì¶ø²»Æë£»£»£»ÌåλÐÔµÍѪѹ£»£»£»ÔÎØÊ£¬£¬£¬ÓɵÍѪѹÒýÆð£¬£¬£¬ÓÈÆäÔÚÈ±ÄÆ»òѪÈÝÁ¿È±·¦Ê±¡£¡£¡£¡£¡£

£¨3£©Æ¤·ô£º´óðåÐÔÌìðå´¯£¬£¬£¬¶àÐÎÐÔºì°ß£¨°üÀ¨Stevens-Johnson×ÛºÏÕ÷£©°þÍÑÐÔÆ¤Ñס£¡£¡£¡£¡£

£¨4£©Î¸³¦µÀ£ºÒÈÏÙÑ×£¬£¬£¬ÉàÑ×£¬£¬£¬Ïû»¯²»Á¼¡£¡£¡£¡£¡£

£¨5£©ÑªÒºÑ§£ºÑªÐ飬£¬£¬°üÀ¨ÔÙÉúÕϰ­ÐÔѪÐéºÍÈÜѪÐÔѪÐ飻£»£»°×ϸ°ûÓëÁ£Ï¸°ûïÔÌ­£¬£¬£¬Óз¢ÈÈ¡¢º®Õ½¡£¡£¡£¡£¡£

£¨6£©¸Îµ¨£º»Æð㣬£¬£¬¸ÎÑ×£¬£¬£¬°üÀ¨¸ÎÔà»·ËÀµÄÓÐÊý²¡Àý£¬£¬£¬µ¨Ö­ÓÙ»ý¡£¡£¡£¡£¡£

£¨7´úл£ºÖ¢×´ÐÔµÍÄÆÑªÖ¢¡£¡£¡£¡£¡£

£¨8£©¼¡Èâ¹Ç·£º¼¡Í´£¬£¬£¬¼¡ÎÞÁ¦¡£¡£¡£¡£¡£

£¨9£©Éñ¾­/¾«Éñ£º¹²¼Ãʧµ÷£¬£¬£¬Òâʶģºý£¬£¬£¬ÒÖÓô£¬£¬£¬Ö÷Òª£¬£¬£¬ÊÈ˯¡£¡£¡£¡£¡£

£¨10£©ºôÎüµÀ£ºÖ§Æø¹Ü¾·ÂΣ¬£¬£¬ÊÈËáÐÔÁ£Ï¸°ûÔö¶àÐÔ·ÎÑ×£¬£¬£¬±ÇÑס£¡£¡£¡£¡£

£¨11£©ÌØÊâ¸Ðµ³£ºÊÓÁ¦Ä£ºý¡£¡£¡£¡£¡£

£¨12£©ÃÚÄòÉúֳϵ£ºÑôðô¡£¡£¡£¡£¡£

£¨13£©ÓëʹÓÃÆäËûѪ¹ÜÖ÷ÒªËØ×ª»»Ã¸£¨ACE£©ÒÖÖÆ¼ÁʱһÑù£¬£¬£¬Ôø±¨¸æ±¬·¢Ò»ÖÖ¾ßÓÐÏÂÁÐÌåÏÖµÄ×ÛºÏÕ÷£º·¢ÈÈ¡¢¼¡Í´¡¢ÊàŦʹ¡¢¼äÖÊÐÔÉöÑס¢Ñª¹ÜÑס¢Æ¤Õî»òÆäËûƤ·ô²¡ÌåÏÖ¡¢ÊÈËáÐÔÁ£Ï¸°ûÔö¶àºÍѪ³Á£¨ESR£©¿ªÉý¸ß¡£¡£¡£¡£¡£

£¨14£©Ì¥¶ù/ÐÂÉú¶ù·¢²¡ÂʺÍéæÃüÂÊ£ºÈÑÉïÆÚÎÊʹÓÃACEÒÖÖÆ¼ÁÔøÒýÆðÌ¥¶ùºÍÐÂÉú¶ùË𺦣¬£¬£¬°üÀ¨µÍѪѹ¡¢ÐÂÉú¶ù­¹Ç·¢Óý²»È«¡¢ÎÞÄò¡¢¿ÉÄæÐÔ»ò²»¿ÉÄæÐÔÉö¹¦Ð§Ë¥½ßºÍéæÃü¡£¡£¡£¡£¡£Ò²Ôø±¨¸æ¹ýÑòË®¹ýÉÙ£¬£¬£¬¾ÝÍÆ²â£¬£¬£¬ÊÇÌ¥¶ùÉö¹¦Ð§Ï½µËùÖ£»£»£»ÕâÖÖÇéÐÎϵÄÑòË®¹ýÉÙÓëÌ¥¶ùÖ«ÌåÂÎËõ¡¢Â­Ã沿»ûÐμ°·Î·¢Óý²»È«Ïà¹Ø¡£¡£¡£¡£¡£Ò²Ôø±¨¸æ¹ýÔç²ú¡¢¹¬ÄÚÉú³¤»ºÂýºÍ¶¯Âöµ¼¹Üδ±Õ¡£¡£¡£¡£¡£×î½üµÄÎÄÏ×±¨¸æ£¬£¬£¬µ±Ò©Îï̻¶½öÏÞÓÚÔçÔÐʱ´ú£¬£¬£¬Ôø±¬·¢¹ýÔç²ú¶¯¡¢Âöµ¼¹ÜÖì±Õ¼°ÆäËûÐÄÔà½á¹¹»ûÐΣ¬£¬£¬ÒÔ¼°Éñ¾­ÏµÍ³»ûÐΡ£¡£¡£¡£¡£

3.ʵÑéÊÒ¼ì²é

£¨1£©ÑªÇåµç½âÖÊ£º¸ß¼ØÑªÖ¢£¬£¬£¬¿ÉÄܻᱬ·¢Ñª¼ØÇá¶ÈÉý¸ß£¬£¬£¬ÓÈÆäÊǰéÉö¹¦Ð§Ë𺦵ϼÕß¡£¡£¡£¡£¡£

£¨2£©µÍÄÆÑªÖ¢£ºÌØÊâÊǽÓÊܵÍÄÆÉÅʳ»òÕߺϲ¢Ê¹ÓÃÀûÄò¼ÁµÄ»¼Õß¡£¡£¡£¡£¡£

£¨3£©ÄòËØµª£¨BUN£©/ѪÇ弡ôû£ºBUN»òѪÇ弡ôûŨ¶ÈÒ»¹ýÐÔÉý¸ß£¬£¬£¬ÌØÊâÊÇÈÝÁ¿»òÑκĽߵϼÕߣ¬£¬£¬»ò°éÉöѪ¹ÜÐÔ¸ßѪѹµÄ»¼Õß¡£¡£¡£¡£¡£³£ÎªÔÝʱÐÔ£¬£¬£¬ÔÚÓÐÉö²¡»òºã¾ÃÑÏÖØ¸ßѪѹµÄ»¼ÕßÔÚѪѹѸËÙÏÂÕóºóÒ×·ºÆð¡£¡£¡£¡£¡£ºã¾Ã»òÏÔÖøÉý¸ßµÄѪѹѸËÙϽµ»áµ¼ÖÂÉöСÇòÂ˹ýÂʽµµÍ£¬£¬£¬¼Ì¶øµ¼°ÜBUN»òѪÇ弡ôûˮƽÉý¸ß¡£¡£¡£¡£¡£

£¨4£©ÑªÒºÑ§£ºÓÐANAÑôÐÔ±¨µÀ¡£¡£¡£¡£¡£

£¨5£©¸Î¹¦Ð§¼ì²é£ºÑªÇå¸ÎÔàת°±Ã¸¡¢¼îÐÔÁ×ËáøºÍѪÇ嵨ºìËØÉý¸ß¡£¡£¡£¡£¡£

¡¾½û¼É¡¿

1.¶Ô¿¨ÍÐÌæÀû»òÈκÎÒ»ÖÖ¸¨ÁÏ£¬£¬£¬»òÆäËûACEÒÖÖÆ¼Á¹ýÃôÕß½ûÓñ¾Æ·£¨Àý£ºÔÚÆäËûÈκÎÒ»ÖÖACEÒÖÖÆ¼ÁÖÎÁÆÆÚÎÊÔø±¬·¢Ñª¹ÜÐÔË®Ö׵ϼÕߣ©¡£¡£¡£¡£¡£

2.ÈÑÉïÖÐÍíÆÚ½ûÓñ¾Æ·¡£¡£¡£¡£¡£Ò»µ©·¢Ã÷ÓÐÉí£¬£¬£¬Ó¦Á¬Ã¦Í£Óñ¾Æ·¡£¡£¡£¡£¡£

3.ÔÚÌÇÄò²¡»òÉö¹¦Ð§Ë𺦣¨GFR<60mL/min/1.73©O£©µÄ»¼ÕßÖУ¬£¬£¬Õ¥È¡ACEÒÖÖÆ¼ÁÓ뺬Óа¢Àû¼ªÂصÄÒ©ÎïÊÊÓᣡ£¡£¡£¡£

¡¾×¢ÖØÊÂÏî¡¿

θÖÐʳÎï¿Éʹ±¾Æ·ÎüÊÕïÔÌ­30-40%£¬£¬£¬¹ÊÒËÔÚ²Íǰ1Сʱ·þÒ©¡£¡£¡£¡£¡£

1.Àà¹ýÃô·´Ó³ºÍ¿ÉÄÜÏà¹Ø·´Ó³

¿ÉÄÜÓÉÓÚACEÒÖÖÆ¼ÁÓ°ÏìÀ໨ÉúËá¼°¶àëÄ£¨°üÀ¨ÄÚÔ´ÐԵĻº¼¤ëÄ£©µÄ´úл£¬£¬£¬ÒÔÊǽÓÊÜACEÒÖÖÆ¼Ã£¨°üÀ¨¿¨ÍÐÆÕÀû£©µÄÓÞÕß¿ÉÄܻᱬ·¢Öݪֲ»Á¼·´Ó³£¬£¬£¬ÆäÖаüÀ¨Ò»Ð©ÑÏÖØ²»Á¼·´Ó³¡£¡£¡£¡£¡£

£¨1£©Í·Ã沿Ѫ¹ÜÐÔË®Ö×£ºÔøÓнÓÊÜACEÒÖÖÆ¼Á£¨°üÀ¨¿¨ÍÐÆÕÀû£©ÖÎÁƵϼÕß±¬·¢Ñª¹ÜÐÔË®Ö׵ġ£¡£¡£¡£¡£±¬·¢Ë®Ö׵IJ¿Î»°üÀ¨ËÄÖ«¡¢Ã沿£¬£¬£¬¿Ú´½¡¢Õ³Ä¤¡¢Éà¡¢ÉùÃźÍÑÊºí¡£¡£¡£¡£¡£ÈôÊÇѪ¹ÜÐÔË®Ö×ÀÛ¼°Éà¡¢ÉùÃźÍÑʺí£¬£¬£¬Ôò¿ÉÄܻᱬ·¢ÖÂÃüµÄÆøµÀÛÕ±Õ¡£¡£¡£¡£¡£Òò´ËÓ¦¸ÃÁ¬Ã¦¸øÓè½ôÆÈÖÎÁÆ£¬£¬£¬ÖÎÁÆÒªÁì°üÀ¨µ«²»¾ÖÏÞÓÚÍ£Óñ¾Æ·£¬£¬£¬Ñ¸ËÙÆ¤ÏÂ×¢Éä1£º1000ÉöÉÏÏÙËØ0.3-05ml¡£¡£¡£¡£¡£ÀÛ¼°Ã沿¡¢¿ÚǻճĤ¡¢¿Ú´½ºÍËÄÖ«µÄË®Ö×ͨ³£ÔÚÍ£Óÿ¨ÍÐÆÕÀûºó¼´¿ÉÏûÊÅ£»£»£»½öÉÙÊý²¡ÀýÐèÒª½ÓÊÜҽѧÖÎÁÆ¡£¡£¡£¡£¡£

£¨2£©³¦ÄÚѪ¹ÜÐÔË®Ö×£ºÓÐÊýÇéÐÎÏ£¬£¬£¬½ÓÊÜACEÒÖÖÆ¼ÁÖÎÁƵϼÕ߻ᱬ·¢³¦ÄÚѪ¹ÜÐÔË®Ö×£¬£¬£¬ÕâЩ»¼ÕßµÄÌåÏÖΪ¸¹Í´£¨ÓлòÎÞ¶ñÐÄ»òÍÂÄæ£©£»£»£»ÔÚijЩÇéÐÎÏ£¬£¬£¬¼ÈÍùÎÞÃæ²¿Ñª¹ÜÐÔË®Ö׵IJ¡Ê·£¬£¬£¬C-1õ¥Ã¸Ë®Æ½Õý³££¬£¬£¬Æ¾Ö¤¸¹²¿CTɨÃè»òB³¬Õï¶Ï£¬£¬£¬»òÊÖÊõÕï¶Ï£¬£¬£¬Í£ÓÃACEÒÖÖÆ¼ÁºóÖ¢×´ÏûÊÅ¡£¡£¡£¡£¡£½ÓÊÜACEÒÖÖÆ¼ÁÖÎÁƵϼÕß·ºÆð¸¹²¿ÌÛÍ´£¬£¬£¬ÅбðÕï¶ÏÖÐÓ¦°üÀ¨³¦ÄÚѪ¹ÜÐÔË®Öס£¡£¡£¡£¡£

£¨3£©ÍÑÃôÆÚͬµÄÀà¹ýÃô·´Ó³£º2Àýͬʱ½ÓÊÜÁíÒ»ÖÖACEÒÖÖÆ¼Á£¨ÒÀÄÇÆÕÀû£©µÄ»¼ÕßÔÚ¸øÓèĤ³áÄ¿¶¾ÒºÍÑÃôÖÎÁÆÊ±£¬£¬£¬±¬·¢ÁËÀÛ¼°ÉúÃüµÄÀà¹ýÃô·´Ó³¡£¡£¡£¡£¡£ÕâЩ·´Ó³ÔÚÔÝÍ£¸øÓèACEÒÖÖÆ¼ÁºóÏûÊÅ£¬£¬£¬µ«ÔÚÎÞÒâÖ®ÖÐÔÙÒý·¢Ê±ÔٴηºÆð¡£¡£¡£¡£¡£Òò´Ë£¬£¬£¬ÔÚ½ÓÊÜACEÒÖÖÆ¼ÁÖÎÁƵϼÕßÖУ¬£¬£¬¾ÙÐÐÕâЩÍÑÃô²Ù×÷Ó¦¼á³ÖÉóÉ÷¡£¡£¡£¡£¡£

£¨4£©¸ßͨÁ¿Í¸Îö/Ö¬ÂѰ×Îü¸½Í¸ÎöĤ̻¶ʱ´úµÄÀà¹ýÃô·´Ó³£ºÔÚ½ÓÊܸßͨÁ¿Í¸ÎöĤ¾ÙÐÐѪҺ͸ÎöÇҺϲ¢Ê¹ÓÃACEÒÖÖÆµÄ»¼ÕßÖУ¬£¬£¬Ôø±¬·¢Àà¹ýÃô·´Ó³¡£¡£¡£¡£¡£ÔÚ½ÓÄÉÁòËáÆÏ¾ÛÌÇÎü¸½µÍÃܶÈÖ¬ÂѰ׵Ä͸Îö»¼ÕßÖУ¬£¬£¬Ò²Ôø±¨¸æ¹ýÀà¹ýÃô·´Ó³¡£¡£¡£¡£¡£¹ØÓÚÕâЩ»¼Õߣ¬£¬£¬Ó¦Ë¼Á¿Ê¹ÓÃÆäËûÀàÐ͵Ä͸ÎöĤ£¬£¬£¬»òʹÓÃÆäËûÖÖÀàµÄÒ©Îï¡£¡£¡£¡£¡£

2.ÖÐÐÔÁ£Ï¸°ûïÔÌ­/Á£Ï¸°ûȱ·¦

ʹÓÿ¨ÍÐÆÕÀûÔøÒýÆð¹ÇËæÔöÉú²»Á¼£¬£¬£¬´Ó¶øµ¼ÖÂÖÐÐÔÁ£Ï¸°ûȱ·¦£¨<1000/mm?£©£¬£¬£¬ÆäÖÐÔ¼Ò»°ë»¼Õß±¬·¢ÁËÈ«Éí»ò¿ÚǻѬȾ£¬£¬£¬»òÕßÁ£Ï¸°ûȱ·¦Ö¢µÄÆäËüÖ¢×´ÌØÕ÷¡£¡£¡£¡£¡£

ÖÐÐÔÁ£Ï¸°ûïÔÌ­µÄ±¬·¢·çÏÕÈ¡¾öÓÚ»¼ÕßµÄÁÙ´²×´Ì¬£º

Éö¹¦Ð§Õý³££¨Crs£¼1.6mg/dLÇÒ²»°éÓнºÔ­Ñª¹Ü²¡£¡£¡£¡£¡£©µÄ¸ßѪѹ»¼ÕßÖУ¬£¬£¬ÖÐÐÔÁ£Ï¸°ûïÔÌ­ºÜÓÐÊý£¨£¼0.02%£©¡£¡£¡£¡£¡£

ÔÚÓÐÒ»¶¨Ë®Æ½µÄÉö¹¦Ð§Ë𺦣¨ÑªÇ弡ôûÖÁÉÙ1.6mg/dl£©ÇÒ²»°éÓнºÔ­Ñª¹Ü²¡µÄ»¼ÕßÖУ¬£¬£¬ÁÙ´²ÊµÑéÏÔʾ£¬£¬£¬ÖÐÐÔÁ£Ï¸°ûïÔÌ­µÄ·çÏÕԼΪ0.2%¡£¡£¡£¡£¡£±È´¿´âÐÔ¸ßѪѹ»¼ÕßµÄÏìÓ¦±¬·¢Âʸß15±¶¡£¡£¡£¡£¡£ÕâЩ»¼ÕßÖðÈÕ·þÓõĿ¨ÍÐÆÕÀû¼ÁÁ¿Ïà¶Ô½Ï¸ß£¬£¬£¬ÓÈÆäӦ˼Á¿µ½ÆäÉö¹¦Ð§µÄ¼õÍË¡£¡£¡£¡£¡£¶ÔÉö¹¦Ð§Ë¥½ßµÄ»¼Õߣ¬£¬£¬±ðàÑßÊ´¼Ó뿨ÍÐÆÕÀûÊÊÓÃÔø±¬·¢ÖÐÐÔÁ£Ï¸°ûïÔÌ­£¬£¬£¬¹ÊÓ¦ÔöǿСÐÄ¡£¡£¡£¡£¡£

ÔÚÉö¹¦Ð§Ë𺦰éÓйɽºÔ­Ñª¹Ü²¡£¡£¡£¡£¡£¨ÀýÈ磬£¬£¬ÏµÍ³ÐÔºì°ßÀÇ´¯£¬£¬£¬Ó²Æ¤²¡£¡£¡£¡£¡£©µÄ»¼ÕßÖУ¬£¬£¬ÁÙ´²ÊÔÑéÏÔʾ£¬£¬£¬ÖÐÐÔÁ£Ï¸°ûïÔÌ­µÄ±¬·¢ÂÊΪ3.7%¡£¡£¡£¡£¡£ÖÐÐÔÁ£Ï¸°ûïÔÌ­Óë¼ÁÁ¿Ïà¹Ø£¬£¬£¬Í¨³£ÔÚ¿¨ÍÐÆÕÀûÖÎÁÆ×îÏȺó3-12ÖܳöÀí£¬£¬£¬ÒÔ10-30Ìì×îÏÔÖø£¬£¬£¬Ò»°ãÀ´Ëµ£¬£¬£¬ÖÐÐÔÁ£Ï¸°ûÔÚ¿¨ÍÐÆÕÀûÍ£ÓÃÔ¼2Öܺó»Ö¸´Õý³£¡£¡£¡£¡£¡£Ö»ÓÐÁÙ´²²¡ÇéÖØ´óµÄ»¼Õ߲Ż᷺ÆðÑÏÖØÑ¬È¾¡£¡£¡£¡£¡£Ô¼13%µÄÖÐÐÔÁ£Ï¸°ûïÔÌ­²¡Àý±¬·¢éæÃü£¬£¬£¬µ«ÏÕЩËùÓÐéæÃü²¡Àý¶¼±¬·¢ÔÚÓÐÑÏÖØ¼²²¡µÄ»¼ÕßÖУ¬£¬£¬ÓнºÔ­Ñª¹Ü²¡¡¢Éö¹¦Ð§Ë¥½ß¡¢ÐÄÁ¦Ë¥½ß»ò½ÓÊÜÃâÒßÒÖÖÆ¼ÁÖÎÁÆ£¬£¬£¬»òÒÔÉÏÖØ´óÒòËØ²¢´æµÄ»¼Õß¡£¡£¡£¡£¡£

ÔÚ¶Ô¸ßѪѹ»òÐÄÁ¦Ë¥½ß»¼Õß¾ÙÐÐÆÀ¼Ûʱ£¬£¬£¬¶¼Ó¦¸Ãͬʱ¾ÙÐÐÉö¹¦Ð§ÆÀ¼Û¡£¡£¡£¡£¡£

ÈôÊÇÉö¹¦Ð§Ë𺦵ϼÕß·þÓÿ¨ÍÐÆÕÀû£¬£¬£¬Ó¦¸ÃÔÚÖÎÁÆ×îÏÈǰ¾ÙÐа×ϸ°û¼ÆÊý¼°·ÖÀà¼ÆÊý¼ì²é£¬£¬£¬×î³õ3¸öÔÂÿ2ÖÜÒ»´Î£¬£¬£¬ÒÔºó°´ÆÚ¼ì²é£¬£¬£¬ÓÐѬȾ¼£ÏóÊ±Ëæ¼´¼ì²é¡£¡£¡£¡£¡£

ÈôÊÇ»¼ÕßÓнºÔ­ÂѰײ¡£¡£¡£¡£¡£¨ÈçÑÏÖØÏµÍ³ÐÔºì°ßÀÇ´¯£©£¬£¬£¬»òÕýÔÚ·þÓÃÆäËûÒÑÖª¶Ô°×ϸ°û»òÃâÒßÓ¦´ðÓÐÓ°ÏìµÄµÄÎ£¬£¬ÌØÊâÊǵ±Éö¹¦Ð§ÊÜËðʱ£¬£¬£¬´Ëʱ°×ϸ°û»òÁ£Ï¸°ûïÔÌ­µÄʱ»úÔö¶à£¬£¬£¬±ØÐèÔÚÆÀ¹À»ñÒæºÍ·çÏÕºó²Å»ªÊ¹Óÿ¨ÍÐÆÕÀû£¬£¬£¬×îÏÈÓÃÒ©ºóÓ¦ÉóÉ÷¡£¡£¡£¡£¡£

Ò»°ãÇéÐÎÏ£¬£¬£¬ÔÚÍ£Óñ¾Æ·¼°ÆäËûÒ©Îïͨ³£¶¼»áʹ°×ϸ°û¼ÆÊýѸËÙ»Ö¸´Õý³££¬£¬£¬Òò´Ë£¬£¬£¬ÔÚÈ·ÈÏ»¼ÕßÖÐÐÔÁ£Ï¸°ûïÔÌ­£¨ÖÐÐÔÁ£Ï¸°û¼ÆÊý<1000/mm?ºó£¬£¬£¬Ò½ÉúӦͣÓÿ¨ÍÐÌæÀû£¬£¬£¬²¢¶Ô»¼ÕߵIJ¡³ÌÇ×½üËæ·Ã¡£¡£¡£¡£¡£

3.ÂѰ×Äò

³£±¬·¢ÓÚÖÎÁÆ×îÏÈ8¸öÔÂÄÚ¡£¡£¡£¡£¡£

½ÓÊÜ¿¨ÍÐÆÕÀûƬÖÎÁƵϼÕßÖУ¬£¬£¬Ô¼0.7%¿É¼ûÄòÂѰ××ÜÁ¿Áè¼Ý1g/Ìì¡£¡£¡£¡£¡£ÆäÖУ¬£¬£¬Ô¼90%¼ÈÍùÓÐÉöÔಡµÄÖ¤¾Ý£¬£¬£¬»ò¿¨ÍÐÆÕÀûÖÎÁƼÁÁ¿Ïà¶Ô½Ï¸ß£¨Áè¼Ý150mg/Ì죩£¬£¬£¬»òÕâÁ½¸öÒòËØ²¢´æ¡£¡£¡£¡£¡£ÓÐÂѰ×ÄòµÄ»¼ÕßÖУ¬£¬£¬Ô¼Äª1/5·ºÆðÉö²¡×ÛºÏÖ¢£¬£¬£¬´ó¶¼ÇéÐÎÏ£¬£¬£¬ÎÞÂÛÊÇ·ñ¼ÌÐø·þÓÿ¨ÍÐÆÕÀûƬ£¬£¬£¬´ó´ó¶¼²¡ÀýÂѰ×ÄòÔÚ6¸öÔÂÄÚ»áïÔÌ­¡£¡£¡£¡£¡£Éö¹¦Ð§Ö¸±ê£¨ÈçÄòËØµªºÍѪÇ弡ôû£©ºÜÉÙÊÜÓ°Ï죬£¬£¬ÁƳ̲»ÊÜÓ°Ïì¡£¡£¡£¡£¡£

ÈôÊÇ»¼Õß¼ÈÍùÓÐÉöÔಡ£¬£¬£¬»ò¿¨ÍÐÆÕÀûÒ©µÄ¼ÁÁ¿Áè¼Ý150mg/Ì죬£¬£¬Ó¦ÔÚÖÎÁÆ×îÏÈǰ¹À²âÄòÂѰף¨Ê״γ¿ÄòÊÔÖ½·¨¼ì²â£©£¬£¬£¬²¢°´ÆÚ¼ì²âÄòÂѰ×£¬£¬£¬½¨ÒéÄòÂѰ׼ì²éÿÔÂÒ»´Î¡£¡£¡£¡£¡£ÈôÊÇʹÓñ¾Æ·Ê±ÂѰ×ÄòÖð½¥¼ÓÖØ£¬£¬£¬Ó¦ÔÝͣʹÓñ¾Æ·»òïÔÌ­ÓÃÁ¿¡£¡£¡£¡£¡£

4.µÍѪѹ

¸ßѪѹ»¼ÕßÓÐÊý±¬·¢Ì«¹ýµÍѪѹ£¬£¬£¬µ«ÑÎ/ÈÝÁ¿ºÄ½ß»¼Õߣ¨ÀýÈçÑÏ¿áÒûʳÏÞÖÆÄÆÑλò½ÓÊÜ´ó×ÚÀûÔ­¼ÁÖÎÁƵÄÓÞÕߣ©¡¢ÐÄÁ¦Ë¥½ß»¼Õß»ò¾ÙÐÐÉöÔà͸ÎöµÄÓÞÕß·þÓÿ¨ÍÐÆÕÀûºó¿ÉÄܻᱬ·¢µÍѪѹ¡£¡£¡£¡£¡£¶ÌÔÝÐÔµÍѪѹ·´Ó³²»ÊǽøÒ»²½ÓÃÒ©µÄ½û¼ÉÖ¢£¬£¬£¬Ò»µ©ÑªÑ¹Éý¸ßºó£¬£¬£¬¼´¿É¼ÌÐøÓÃÒ©¡£¡£¡£¡£¡£

ÐÄÁ¦Ë¥½ßµÄ»¼ÕßѪѹͨ³£Õý³£»£»£»òÆ«µÍ£¬£¬£¬´ËÀ໼Õß·þÓÿ¨ÍÐÆÕÀûºó¿É³ö¹ÛÒ»¹ýÐÔµÄѪѹ½µµÍ£¬£¬£¬ÆäÖÐÆ½¾ùѪѹµÄϽµË®Æ½Áè¼Ý20%µÄ»¼ÕßÔ¼Õ¼ÐÄÁ¦Ë¥½ß»¼Õß×ÜÊýµÄÒ»°ë¡£¡£¡£¡£¡£ÕâÖÖÒ»¹ýÐÔµÍѪѹ¶à¼ûÓÚÊ×¼ÁʹÓÿ¨ÍÐÆÕÀûºó£¬£¬£¬Í¨³£»£»£»¼Õß¿ÉÓÅÒìÄÍÊÜ£¬£¬£¬²»»áÒýÆðÖ¢×´£¬£¬£¬»ò½öÒýÆð¶ÌÔݵġ¢ÉÔ΢µÄÍ·ÔΣ¬£¬£¬µ«ÈÔÓÐÉÙÉÙÊýµÄ»¼Õß±¬·¢¹ýÐÄÂÊʧ³£»£»£»ò´«µ¼×èÖÍ¡£¡£¡£¡£¡£Ô¼ÓÐ3.6%µÄÐÄÁ¦Ë¥½ß»¼ÕßÓÉÓÚ±¬·¢µÍѪѹ¶øÍ£Óÿ¨ÍÐÆÕÀû¡£¡£¡£¡£¡£

ÓÉÓÚ´ËÀ໼Õß·þÓÿ¨ÍÐÆÕÀûºóÓпÉÄܻᵼÖÂѪѹ½µµÍ£¬£¬£¬Òò´ËÔÚÊ״νÓÊÜ¿¨ÍÐÆÕÀûÖÎÁÆÊ±£¬£¬£¬Ó¦¶ÔÆä¾ÙÐÐÇ×½üµÄҽѧ¼à²â¡£¡£¡£¡£¡£

ÒÔ6.25mg»ò12.5mg£¨ÖðÈÕ2´Î»ò3´Î£©µÄ³õʼ¼ÁÁ¿·þÓÿ¨ÍÐÆÕÀûƬʱ£¬£¬£¬¿ÉÒÔ½«µÍѪѹ·´Ó³½µÖÁ×îµÍ¡£¡£¡£¡£¡£ÔÚ³õʼ¼ÁÁ¿ºó£¬£¬£¬Ó¦ÖÁÉÙ¾ÙÐÐ1СʱµÄҽѧ¼à²â£¬£¬£¬ÖÎÁÆ×îÏȺóµÄ×î³õ2ÖÜÄÚ£¬£¬£¬ÒÔ¼°¿¨ÍÐÆÕÀûµ¥ÓûòÓëÀûÄò¼ÁÊÊÓõļÁÁ¿ÔöÌíʱ£¬£¬£¬Ó¦Ç×½üËæ·Ã»¼Õß¡£¡£¡£¡£¡£

±¬·¢µÍѪѹ×Ô¼º²¢²»ÊÇÍ£Óÿ¨ÍÐÆÕÀûµÄÔ­Òò¡£¡£¡£¡£¡£ÐÄÁ¦Ë¥½ß»¼ÕßÔÚÊ״νÓÊÜ¿¨ÍÐÆÕÀûÖÎÁÆÊ±£¬£¬£¬ÆäÊæÕÅѹͨ³£¶¼»á·ºÆðÒ»¶¨Ë®Æ½µÄ½µµÍ£¬£¬£¬²¢ÇÒÕâÖÖÊæÕÅѹµÄ½µµÍ¶Ô»¼ÕßÊÇÓÐÀûµÄ¡£¡£¡£¡£¡£ÖÎÁÆÔçÆÚµÄϽµ·ù¶È×î´ó£¬£¬£¬1-2ÖÜÄÚÎȹÌ£¬£¬£¬Í¨³£ÔÚ2¸öÔÂÄÚ»Ö¸´µ½ÖÎÁÆÇ°Ë®Æ½£¬£¬£¬²»°éÓÐÁÆÐ§µÄϽµ¡£¡£¡£¡£¡£

5.Ì¥¶ù/ÐÂÉú¶ù·¢²¡ÂʺÍéæÃüÂÊ

ÔÚÈÑÉïÆÚÓÃҩʱ£¬£¬£¬ACEÒÖÖÆ¼Á¿ÉΣº¦Ì¥¶ù·¢Óý£¬£¬£¬ÉõÖÁÒýÆðÌ¥¶ùéæÃü¡£¡£¡£¡£¡£ÈôÊÇ·¢Ã÷»¼ÕßÒÑÈÑÉ£¬£¬Ó¦¾¡¿ìÍ£Óñ¾Æ·¡£¡£¡£¡£¡£

6.¸Î¹¦Ð§Ë¥½ß

¹ØÓڸι¦Ð§Ë¥½ß£¬£¬£¬¾Ý±¨µÀÓÃACEÒÖÖÆ¼ÁÖÎÁÆÊ±£¬£¬£¬ÓÐÉÙÉÙÊýÌåÏÖΪµ¨Ö­ÐÔ»ÆðãºÍ¸Îϸ°ûËðº¦Õߺͣ¨ÓÐʱ£©ÖÂËÀ²¡Àý£¬£¬£¬¸ÃÖ¢×´µÄ»úÖÆÉв»ÇåÎú¡£¡£¡£¡£¡£·ºÆð»Æðã»ò¸ÎøÏÔ×ÅÉý¸ßµÄ»¼ÕßÓ¦¸Ã×èÖ¹ÓÃACEÒÖÖÆ¼ÁÖÎÁÆ£¬£¬£¬²¢½ÓÊÜÊʵ±µÄÒ½Ñ§Ëæ·Ã¡£¡£¡£¡£¡£

7.ÉöËØ-Ѫ¹ÜÖ÷ÒªËØ-È©¹Ìͪϵͳ£¨RAAS£©µÄË«ÖØ×è¶Ï

ACEÒÖÖÆ¼Á¡¢Ñª¹ÜÖ÷ÒªËØIIÊÜÐÝ×èÖͼÁ»ò°¢Àû¼ªÂصÄÊÊÓûáÔöÌíµÍѪѹ¡¢¸ß¼ØÑªÖ¢¼°Éö¹¦Ð§Ï½µ£¨°üÀ¨¼±ÐÔÉö¹¦Ð§Ë¥½ß£©µÄ·çÏÕ¡£¡£¡£¡£¡£Òò´Ë£¬£¬£¬²»½¨Òéͨ¹ýÊÊÓÃACEÒÖÖÆ¼Á¡¢Ñª¹ÜÖ÷ÒªËØIIÊÜÌå×èÖͼÁ»ò°¢Àû¼ª²Ö¶ÔRAAS¾ÙÐÐË«ÖØ×è¶Ï¡£¡£¡£¡£¡£

8.Éö¹¦Ð§Ëðº¦

¸ßѪѹ£ººÏ²¢ÉöÔ༲²¡£¬£¬£¬ÓÈÆäÊÇÓÐÖØ¶ÈÉö¶¯ÂöÏÁÕ­µÄ»¼Õߣ¬£¬£¬ÔÚʹÓÿ¨ÍÐÆÕÀû¾ÙÐнµÑ¹ÖÎÁƺ󣬣¬£¬»á·ºÆðÄòËØµªºÍѪÇ弡ôûµÄÉý¸ß£¬£¬£¬ÕâЩÉý¸ßÒ»°ãÔÚÍ£Ò©ºó¿ÉÒÔÄæ×ª¡£¡£¡£¡£¡£´Ëʱ¿ÉÄÜÐèÒª½µµÍ¿¨ÍÐÆÕÀûµÄ¼ÁÁ¿ºÍ/»òÍ£ÓÃÀûÄò¼Á£¬£¬£¬ÐëҪʱͣÓñ¾Æ·¡£¡£¡£¡£¡£µ«¶Ô²¿·Ö»¼Õß¶øÑÔ£¬£¬£¬¼á³Ö¸»×ãµÄÉöÔà¹àÁ÷ͬʱ½«ÑªÑ¹»Ö¸´µ½Õý³£Ë®Æ½ÏÕЩ²»¿ÉÄÜ¡£¡£¡£¡£¡£

ÐÄÁ¦Ë¥½ß£º½ÓÊÜ¿¨ÍÐÆÕÀûºã¾ÃÖÎÁƵϼÕߣ¬£¬£¬Ô¼20%µÄ»¼ÕßÄòËØµªºÍѪÇ弡ôûÎȹÌÉý¸ß£¬£¬£¬½ÏÕý³£Öµ»ò»ùÏßÖµ¸ß20%¡£¡£¡£¡£¡£Ö»ÓÐȱ·¦5%µÄ»¼Õߣ¨Í¨³£ÊǼÈÍù±£´æÖضÈÉöÔಡµÄ»¼Õߣ©ÓÉÓÚ¼¡ôû¾ÙÐÐÐÔÉý¸ß¶øÐèÒªÖÕÖ¹±¾Æ·ÖÎÁÆ¡£¡£¡£¡£¡£ËæºóµÄ¸ÄÉÆºÜ¿ÉÄÜÈ¡¾öÓÚ»¼ÕߵĻù´¡ÉöÔ༲²¡µÄÑÏÖØË®Æ½¡£¡£¡£¡£¡£

ÓÉÓÚ¿¨ÍÐÆÕÀûÖ÷Ҫͨ¹ýÉöÔàÉøÍ¸£¬£¬£¬Òò´ËÔÚÉö¹¦Ð§Ë𺦵ϼÕßÖУ¬£¬£¬¿¨ÍÐÆÕÀûÉøÍ¸ÂÊϽµ£¬£¬£¬Ó¦½ÓÄɽÏС¼ÁÁ¿³É½ÏµÍµÄ¸øÒ©ÆµÂÊ£¬£¬£¬Ã¿´Î½ÓÄɽÏСµÄÔö·ù£¬£¬£¬»ºÂýµÝÔö£¨1ÖÜ»ò2ÖÜÒ»´Î£©¡£¡£¡£¡£¡£

Éö¹¦Ð§Ë𺦻¼Õߣ¬£¬£¬ÈôÐëͬʱÓÃÀûÄòÒ©£¬£¬£¬½¨ËµÓÃß»ÈûÃ×¶ø²»±ØàçàºÀ࣬£¬£¬ÑªÄòËØµªºÍ¼¡ôûÔö¸ßʱ£¬£¬£¬½«±¾Æ·¼õÁ¿»òͬʱͣÓÃÀûÄò¼Á¡£¡£¡£¡£¡£

9.¸ß¼ØÑªÖ¢

½ÓÊÜACEÒÖÖÆ¼Á£¨°üÀ¨¿¨ÍÐÆÕÀû£©ÖÎÁƵÄһЩ»¼ÕßÖУ¬£¬£¬Ôø·¢Ã÷Ѫ¼ØÉý¸ß¡£¡£¡£¡£¡£½ÓÊÜACEÒÖÖÆ¼ÁÖÎÁÆÊ±£¬£¬£¬Óб¬·¢¸ß¼ØÑªÖ¢µÄ·çÏյϼÕß°üÀ¨Éö¹¦Ð§Ë𺦡¢ÌÇÄò²¡»¼Õß¡¢ºÏ²¢Ê¹Óñ£¼ØÀûÄò¼Á¡¢²¹¼Ø¼Á¡¢»òº¬¼ØµÄÑÎÌæ»»Îï»òÕý·þÓÃÆäËû»áÒýÆðѪ¼ØÉý¸ßÒ©ÎïµÄ»¼Õß¡£¡£¡£¡£¡£Óë±£¼ØÀûÄò¼ÁÊÊÓÃʱÓÈӦע֨¼ì²éѪ¼Ø¡£¡£¡£¡£¡£

10.¿ÈËÔ

ËùÓÐACEÒÖÖÆ¼ÁµÄʹÓÃÖУ¬£¬£¬¶¼Óл¼Õß±¬·¢¿Ö°Ô±¨µÀ£¬£¬£¬ÕâÖÖ¿ÒòÔµÄÌØÕ÷ÊÇÎÞ̵¡¢³ÖÐøÐÔ£¬£¬£¬Í£Ò©ºó»º½â¡£¡£¡£¡£¡£¿£¿ÒòÔµÄÅбðÕï¶ÏÖУ¬£¬£¬Ó¦°üÀ¨ACEÒÖÖÆ¼ÁÓÕ·¢µÄ¿ÈËÔ¡£¡£¡£¡£¡£

11.ÊÖÊõ/Âé×í

»¼ÕßÔÚ½ÓÊÜ´óÊÖÊõ»ò½ÓÄɿɱ¬·¢µÍѪѹµÄÒ©ÎïʵÑéÂé×íʱ´ú£¬£¬£¬¿¨ÍÐÆÕÀû¿É×è¶Ï´ú³¥ÐÔÉöËØÊÍ·ÅÒýÆðµÄѪ¹ÜÖ÷ÒªËØIIÐγɡ£¡£¡£¡£¡£ÈôÊDZ¬·¢µÍѪѹ£¬£¬£¬²¢ÇÒÒÔΪµÍѪѹÊÇÕâÖÖ»úÖÆµ¼Ö£¬£¬£¬Ôò¿ÉÒÔ½ÓÄÉÀ©ÈݾÙÐоÀÕý¡£¡£¡£¡£¡£

12.ÏÂÁÐÇéÐÎÉ÷Óñ¾Æ·£º

£¨1£©¹ÇËèÒÖÖÆ¡£¡£¡£¡£¡£

£¨2£©ÄÔ¶¯Âö»ò¹Ú×´¶¯Âö¹©ÑªÈ±·¦£¬£¬£¬¿ÉÒòѪѹ½µµÍ¶øÈ±Ñª¼Ó¾ç¡£¡£¡£¡£¡£

£¨3£©Ñª¼Ø¹ý¸ß¡£¡£¡£¡£¡£

£¨4£©Éö¹¦Ð§Ë𺦶øÖÂѪ¼ØÔö¸ß£¬£¬£¬°×ϸ°û¼°Á£Ï¸°ûïÔÌ­£¬£¬£¬²¢Ê¹¿¨ÍÐÆÕÀûäóÁô£¬£¬£¬±ØÐèÔÚÆÀ¹À»ñÒæºÍ·çÏÕºó²Å»ªÊ¹Óᣡ£¡£¡£¡£

£¨5£©×Ô¶¯Âö°êÏÁÕ­£¬£¬£¬´Ëʱ¿ÉÄÜʹ¹Ú×´¶¯Âö¹à×¢ïÔÌ­¡£¡£¡£¡£¡£

£¨6£©×ÔÉíÃâÒßÐÔ¼²²¡ÈçÑÏÖØÏµÍ³ÐÔºì°ßÀÇ´¯£¬£¬£¬´Ëʱ°×ϸ°û»òÁ£Ï¸°ûïÔÌ­µÄʱ»úÔö¶à¡£¡£¡£¡£¡£

£¨7£©ÑÏ¿áÒûʳÏÞÖÆÄÆÑλò¾ÙÐÐ͸ÎöÕߣ¬£¬£¬´ËʱÊ×¼ÁʹÓÿ¨ÍÐÆÕÀû¿ÉÄܱ¬·¢Í»È»¶øÑÏÖØµÄµÍѪѹ¡£¡£¡£¡£¡£

13.ÈôÄÚ°ü×°¿ª·â»òÆÆË𣬣¬£¬ÇëÎðʹÓᣡ£¡£¡£¡£

¡¾Ôи¾¼°²¸ÈéÆÚ¸¾Å®ÓÃÒ©¡¿

1.Ôи¾ÓÃÒ©£º¿¨ÍÐÆÕÀûÄÜͨ¹ýÌ¥ÅÌ£¬£¬£¬Ôи¾Ê¹Óÿ¨ÍÐÆÕÀû¿ÉÓ°ÏìÌ¥¶ù·¢Óý£¬£¬£¬ÒýÆðÌ¥¶ùºÍÐÂÉú¶ùËðº¦ÉõÖÁéæÃü£¬£¬£¬¹ÊÔи¾½ûÓᣡ£¡£¡£¡£

2.²¸ÈéÆÚ¸¾Å®ÓÃÒ©

¿¨ÍÐÆÕÀû¿ÉÅÅÈëÈéÖ­£¬£¬£¬ÈéÖ­¿¨ÍÐÆÕÀûµÄŨ¶ÈԼΪĸÌåѪҺŨ¶ÈµÄ1%¡£¡£¡£¡£¡£ÓÉÓÚ²¸ÈéÆÚµÄÓ¤¶ù·þÓÿ¨ÍÐÆÕÀûºó¿ÉÄܻᱬ·¢ÑÏÖØ²»Á¼·´Ó³£¬£¬£¬ÔÚ×ö³ö×èÖ¹²¸Èé»ò×èÖ¹ÓÃÒ©µÄ¾öÒéʱ£¬£¬£¬Ó¦½«¿¨ÍÐÆÕÀû¶ÔĸÇ×µÄÖ÷ÒªÐÔ˼Á¿ÔÚÄÚ¡£¡£¡£¡£¡£

¡¾¶ùͯÓÃÒ©¡¿

ÔÚ×Ó¹¬ÄÚ̻¶ÓÚ¿¨ÍÐÆÕÀûµÄÐÂÉú¶ù£ºÈôÊDZ¬·¢ÉÙÄò»òµÍѪѹ£¬£¬£¬Ó¦½«×¢ÖØÁ¦¼¯ÖÐÔÚѪѹ֧³ÖºÍÉö¹à×¢ÉÏ¡£¡£¡£¡£¡£×÷ÎªÄæ×ªµÍѪѹºÍ/»òÈ¡´úÒѾ­Òì³£µÄÉö¹¦Ð§µÄÒªÁ죬£¬£¬¿ÉÄÜÐèÒª»»ÑªÁÆ·¨»ò͸Îö¡£¡£¡£¡£¡£Ö»¹ÜѪҺ͸Îö¿ÉÒÔ½«³ÉÈËѪҺѭ»·ÖеĿ¨ÍÐÆÕÀûɨ³ý£¬£¬£¬¿ÉÊÇ£¬£¬£¬ÔÚͨ¹ýѪҺ͸ÎöÖØÐÂÉú¶ù»ò¶ùͯѪҺѭ»·ÖÐɨ³ý¿¨ÍÐÆÕÀûµÄÓÐÓÃÐÔ·½ÃæÉÐÎÞ×ã¹»Êý¾Ý¡£¡£¡£¡£¡£¸¹Ä£Í¸Îö²»¿ÉÓÐÓõØÉ¨³ý¿¨ÍÐÆÕÀû£»£»£»ÉÐÎÞ»»ÑªÖÎÁÆ´ÓÈ«ÉíѪҺѭ»·ÖÐɨ³ý¿¨ÍÐÆÕÀûµÄÐÅÏ¢¡£¡£¡£¡£¡£

¿¨ÍÐÆÕÀûƬÔÚ¶ùͯ»¼ÕßÖеÄÓÐÓÃÐÔºÍÇå¾²ÐÔÉÐ佨Éè¡£¡£¡£¡£¡£ÎÄÏ×Öб¨µÀµÄ¿¨ÍÐÆÕÀûÔÚ¶ùͯÖÐʹÓõÄÂÄÀúÓÐÏÞ£»£»£»»ùÓÚÌåÖØµÄ¼ÁÁ¿Í¨³£Óë³ÉÄêÈËÏ൱»òµÍÓÚºóÕß¡£¡£¡£¡£¡£

Ó¤¶ùÌØÊâÊÇÐÂÉú¶ù¿ÉÄܶԿ¨ÍÐÆÕÀûµÄѪÁ÷¶¯Á¦Ñ§²»Á¼Ó°ÏìÔ½·¢Ãô¸Ð¡£¡£¡£¡£¡£ÔøÓб¨¸æ¿¨ÍÐÆÕÀûƬÔÚÓ¤¶ù¿ÉÒýÆðѪѹ̫¹ý¡¢³¤ÆÚÒÔ¼°ÎÞ·¨Ô¤²âµÄÅãÐÔ×÷ÉÙÄòÓë³é´¤¡£¡£¡£¡£¡£

±¾Æ·½öÏÞÓÃÓÚÆä»¯½µÑ¹ÖÎÁÆÎÞЧµÄ¶ù¿Æ²¡ÈË¡£¡£¡£¡£¡£

¡¾ÍíÄêÓÃÒ©¡¿

ÍíÄêÈ˶ԽµÑ¹×÷ÓýÏÃô¸Ð£¬£¬£¬Ó¦Óñ¾Æ·ÐëµÄ×üõ¼ÁÁ¿¡£¡£¡£¡£¡£

¡¾Ò©ÎïÏ໥×÷Óá¿

1.ÀûÄò¼Á£º½ÓÊÜÀûÄò¼ÁÖÎÁƵϼÕߣ¬£¬£¬ÌØÊâÊǽüÆÚ×îÏȸøÓèÀûÄò¼ÁÖÎÁƵϼÕߣ¬£¬£¬ÒÔ¼°½ÓÊÜÑÏ¿áµÄÏÞÑÎÉÅʳ»ò¾ÙÐÐ͸ÎöµÄ»¼Õߣ¬£¬£¬ÎÞÒâ»á±¬·¢ÑªÑ¹µÄ¼±¾çϽµ£¬£¬£¬Í¨³£¼ûÓÚ¿¨ÍÐÆÕÀûÊ×¼ÁºóµÄµÚÒ»¸öСʱÄÚ¡£¡£¡£¡£¡£

ÓëÀûÄòҩͬʱʹÓÃʹ½µÑ¹×÷ÓÃÔöÇ¿£¬£¬£¬µ«Ó¦×èÖ¹ÒýÆðÑÏÖØµÍѪѹ£¬£¬£¬¹ÊÔ­ÓÃÀûÄòÒ©ÕßÒËÍ£Ò©»ò¼õÁ¿£¬£¬£¬±¾Æ·×îÏÈÓÃС¼ÁÁ¿£¬£¬£¬Öð½¥µ÷½â¼ÁÁ¿¡£¡£¡£¡£¡£

2.ÓÐÀ©Ñª¹Ü»îÐÔµÄÒ©ÎͬÓÿÉÄÜÖµÍѪѹ¡£¡£¡£¡£¡£Òò±ÈÔÚ±¾Æ·ÖÎÁÆ×îÏÈǰ£¬£¬£¬ÈôÓпÉÄÜ£¬£¬£¬Ó¦×èֹʹÓÃÏõËá¸ÊÓÍ»òÕ߯äËûµÄÏõËáÑÎÀàµÄÒ©ÎÓÃÓÚÖÎÁÆÐĽÊÍ´£©»òÕß¾ßÓÐÀ©Ñª¹Ü»îÐÔµÄÆäËûÒ©Îï¡£¡£¡£¡£¡£ÈôÊǽÓÊܱ¾Æ·ÖÎÁÆÊ±´úÊÊÓÃÕâЩҩÎ£¬£¬ÔòÓ¦ÉóÉ÷¸øÓ裬£¬£¬ÇҴӽϵͼÁÁ¿×îÏÈ¡£¡£¡£¡£¡£

3¡¢ÒýÆðÉöËØÊͷŵÄÒ©ÎÄܹ»ÒýÆðÉöËØÊͷŵĽµÑ¹µÄ¿É·Å´ó¿¨ÍÐÆÕÀûµÄҩЧ¡£¡£¡£¡£¡£ÀýÈ磬£¬£¬ÀûÄò¼Á£¨ÈçàçàºÀࣩ¿ÉÄܼ¤»îÉöËØ-Ѫ¹ÜÖ÷ÒªËØ-È©¹Ìͪϵͳ¡£¡£¡£¡£¡£

4¡¢Ó°Ïì½»¸ÐÉñ¾­»îÐÔµÄÒ©ÎÔÚ½ÓÊÜ¿¨ÍÐÆÕÀûµ¥¶ÀÖÎÁÆ»òÊÊÓÃÀûÄò¼ÁÖÎÁƵϼÕßÖУ¬£¬£¬½»¸ÐÉñ¾­ÏµÍ³¹ØÓÚѪѹ֧³ÖÓÈΪÖ÷Òª¡£¡£¡£¡£¡£ÓëÓ°Ïì½»¸ÐÉñ¾­»îÐÔµÄÒ©ÎÉñ¾­½Ú×èÖͼÁ»òÉöÉÏÏÙÄÜÉñ¾­×èÖͼÁ£©ÒÔ¼°¦ÂÊÜÌå×èÖͼÁÊÊÓö¼»áÒýÆð½µÑ¹×÷ÓÃÔöÇ¿£¬£¬£¬Ó¦ÉóÉ÷¡£¡£¡£¡£¡£

5.ÉýѪ¼ØÒ©ÎÓÉÓÚ¿¨ÍÐÆÕÀû»á½µµÍÈ©¹ÌͪÌìÉú£¬£¬£¬Òò±È£¬£¬£¬¿ÉÄܱ¬·¢Ñª¼ØÉý¸ß¡£¡£¡£¡£¡£±£¼ØÀûÄò¼ÁÈçÂÝÄÚõ¥¡¢°±±½µûड¢°¢Ã×ÂåÀû»ò²¹¼Ø¼ÁÖ»ÄÜÓÃÓÚÃ÷È·µÄµÍ¼ØÑªÖ¢£¬£¬£¬Ê¹ÓÃʱӦÉóÉ÷£¬£¬£¬ÓÉÓÚͬÓÿÉÄÜ»áÒýÆðѪ¼ØÏÔ×ÅÉý¸ß¡£¡£¡£¡£¡£º¬¼ØµÄÑÎÌæ»»ÎïÒ²Ó¦ÉóÉ÷ʹÓᣡ£¡£¡£¡£

6¡¢ÄÚÔ´ÐÔǰÏßÏÙËØºÏ³ÉÒÖÖÆ¼Á£º·ÇçÞÌ忹Ñ×Ò©NSAIDs¿ÉÄÜ»áÏ÷ÈõACEÒÖÖÆ¼Á£¨°üÀ¨¿¨ÍÐÆÕÀû£©µÄ½µÑ¹×÷Ó㬣¬£¬ÌØÊâÊÇÔÚµÍÉöËØÐ͸ßѪѹµÄÇéÐÎÏ¡£¡£¡£¡£¡£ÆäËû·ÇçÞÌåÀ࿹Ñ×Ò©£¨ÀýÈ簢˾ƥÁÖ£©¿ÉÄÜÒ²ÓÐÕâÖÖ×÷Óᣡ£¡£¡£¡£ÍíÄ껼Õߣ¬£¬£¬ºÏ²¢Ê¹ÓÃNSAIDs£¨°üÀ¨Ñ¡ÔñÐÔ»·Ñõø2£¨COX-2£©ÒÖÖÆ¼Á£©ºÍACEÒÖÖÆ¼Á£¨°üÀ¨¿¨ÍÐÆÕÀû£©£¬£¬£¬¿ÉÄܻᵼÖÂÉö¹¦Ð§¶ñ»¯£¨°üÀ¨¿ÉÄܱ¬·¢µÄ¼±ÐÔÉö¹¦Ð§Ë¥½ß£©¡£¡£¡£¡£¡£ÕâЩӰÏìͨ³£ÊÇ¿ÉÄæÐԵġ£¡£¡£¡£¡£¹ØÓÚ½ÓÊÜ¿¨ÍÐÆÕÀûºÍNSAIDsÖÎÁƵϼÕߣ¬£¬£¬Ó¦°´ÆÚ¼à²âÉö¹¦Ð§¡£¡£¡£¡£¡£

7.﮼Á£ºÔÚÊÊÓÃ﮼ÁºÍACEÒÖÖÆ¼ÁµÄ»¼ÕßÖУ¬£¬£¬Ôø±¨¸æÑªÇåï®Ë®Æ½Éý¸ßºÍï®Öж¾Ö¢×´¡£¡£¡£¡£¡£ÊÊÓÃÕâЩҩÎïʱӦÉóÉ÷£¬£¬£¬²¢ÇÒ½¨Òé¾­³£¼à²âѪÇåï®Ë®Æ½¡£¡£¡£¡£¡£ÈôÊÇͬʱÊÊÓÃÀûÄò¼Á£¬£¬£¬ï®Öж¾µÄ·ïÏÕ¿ÉÄÜ»áÔöÌí¡£¡£¡£¡£¡£

8¡¢½µÌÇÒ©ÎACEÒÖÖÆ¼Á£¨°üÀ¨¿¨ÍÐÆÕÀû£©¿ÉÔöÇ¿ÒȵºËؼ°¿Ú·þ½µÌÇÒ©£¨ÀýÈç»ÇëåÀࣩÔÚÌÇÄò²¡»¼ÕßÖеĽµÌÇ×÷Óᣡ£¡£¡£¡£

9.ÉöËØ-Ѫ¹ÜÖ÷ÒªËØ-È©¹Ìͪϵͳ£¨RAAS£©µÄË«ÖØ×è¶Ï

ÁÙ´²ÊÔÑéÊý¾ÝÏÔʾ£¬£¬£¬Í¨¹ýÊÊÓÃACEÒÖÖÆ¼Á¡¢Ñª¹ÜÖ÷ÒªËØIIÊÜÌå×èÖͼÁÍþ°¢Àû¼ªÂضÔÉöËØ-Ѫ¹ÜÖ÷ÒªËØ-È©¹Ìͪϵͳ£¨RAAS£©¾ÙÐÐË«ÖØ×è¶Ïʱ£¬£¬£¬ÓëֻʹÓÃÒ»ÖÖ×÷ÓÃÓÚRAASµÄÒ©ÎïÏà±È£¬£¬£¬²»Á¼ÊÂÎñ£¨ÀýÈçµÍѪѹ¡¢¸ß¼ØÑªÖ¢ºÍÉö¹¦Ð§Ï½µ£¨°üÀ¨¼±ÐÔÉö¹¦Ð§Ë¥½ß£©£©µÄ±¬·¢ÂÊÉý¸ß¡£¡£¡£¡£¡£´ó´ó¶¼²¡È˽ÓÊÜÁ½ÖÖRAASÒÖÖÆ¼ÁÁªºÏÖÎÁƱȼòµ¥ÁÆ·¨Ã»ÓлñµÃÌØÊâÀûÒæ¡£¡£¡£¡£¡£Ò»°ãÀ´Ëµ£¬£¬£¬Ó¦×èÖ¹ÁªºÏʹÓÃRAASÒÖÖÆ¼Á¡£¡£¡£¡£¡£¹ØÓÚ½ÓÊܱ¾Æ·¼°ÆäËûÓ°ÏìRAASµÄÒ©ÎïÖÎÁƵϼÕߣ¬£¬£¬Ó¦Ç×½ü¼à²âѪѹ¡¢Éö¶¯Äܼ°µç½âÖÊ¡£¡£¡£¡£¡£

ÌÇÄò²¡Éö²¡»¼ÕßեȡÊÊÓÃACEÒÖÖÆ¼ÁºÍѪ¹ÜÖ÷ÒªËØIIÊÜÌå×èÖͼÁ¡£¡£¡£¡£¡£

Éö¹¦Ð§Ë𺦣¨ÉöСÇòÂ˹ýÂÊGFR<60ml/min£©µÄ»¼ÕßÓ¦×èÖ¹ÊÊÓð¢Àû¼ªÂغͱ¾Æ·¡£¡£¡£¡£¡£

10.Ò©Îï/ʵÑéÊÒ¼ì²éÏ໥×÷ÓÃ

¿¨ÍÐÆÕÀû¿ÉÒýÆðÄò±ûͪ¼ì²é¼ÙÑôÐÔ¡£¡£¡£¡£¡£

11.ÓëÆäËû½µÑ¹Ò©ÊÊÓ㬣¬£¬½µÑ¹×÷ÓÃÔöÇ¿¡£¡£¡£¡£¡£

¡¾Ò©Îï¹ýÁ¿¡¿

ÓâÁ¿¿ÉÖµÍѪѹ£¬£¬£¬±¬·¢Ò©Îï¹ýÁ¿Ê±£¬£¬£¬Ó¦Ê×ÏÈ˼Á¿¾ÀÕýµÍѪѹ¡£¡£¡£¡£¡£Ó¦Á¬Ã¦Í£Ò©£¬£¬£¬ÔÚ¶Ô»¼Õß¾ÙÐÐѪѹ»Ö¸´Ê±£¬£¬£¬¿ÉÒÔÑ¡Ôñͨ¹ý¾²ÂöÊä×¢ÐÄÀíÑÎË®À©ÈÝÒÔ¾ÀÕý¡£¡£¡£¡£¡£

³ÉÈËѪҺѭ»·ÖеĿ¨ÍÐÆÕÀû¿ÉÒÔͨ¹ýѪҺ͸Îöɨ³ý£¬£¬£¬µ«ÏÖÔÚÎÞ×ã¹»µÄÊý¾Ý֤ʵѪҺ͸Îö¶ÔÐÂÉú¶ù»ò¶ùͯÌåÄÚ¿¨ÍÐÆÕÀûµÄɨ³ýͬÑùÓÐÓᣡ£¡£¡£¡£¸¹Ä¤Í¸ÎöÎÞ·¨ÓÐÓÃɨ³ýѪҺѭ»·ÖеĿ¨ÍÐÆÕÀû£¬£¬£¬ÏÖÔÚÉв»ÇåÎúÌæ»»ÑªÁÆ·¨ÊÇ·ñ¿Éɨ³ýÌåÄڵĿ¨ÍÐÆÕÀû¡£¡£¡£¡£¡£

¡¾Ò©Àí¶¾Àí¡¿

Ò©Àí×÷ÓÃ

¿¨ÍÐÆÕÀûΪ¾ºÕùÐÔѪ¹ÜÖ÷ÒªËØ×ª»»Ã¸ÒÖÖÆ¼Á£¬£¬£¬Ê¹Ñª¹ÜÖ÷ÒªËØI²»¿Éת»»ÎªÑª¹ÜÖ÷ÒªËØII£¬£¬£¬´Ó¶ø½µµÍÍâÖÜѪ¹Ü×èÁ¦£¬£¬£¬²¢Í¨¹ýÒÖÖÆÈ©¹ÌÍªÉøÍ¸£¬£¬£¬ïÔÌ­Ë®ÄÆäóÁô£»£»£»»¹¿Éͨ¹ý×ÌÈÅ»º¼¤ëĵĽµ½âÀ©ÕÅÍâÖÜѪ¹Ü£»£»£»Ò²¿É½µµÍ·ÎëϸѪ¹ÜШѹ¼°·ÎѪ¹Ü×èÁ¦£¬£¬£¬ÔöÌíÐÄÊä³öÁ¿¼°Ô˶¯ÄÍÊÜʱ¼ä¡£¡£¡£¡£¡£

¶¾ÀíÑо¿

Ò»°ã¶¾ÐÔ

ÔÚСÊó¡¢´óÊó¡¢È®ºÍºï£¬£¬£¬»®·Ö¿ªÕ¹ÁËÖØ¸´¸øÒ©¶¾ÐÔÊÔÑ飨СÊó£º2Äꣻ£»£»´óÊó£º2Äꣻ£»£»È®£º47ÖÜ£¬£¬£¬1Äꣻ£»£»ºï£º1Ä꣩£¬£¬£¬ÓëÒ©ÎïÏà¹ØµÄ¶¾ÐÔ°üÀ¨¶ÔÔìѪ¹¦Ð§µÄÓ°Ïì¡¢ÉöÔà¶¾ÐÔ¡¢Î¸ÃÓÀÃ/À£Ññ¡¢ÊÓÍøÄ¤Ñª¹Ü±äÒì¡£¡£¡£¡£¡£

СÊó¡¢´óÊóºÍºï¾­¿Ú¸øÓ迨ÍÐÆÕÀû¼ÁÁ¿Îª×î´óÍÆ¼öÈËÀà¼ÁÁ¿£¨MRHD£©µÄ50±¶µ½150±¶Ê±£¬£¬£¬¿É¼ûѪºìÂѰ׺Í/»òºìϸ°ûѹ»ýÊýֵϽµ¡£¡£¡£¡£¡£È®¾­¿Ú¸øÒ©¼ÁÁ¿ÎªMRHDµÄ8±¶µ½30±¶Ê±£¬£¬£¬¿É¼ûѪÐé¡¢°×ϸ°ûïÔÌ­¡¢ÑªÐ¡°åïÔÌ­ºÍ¹ÇËèÒÖÖÆ¡£¡£¡£¡£¡£Ð¡ÊóºÍ´óÊó½ö1ÄêºóµÄѪºìÂѰ׺ͺìϸ°ûѹ»ýÊýֵϽµÏÔ×Å£¬£¬£¬¿ÉÄæ¡£¡£¡£¡£¡£ÔÚÈ®ÊÔÑéÖУ¬£¬£¬ËùÓмÁÁ¿Ë®Æ½£¨8µ½30±¶MRHD£©¾ù¿É¼ûÏÔ×ÅѪÐ飬£¬£¬Öжȵ½ÏÔ×Ű×ϸ°ûïÔÌ­»®·Ö±¬·¢ÔÚMRHDµÄ15±¶ºÍ30±¶Ê±£¬£¬£¬ÑªÐ¡°åïÔÌ­±¬·¢ÔÚMRHDµÄ30±¶Ê±¡£¡£¡£¡£¡£Í£Ò©ºó£¬£¬£¬ÑªÐé¿ÉÄæ¡£¡£¡£¡£¡£¹ÇËèÒÖÖÆµÄ±¬·¢Ë®Æ½·×Æç£ºÔÚ1ÄêµÄÑо¿ÖУ¬£¬£¬¼ûÓÚéæÃüµÄÈ®»òÔÚ±ôËÀ״̬±»Õý·¨µÄÈ®£¬£¬£¬µ«ÔÚ47ÖܵÄÑо¿ÖУ¬£¬£¬¼ÁÁ¿ÎªMRHDµÄ30±¶Ê±£¬£¬£¬¹ÇËèÒÖÖÆ¿ÉÄæ×ª¡£¡£¡£¡£¡£Ð¡ÊóºÍ´óÊó¾­¿Ú¸øÓ迨ÍÐÆÕÀû¼ÁÁ¿ÎªMRHDµÄµ½200±¶Ê±£¬£¬£¬ºï¸øÒ©¼ÁÁ¿ÎªMRHDµÄ20µ½60±¶Ê±£¬£¬£¬È®¼ÁÁ¿ÎªMRHDµÄ30±¶Ê±£¬£¬£¬¿É¼ûÉöСÇòÅÔÆ÷ÔöÉú¡£¡£¡£¡£¡£

ÐÛÐÔ´óÊó¾­¿Ú¸øÓ迨ÍÐÆÕÀû¼ÁÁ¿ÎªMRHDµÄ20±¶ºÍ200£¬£¬£¬È®ºÍºï»®·Ö¾­¿Ú¸øÓ迨ÍÐÆÕÀûMRHDµÄ30±¶ºÍMRHDµÄ65±¶Ê±£¬£¬£¬Î¸ÃÓÀÃ/À£ÑñµÄ±¬·¢ÂÊÉý¸ß£¬£¬£¬Íþ­¿Ú¸øÓ迨ÍÐÆÕÀû5-7Ìì¼ÁÁ¿Ô¼ÎªMRHDµÄ30±¶£¬£¬£¬¿É¼ûθÀ£ÑñºÍ³¦µÀÀ£Ññ±¬·¢¡£¡£¡£¡£¡£´óÊó¾­¿Ú¸øÓ迨ÍÐÆÕÀû2Ä꣬£¬£¬ÔÚËùÓмÁÁ¿Ë®Æ½£¨MRHDµÄ7±¶µ½20±¶£©£¬£¬£¬¿É¼û¾ÙÐÐÐÔÊÓÍøÄ¤Ñª¹Ü¹Ü¾¶²»¿ÉÄæÐԸı䣬£¬£¬³Ê¼ÁÁ¿Ïà¹ØÐÔ¡£¡£¡£¡£¡£×îÔçÔÚ¸øÒ©µÚ88ÖÜ·ºÆð£¬£¬£¬Ö®ºó±¬·¢ÂʾÙÐÐÐÔÉý¸ß£¬£¬£¬Í£Ò©ºó²»¿ÉÄæ¡£¡£¡£¡£¡£

Ö°©ÐÔ

СÊ󣬣¬£¬´óÊó»®·ÖÖðÈÕ¸øÓ迨ÍÐÆÕÀû50-1350mg/kg£¬£¬£¬¸øÒ©2Ä꣬£¬£¬¾ùδ¼ûÖ°©×÷Ó㬣¬£¬Æä¸ß¼ÁÁ¿ÎªÈË×î´óÍÆ¼ö¼ÁÁ¿£¨50kg£¬£¬£¬450mg£©µÄ150ÐÅ¡£¡£¡£¡£¡£¾ÝÌåÍâò»ýÕÛË㣬£¬£¬Ð¡ÊóºÍ´óÊóµÄ×î¸ß¼ÁÁ¿»®·ÖΪÈË×î´óÍÆ¼ö¼ÁÁ¿µÄ13ºÍ26±¶¡£¡£¡£¡£¡£

¡¾Ò©´ú¶¯Á¦Ñ§¡¿

¿¨ÍÐÆÕÀûƬ¿Ú·þºóÎüÊÕѸËÙ£¬£¬£¬ÎüÊÕÂÊÔÚ75%ÒÔÉÏ¡£¡£¡£¡£¡£¿£¿Ú·þºó15·ÖÖÓÆðЧ£¬£¬£¬Ô¼Äª1Сʱ´ïѪҩ·åŨ¶È£¬£¬£¬³ÖÐø6-12Сʱ¡£¡£¡£¡£¡£Î¸³¦ÖÐʳÎï¿Éʹ¿¨ÍÐÆÕÀûÎüÊÕïÔÌ­30%-40%£¬£¬£¬¹ÊÒËÔÚ²Í1Сʱ·þÒ©¡£¡£¡£¡£¡£»£»£»ùÓÚ14C±ê¼ÇÑо¿£¬£¬£¬24СʱÄÚ95%ÒÔÉϵÄÎüÊÕÒ©Îïͨ¹ýÄòÒºÉøÍ¸£¬£¬£¬40%-50%ÎªÕæÏàÒ©£¬£¬£¬Ê£Óಿ·ÖÖ÷ҪΪ¿¨ÍÐÆÕÀû¶þÁò»¯Îï¶þ¾ÛÌåºÍ¿¨ÍÐÆÕÀû-°ëë×°±Ëá¶þÁò»¯Îï¡£¡£¡£¡£¡£Ò©ÎïѪ½¬ÂѰ×Á¬ÏµÂÊԼĪΪ25%-30%¡£¡£¡£¡£¡£ÑªÒºÖÐ×Ü·ÅÉä»îÐԵıí¹Ûɨ³ý°ëË¥ÆÚԼĪСÓÚ3Сʱ£¬£¬£¬Ñо¿Î´ÄÜ׼ȷ²â¶¨ÕæÏ࿨ÍÐÆÕÀûµÄ°ëË¥ÆÚ£¬£¬£¬µ«ºÜ¿ÉÄÜСÓÚ2Сʱ¡£¡£¡£¡£¡£Éö¹¦Ð§Ëðº¦Ê±»á±¬·¢Ò©ÎïäóÁô¡£¡£¡£¡£¡£½µÑ¹×÷ÓÃΪ¾ÙÐÐÐÔ£¬£¬£¬Ô¼ÊýÖÜ´ï×î´óÖÎÁÆ×÷Óᣡ£¡£¡£¡£

¿¨ÍÐÆÕÀû²»¿Éͨ¹ýѪÄÔ½âÕÏ¡£¡£¡£¡£¡£¿£¿¨ÍÐÆÕÀû¿Éͨ¹ýÈéÖ­ÉøÍ¸£¬£¬£¬¿ÉÒÔͨ¹ýÌ¥ÅÌ¡£¡£¡£¡£¡£

¡¾Öü²Ø¡¿Õڹ⣬£¬£¬ÃÜ·âÉúÑÄ¡£¡£¡£¡£¡£

¡¾°ü×°¡¿ËÜÁÏÆ¿×°£¬£¬£¬100Ƭ/Æ¿¡£¡£¡£¡£¡£

¡¾ÓÐÓÃÆÚ¡¿24¸öÔÂ

¡¾Ö´Ðбê×¼¡¿¹ú¼ÒÒ©Æ·¼àÊÓÖÎÀí¾Ö±ê×¼YBH07002020

¡¾Åú×¼Îĺš¿¹úÒ©×¼×ÖH14021648

¡¾ÉÏÊÐÔÊÐí³ÖÓÐÈË¡¿

Ãû³Æ£ºÉ½Î÷tyc41183Ì«Ñô³É¼¯ÍŰ²ÐÀÉúÎïÖÆÒ©ÓÐÏÞ¹«Ë¾

×¢²áµØµã£ºÉ½Î÷Ê¡½úÖÐÊÐɽÎ÷Ê÷Ä£Çø½úÖпª·¢Çø»ãͨ¹¤ÒµÔ°Çø»þ³Ç·908ºÅ

¡¾Éú²úÆóÒµ¡¿

ÆóÒµÃû³Æ£ºÉ½Î÷tyc41183Ì«Ñô³É¼¯ÍŰ²ÐÀÉúÎïÖÆÒ©ÓÐÏÞ¹«Ë¾

Éú²úµØµã£ºÉ½Î÷Ê¡½úÖÐÊлþ³Ç·908ºÅ£¨½úÖо­¼ÃÊÖÒÕ¿ª·¢ÇøÃñÓª¿Æ¼¼Ô°£©

²¿Õþ±àÂ룺030600

µç»°ºÅÂ룺£¨0354£©2467987

´«ÕæºÅÂ룺£¨0354£©2461887

꿅᣼www.zdjt.com

da63e5b76069354863d3d9d26f0229c5
¿¨ÍÐÆÕÀûƬ
¡¾³É¡¡¡¡·Ý¡¿±¾Æ·Ö÷Òª³É·ÝΪ¿¨ÍÐÆÕÀû¡£¡£¡£¡£¡£
¡¾¹¦Ð§Ö÷ÖΡ¿1.¸ßѪѹ£»£»£»2.ÐÄÁ¦±í½ß¡£¡£¡£¡£¡£
¡¾¹æ¡¡¡¡¸ñ¡¿25mg
¡¾Åú×¼Îĺš¿¹úÒ©×¼×ÖH14021648
²úƷ˵Ã÷

¡¾Ò©Æ·Ãû³Æ¡¿

ͨÓÃÃû³Æ£º¿¨ÍÐÆÕÀûƬ

Ó¢ÎÄÃû³Æ£ºCaptoprilTablets

ººÓïÆ´Òô£ºKatuopuliPian

¡¾³É·Ý¡¿±¾Æ·Ö÷Òª³É·ÝΪ¿¨ÍÐÆÕÀû¡£¡£¡£¡£¡£

»¯Ñ§Ãû³Æ£º1-[(2S)-2-¼×»ù-3-Êè»ù-1-±ûõ£»£»£»ù]-l-¸¬ÇâËá

»¯Ñ§½á¹¹Ê½£º

¿¨ÍÐÆÕÀûƬ,¿¨ÍÐÆÕÀû

·Ö×Óʽ£ºC9H15NO3S

·Ö×ÓÁ¿£º217.29

¡¾ÐÔ×´¡¿±¾Æ·Îª°×É«»òÀà°×ɫƬ£¬£¬£¬Ò»Ãæ´øÓÐÊ®×ֿ̺ۡ£¡£¡£¡£¡£

¡¾Ë³Ó¦Ö¢¡¿1.¸ßѪѹ£»£»£»2.ÐÄÁ¦±í½ß¡£¡£¡£¡£¡£

¡¾¹æ¸ñ¡¿25mg

¡¾Ó÷¨ÓÃÁ¿¡¿ÊÓ²¡Çé»ò¸öÌå²î±ð¶ø¶¨¡£¡£¡£¡£¡£±¾Æ·ÒËÔÚҽʦָµ¼»ò¼à»¤Ï·þÓ㬣¬£¬¸øÒ©¼ÁÁ¿Ðë×ñÕÕ¸öÌ廯ԭÔò£¬£¬£¬°´ÁÆÐ§¶øÓèÒÔµ÷½â¡£¡£¡£¡£¡£

¸ßѪѹ

ÖÎÁÆ×îÏÈǰ£¬£¬£¬ÐèҪ˼Á¿½üÆÚ½µÑ¹Ò©ÎïÖÎÁÆÇéÐΡ¢ÑªÑ¹Éý¸ßµÄˮƽ¡¢ÏÞÑμ°ÆäËûÁÙ´²ÇéÐΡ£¡£¡£¡£¡£³õʼ¼ÁÁ¿¿Ú·þÒ»´Î12.5mg£¬£¬£¬ÖðÈÕ2-3´Î¡£¡£¡£¡£¡£ÈôÊÇÔÚ1ÖÜ»ò2ÖܺóÈÔδ»ñµÃÖª×ãµÄѪѹ½µµÍ£¬£¬£¬Ôò¿ÉÒÔ½«¼ÁÁ¿ÔöÌíΪһ´Î50mg£¬£¬£¬ÖðÈÕ2-3´Î¡£¡£¡£¡£¡£µ¥¶ÀʹÓñ¾Æ·Ê±£¬£¬£¬Í¬Ê±¸øÓèÏÞÄÆ²½·¥ÓÚ»¼ÕßÓÐÀû¡£¡£¡£¡£¡£ÓÃÓÚÖÎÁƸßѪѹµÄ¼ÁÁ¿Í¨³£²»Áè¼Ý50mg£¬£¬£¬ÖðÈÕ3´Î¡£¡£¡£¡£¡£ÈôÊÇÆ¾Ö¤´Ë¼ÁÁ¿ÖÎÁÆ1ÖÁ2Öܺ󣬣¬£¬ÑªÑ¹Ã»ÓлñµÃÖª×ãµÄ¿ØÖÆ£¨Î´ÊÊÓÃÀûÄò¼Á£©£¬£¬£¬ÔòÓ¦Ìí¼ÓÖеȼÁÁ¿µÄàçàºÀàÀûÄò¼Á£¨ÀýÈ磬£¬£¬ÇâÂÈàçຣ¬£¬£¬ÖðÈÕ25mg£©¡£¡£¡£¡£¡£ÀûÄò¼ÁµÄ¼ÁÁ¿¿ÉÒÔÆ¾Ö¤ÑªÑ¹¿ØÖÆÇéÐÎ˼Á¿Ã¿¸ô1ÖÜ»ò2ÖÜÔöÌí1´Î£¬£¬£¬Ö±ÖÁµÖ´ïÄ¿µÄѪѹ¡£¡£¡£¡£¡£ÈôÊÇÔÚÒѾ­½ÓÊÜÀûÄò¼ÁÖÎÁƵϼÕßÖÐ×îÏÈʹÓñ¾Æ·£¬£¬£¬Ó¦ÔÚÑÏÃܵÄҽѧ¼à²âÏÂ×îÏÈÖÎÁÆ¡£¡£¡£¡£¡£¹ØÓÚÖØ¶È¸ßѪѹ£¨ÀýÈç¼±½øÐ͸ßѪѹ»ò¶ñÐÔ¸ßѪѹ£©Õߣ¬£¬£¬ÔÝʱͣÓÃÏÖÔÚ½µÑ¹ÖÎÁƲ»ÏÖʵ£¬£¬£¬»òÐèÁ¬Ã¦½«ÑªÑ¹½µÖÁÕý³£Ë®Æ½Ê±£¬£¬£¬ÔòÓ¦¼ÌÐøÊ¹ÓÃÀûÄò¼Á£¬£¬£¬µ«ÐèÍ£¼ÓÆäËûÕýÔÚÖÎÁƵĽµÑ¹Ò©£¬£¬£¬ÔÚÑÏÃܵÄҽѧ¼à²âÏ£¬£¬£¬Á¬Ã¦×îÏȱ¾Æ·25mgÖðÈÕ2´Î»ò3´ÎÖÎÁÆ¡£¡£¡£¡£¡£ÈôÊÇ»¼ÕßÁÙ´²ÐèÒª£¬£¬£¬¿ÉÒÔÔÚ¶¯Ì¬Ò½Ñ§¼à²âµÄÌõ¼þÏ£¬£¬£¬Æ¾Ö¤Ã¿24Сʱ»ò¸ü¶ÌµÄʱ¼äÔöÌí±¾Æ·µÄÖðÈÕ¼ÁÁ¿£¬£¬£¬Ö±ÖÁ»ñµÃÖª×ãµÄѪѹ¿ØÖÆ»òÕßÖ±ÖÁ±¾Æ·µÄ×î¸ß¼ÁÁ¿¡£¡£¡£¡£¡£Æ¾Ö¤´ËÖÖ·½°¸¸øÒ©Ê±£¬£¬£¬¿ÉÄÜ»¹ÐèҪʹÓøüÇ¿µÄÀûÄò¼Á£¬£¬£¬Èçß»ÈûÃס£¡£¡£¡£¡£

ÐÄÁ¦Ë¥½ß

±¾Æ·±ØÐèÔÚÑÏÃܵÄҽѧ¼à²âÏÂ×îÏÈÖÎÁÆ¡£¡£¡£¡£¡£

ÖÎÁÆ×îÏÈǰ£¬£¬£¬Èô´ËÇ°Ôø³ä·Ö½ÓÊÜÀûÄò¼ÁÖÎÁÆ£¬£¬£¬¿ÉÄܱ£´æµÍÄÆºÍ/»òµÍѪÈÝÁ¿£¬£¬£¬¶øÑªÑ¹Õý³£»£»£»òÆ«µÍµÄ»¼Õߣ¬£¬£¬³õʼ¼ÁÁ¿ÒËÓÃ6.25mgÖðÈÕ3´Î£¬£¬£¬¿É×îºéÁ÷ƽµØ½µµÍµÍѪѹ·´Ó³µÄˮƽºÍ³ÖÐøÊ±¼ä£¬£¬£¬ÒÔºóÇ×½ü¼à²â£¬£¬£¬²¢Öð²½ÔöÌíÖÁ³£ÓÃÁ¿¡£¡£¡£¡£¡£

´ó´ó¶¼»¼Õߵijõʼ¼ÁÁ¿ÎªÒ»´Î12.5mgÖðÈÕ2-3´Î£¬£¬£¬Ó¦ÒÀ¾Ý»¼Õߵķ´Ó³¡¢ÁÙ´²×´Ì¬ºÍÄÍÊÜÐÔµ÷½âά³Ö¼ÁÁ¿£¬£¬£¬ÐëҪʱÖð½¥ÔöÖÁ50mg£¬£¬£¬ÖðÈÕ2-3´Î¡£¡£¡£¡£¡£¼ÁÁ¿ÔöÓ¦ÖÁÉÙÎʸô2ÖÜÀ´ÆÀ¹À»¼Õߵķ´Ó³¡£¡£¡£¡£¡£×î¸ß¿ÉÖÁ150mg/Ì죬£¬£¬·Ö2-3´Î·þÓᣡ£¡£¡£¡£

¡¾²»Á¼·´Ó³¡¿

1.ÁÙ´²ÊÔÑé

¿¨ÍÐÆÕÀûµÄÁÙ´²ÊÔÑéÖб¨¸æµÄ²»Á¼ÊÂÎñÈçÏ£¨»¼ÕßÈËÊýԼΪ7000Àý£©£º

£¨1£©Æ¤·ô£ºÆ¤Õ£¬£¬Í¨³£°éÓÐðþÑ÷£¬£¬£¬ÓÐʱ°é·¢ÈÈ¡¢ÊàŦʹºÍÊÈËáÐÔϸ°ûÔö¶à£¬£¬£¬±¬·¢ÂÊ4%-7%£¬£¬£¬È¡¾öÓÚ»¼ÕßÉöÔà״̬ºÍÒ©Îï¼ÁÁ¿£¬£¬£¬Í¨³£±¬·¢ÓÚÖÎÁÆ×îÏȺó4ÖÜÄÚ£¬£¬£¬³£Îª°ßÇðÕ£¬£¬ÉÙ¼ûÝ¡ÂéÕ£¬£¬Í¨³£Ö¢×´ÉÔ΢£¬£¬£¬¼õÁ¿¡¢Í£Ò©»ò¸ø¿¹×é°·Ò©ºóÏûÊÅ¡£¡£¡£¡£¡£Ô¼2%µÄ»¼Õ߻ᱬ·¢²»°éƤÕîµÄðþÑ÷¡£¡£¡£¡£¡£7%-10%µÄƤÕÕß°éÊÈËáÐÔϸ°ûÔö¶à»ò¿¹ºË¿¹Ì壨ANA£©ÑôÐÔ¡£¡£¡£¡£¡£Ò²Óб¨µÀ¹ý¿ÉÄæÐÔµÄÒ©ÎïÏà¹ØÐÔÀàÌìðå´¯Ñù²¡±äºÍ¹âÃô¸Ð¡£¡£¡£¡£¡£¡Ý0.5%µÄ»¼Õß±¬·¢Ã沿³±ºì»ò²Ò°×¡£¡£¡£¡£¡£

£¨2£©ÐÄѪ¹Ü£ºÔ¼1%µÄ»¼Õß±¬·¢µÍѪѹ£¬£¬£¬Ð͝¹ýËÙ£¬£¬£¬ÐØÍ´ºÍÐļ¡£¡£¡£¡£¡£ÐĽÊÍ´£¬£¬£¬Ð£ËÀ¡¢À×ŵ×ÛºÏÕ÷ºÍ³äѪÐÔÐÄÁ¦Ë¥½ß¸÷±¬·¢ÓÚ¡Ü0.3%µÄ»¼Õß¡£¡£¡£¡£¡£

£¨3£©Î¸³¦µÀ£ºÔ¼2%-4%µÄ»¼Õߣ¨Ïêϸȡ¾öÓÚÉöÔà״̬ºÍ¼ÁÁ¿£©±¬·¢Î¶¾õÕϰ­»òζ¾õ»ºÂý¡£¡£¡£¡£¡£

£¨4£©ÑªÒºÑ§£ºÑªÐ飬£¬£¬ÑªÐ¡°åïÔÌ­£¬£¬£¬È«ÑªÏ¸°ûïÔÌ­£¬£¬£¬ÖÐÐÔÁ£Ï¸°ûïÔÌ­/Á£Ï¸°ûȱ·¦Ö¢¡£¡£¡£¡£¡£

£¨5£©ÃâÒßѧ£ºÔ¼0.1%»¼Õß±¬·¢Ñª¹ÜÐÔË®Ö×£º°üÀ¨Ã沿¡¢ËÄÖ«¡¢¿Ú´½¡¢ð¤Ä¤¡¢Éà¡¢ÉùÃÅ»òÑʺíµÄѪ¹ÜÐÔË®Ö×£¬£¬£¬½¨Ò黼ÕßÁ¬Ã¦±¨¸æÒ½Éú¡£¡£¡£¡£¡£ÀÛ¼°ÉϺôÎüµÀµÄѪ¹ÜÐÔË®Ö׿ÉÒýÆðÖÂÃüÐÔµÄÆøµÀÛÕ±Õ¡£¡£¡£¡£¡£

£¨6£©ºôÎüµÀ£º0.5%-2%µÄ»¼Õß±¬·¢ÁË¿ÈËÔ¡£¡£¡£¡£¡£

£¨7£©ÉöÔࣺÉö¹¦Ð§Ë𺦡¢Éö¹¦Ð§Ë¥½ß¡¢Éö²¡×ÛºÏÕ÷¡¢¶àÄò¡¢ÉÙÄòºÍÄòƵºÜÉÙ¼û£¨¡Ü0.2%£©£¬£¬£¬ÓëÓÃÒ©µÄ¹ØÏµ²»Ã÷È·¡£¡£¡£¡£¡£ÂѰ×Äò¡£¡£¡£¡£¡£

£¨8£©Ô¼0.5%-2%µÄ»¼Õß±¬·¢ÁËÒÔÏÂÊÂÎñ£¬£¬£¬µ«Óë±ÈÕÕÊÔÑéÖÐʹÓõÄο½å¼Á»òÆäËûÖÎÁÆÏà±È£¬£¬£¬±¬·¢ÂÊδ¼ûÉý¸ß£ºÎ¸²¿´Ì¼¤·´Ó³£»£»£»¸¹Í´£»£»£»¶ñÐÄ£»£»£»ÍÂÄæ£»£»£»¸¹Ðº£»£»£»Ê³Óû²»Õñ£»£»£»±ãÃØ£»£»£»¿ÚÇ»À£Ññ£»£»£»Í·ÔΣ¬£¬£¬Í·Í´£¬£¬£¬Î®ÃÒ²»Õñ£»£»£»Æ£¾ë£»£»£»Ê§Ãߣ»£»£»¿Ú¸É£»£»£»ºôÎüÄÑÌ⣬£¬£¬ÍÑ·¢£»£»£»¸ÐÊÜÒì³£¡£¡£¡£¡£¡£

2.ÉÏÊкóÂÄÀú

ÏÂÃæÆ¾Ö¤ÉíÌåϽµµÍгöÁË¿¨ÍÐÆÕÀûƬÉÏÊк󱨸æµÄÁÙ´²²»Á¼ÊÂÎñ¡£¡£¡£¡£¡£ÔÚÕâÖÖÇéÐÎÏ£¬£¬£¬²»¿É׼ȷÅжϱ¬·¢ÂÊ»òÒò¹û¹ØÏµ£º

£¨1£©Ò»°ãÇéÐΣº·¦Á¦£»£»£»ÄÐÐÔÈé·¿·¢Óý¡£¡£¡£¡£¡£

£¨2£©ÐÄѪ¹Ü£ºÐÄÌøÖèÍ££»£»£»ÄÔѪ¹ÜÒâÍâÀÖ³ÉÄܲ»È«£»£»£»ÐÄÂÊ¿ì¶ø²»Æë£»£»£»ÌåλÐÔµÍѪѹ£»£»£»ÔÎØÊ£¬£¬£¬ÓɵÍѪѹÒýÆð£¬£¬£¬ÓÈÆäÔÚÈ±ÄÆ»òѪÈÝÁ¿È±·¦Ê±¡£¡£¡£¡£¡£

£¨3£©Æ¤·ô£º´óðåÐÔÌìðå´¯£¬£¬£¬¶àÐÎÐÔºì°ß£¨°üÀ¨Stevens-Johnson×ÛºÏÕ÷£©°þÍÑÐÔÆ¤Ñס£¡£¡£¡£¡£

£¨4£©Î¸³¦µÀ£ºÒÈÏÙÑ×£¬£¬£¬ÉàÑ×£¬£¬£¬Ïû»¯²»Á¼¡£¡£¡£¡£¡£

£¨5£©ÑªÒºÑ§£ºÑªÐ飬£¬£¬°üÀ¨ÔÙÉúÕϰ­ÐÔѪÐéºÍÈÜѪÐÔѪÐ飻£»£»°×ϸ°ûÓëÁ£Ï¸°ûïÔÌ­£¬£¬£¬Óз¢ÈÈ¡¢º®Õ½¡£¡£¡£¡£¡£

£¨6£©¸Îµ¨£º»Æð㣬£¬£¬¸ÎÑ×£¬£¬£¬°üÀ¨¸ÎÔà»·ËÀµÄÓÐÊý²¡Àý£¬£¬£¬µ¨Ö­ÓÙ»ý¡£¡£¡£¡£¡£

£¨7´úл£ºÖ¢×´ÐÔµÍÄÆÑªÖ¢¡£¡£¡£¡£¡£

£¨8£©¼¡Èâ¹Ç·£º¼¡Í´£¬£¬£¬¼¡ÎÞÁ¦¡£¡£¡£¡£¡£

£¨9£©Éñ¾­/¾«Éñ£º¹²¼Ãʧµ÷£¬£¬£¬Òâʶģºý£¬£¬£¬ÒÖÓô£¬£¬£¬Ö÷Òª£¬£¬£¬ÊÈ˯¡£¡£¡£¡£¡£

£¨10£©ºôÎüµÀ£ºÖ§Æø¹Ü¾·ÂΣ¬£¬£¬ÊÈËáÐÔÁ£Ï¸°ûÔö¶àÐÔ·ÎÑ×£¬£¬£¬±ÇÑס£¡£¡£¡£¡£

£¨11£©ÌØÊâ¸Ðµ³£ºÊÓÁ¦Ä£ºý¡£¡£¡£¡£¡£

£¨12£©ÃÚÄòÉúֳϵ£ºÑôðô¡£¡£¡£¡£¡£

£¨13£©ÓëʹÓÃÆäËûѪ¹ÜÖ÷ÒªËØ×ª»»Ã¸£¨ACE£©ÒÖÖÆ¼ÁʱһÑù£¬£¬£¬Ôø±¨¸æ±¬·¢Ò»ÖÖ¾ßÓÐÏÂÁÐÌåÏÖµÄ×ÛºÏÕ÷£º·¢ÈÈ¡¢¼¡Í´¡¢ÊàŦʹ¡¢¼äÖÊÐÔÉöÑס¢Ñª¹ÜÑס¢Æ¤Õî»òÆäËûƤ·ô²¡ÌåÏÖ¡¢ÊÈËáÐÔÁ£Ï¸°ûÔö¶àºÍѪ³Á£¨ESR£©¿ªÉý¸ß¡£¡£¡£¡£¡£

£¨14£©Ì¥¶ù/ÐÂÉú¶ù·¢²¡ÂʺÍéæÃüÂÊ£ºÈÑÉïÆÚÎÊʹÓÃACEÒÖÖÆ¼ÁÔøÒýÆðÌ¥¶ùºÍÐÂÉú¶ùË𺦣¬£¬£¬°üÀ¨µÍѪѹ¡¢ÐÂÉú¶ù­¹Ç·¢Óý²»È«¡¢ÎÞÄò¡¢¿ÉÄæÐÔ»ò²»¿ÉÄæÐÔÉö¹¦Ð§Ë¥½ßºÍéæÃü¡£¡£¡£¡£¡£Ò²Ôø±¨¸æ¹ýÑòË®¹ýÉÙ£¬£¬£¬¾ÝÍÆ²â£¬£¬£¬ÊÇÌ¥¶ùÉö¹¦Ð§Ï½µËùÖ£»£»£»ÕâÖÖÇéÐÎϵÄÑòË®¹ýÉÙÓëÌ¥¶ùÖ«ÌåÂÎËõ¡¢Â­Ã沿»ûÐμ°·Î·¢Óý²»È«Ïà¹Ø¡£¡£¡£¡£¡£Ò²Ôø±¨¸æ¹ýÔç²ú¡¢¹¬ÄÚÉú³¤»ºÂýºÍ¶¯Âöµ¼¹Üδ±Õ¡£¡£¡£¡£¡£×î½üµÄÎÄÏ×±¨¸æ£¬£¬£¬µ±Ò©Îï̻¶½öÏÞÓÚÔçÔÐʱ´ú£¬£¬£¬Ôø±¬·¢¹ýÔç²ú¶¯¡¢Âöµ¼¹ÜÖì±Õ¼°ÆäËûÐÄÔà½á¹¹»ûÐΣ¬£¬£¬ÒÔ¼°Éñ¾­ÏµÍ³»ûÐΡ£¡£¡£¡£¡£

3.ʵÑéÊÒ¼ì²é

£¨1£©ÑªÇåµç½âÖÊ£º¸ß¼ØÑªÖ¢£¬£¬£¬¿ÉÄܻᱬ·¢Ñª¼ØÇá¶ÈÉý¸ß£¬£¬£¬ÓÈÆäÊǰéÉö¹¦Ð§Ë𺦵ϼÕß¡£¡£¡£¡£¡£

£¨2£©µÍÄÆÑªÖ¢£ºÌØÊâÊǽÓÊܵÍÄÆÉÅʳ»òÕߺϲ¢Ê¹ÓÃÀûÄò¼ÁµÄ»¼Õß¡£¡£¡£¡£¡£

£¨3£©ÄòËØµª£¨BUN£©/ѪÇ弡ôû£ºBUN»òѪÇ弡ôûŨ¶ÈÒ»¹ýÐÔÉý¸ß£¬£¬£¬ÌØÊâÊÇÈÝÁ¿»òÑκĽߵϼÕߣ¬£¬£¬»ò°éÉöѪ¹ÜÐÔ¸ßѪѹµÄ»¼Õß¡£¡£¡£¡£¡£³£ÎªÔÝʱÐÔ£¬£¬£¬ÔÚÓÐÉö²¡»òºã¾ÃÑÏÖØ¸ßѪѹµÄ»¼ÕßÔÚѪѹѸËÙÏÂÕóºóÒ×·ºÆð¡£¡£¡£¡£¡£ºã¾Ã»òÏÔÖøÉý¸ßµÄѪѹѸËÙϽµ»áµ¼ÖÂÉöСÇòÂ˹ýÂʽµµÍ£¬£¬£¬¼Ì¶øµ¼°ÜBUN»òѪÇ弡ôûˮƽÉý¸ß¡£¡£¡£¡£¡£

£¨4£©ÑªÒºÑ§£ºÓÐANAÑôÐÔ±¨µÀ¡£¡£¡£¡£¡£

£¨5£©¸Î¹¦Ð§¼ì²é£ºÑªÇå¸ÎÔàת°±Ã¸¡¢¼îÐÔÁ×ËáøºÍѪÇ嵨ºìËØÉý¸ß¡£¡£¡£¡£¡£

¡¾½û¼É¡¿

1.¶Ô¿¨ÍÐÌæÀû»òÈκÎÒ»ÖÖ¸¨ÁÏ£¬£¬£¬»òÆäËûACEÒÖÖÆ¼Á¹ýÃôÕß½ûÓñ¾Æ·£¨Àý£ºÔÚÆäËûÈκÎÒ»ÖÖACEÒÖÖÆ¼ÁÖÎÁÆÆÚÎÊÔø±¬·¢Ñª¹ÜÐÔË®Ö׵ϼÕߣ©¡£¡£¡£¡£¡£

2.ÈÑÉïÖÐÍíÆÚ½ûÓñ¾Æ·¡£¡£¡£¡£¡£Ò»µ©·¢Ã÷ÓÐÉí£¬£¬£¬Ó¦Á¬Ã¦Í£Óñ¾Æ·¡£¡£¡£¡£¡£

3.ÔÚÌÇÄò²¡»òÉö¹¦Ð§Ë𺦣¨GFR<60mL/min/1.73©O£©µÄ»¼ÕßÖУ¬£¬£¬Õ¥È¡ACEÒÖÖÆ¼ÁÓ뺬Óа¢Àû¼ªÂصÄÒ©ÎïÊÊÓᣡ£¡£¡£¡£

¡¾×¢ÖØÊÂÏî¡¿

θÖÐʳÎï¿Éʹ±¾Æ·ÎüÊÕïÔÌ­30-40%£¬£¬£¬¹ÊÒËÔÚ²Íǰ1Сʱ·þÒ©¡£¡£¡£¡£¡£

1.Àà¹ýÃô·´Ó³ºÍ¿ÉÄÜÏà¹Ø·´Ó³

¿ÉÄÜÓÉÓÚACEÒÖÖÆ¼ÁÓ°ÏìÀ໨ÉúËá¼°¶àëÄ£¨°üÀ¨ÄÚÔ´ÐԵĻº¼¤ëÄ£©µÄ´úл£¬£¬£¬ÒÔÊǽÓÊÜACEÒÖÖÆ¼Ã£¨°üÀ¨¿¨ÍÐÆÕÀû£©µÄÓÞÕß¿ÉÄܻᱬ·¢Öݪֲ»Á¼·´Ó³£¬£¬£¬ÆäÖаüÀ¨Ò»Ð©ÑÏÖØ²»Á¼·´Ó³¡£¡£¡£¡£¡£

£¨1£©Í·Ã沿Ѫ¹ÜÐÔË®Ö×£ºÔøÓнÓÊÜACEÒÖÖÆ¼Á£¨°üÀ¨¿¨ÍÐÆÕÀû£©ÖÎÁƵϼÕß±¬·¢Ñª¹ÜÐÔË®Ö׵ġ£¡£¡£¡£¡£±¬·¢Ë®Ö׵IJ¿Î»°üÀ¨ËÄÖ«¡¢Ã沿£¬£¬£¬¿Ú´½¡¢Õ³Ä¤¡¢Éà¡¢ÉùÃźÍÑÊºí¡£¡£¡£¡£¡£ÈôÊÇѪ¹ÜÐÔË®Ö×ÀÛ¼°Éà¡¢ÉùÃźÍÑʺí£¬£¬£¬Ôò¿ÉÄܻᱬ·¢ÖÂÃüµÄÆøµÀÛÕ±Õ¡£¡£¡£¡£¡£Òò´ËÓ¦¸ÃÁ¬Ã¦¸øÓè½ôÆÈÖÎÁÆ£¬£¬£¬ÖÎÁÆÒªÁì°üÀ¨µ«²»¾ÖÏÞÓÚÍ£Óñ¾Æ·£¬£¬£¬Ñ¸ËÙÆ¤ÏÂ×¢Éä1£º1000ÉöÉÏÏÙËØ0.3-05ml¡£¡£¡£¡£¡£ÀÛ¼°Ã沿¡¢¿ÚǻճĤ¡¢¿Ú´½ºÍËÄÖ«µÄË®Ö×ͨ³£ÔÚÍ£Óÿ¨ÍÐÆÕÀûºó¼´¿ÉÏûÊÅ£»£»£»½öÉÙÊý²¡ÀýÐèÒª½ÓÊÜҽѧÖÎÁÆ¡£¡£¡£¡£¡£

£¨2£©³¦ÄÚѪ¹ÜÐÔË®Ö×£ºÓÐÊýÇéÐÎÏ£¬£¬£¬½ÓÊÜACEÒÖÖÆ¼ÁÖÎÁƵϼÕ߻ᱬ·¢³¦ÄÚѪ¹ÜÐÔË®Ö×£¬£¬£¬ÕâЩ»¼ÕßµÄÌåÏÖΪ¸¹Í´£¨ÓлòÎÞ¶ñÐÄ»òÍÂÄæ£©£»£»£»ÔÚijЩÇéÐÎÏ£¬£¬£¬¼ÈÍùÎÞÃæ²¿Ñª¹ÜÐÔË®Ö׵IJ¡Ê·£¬£¬£¬C-1õ¥Ã¸Ë®Æ½Õý³££¬£¬£¬Æ¾Ö¤¸¹²¿CTɨÃè»òB³¬Õï¶Ï£¬£¬£¬»òÊÖÊõÕï¶Ï£¬£¬£¬Í£ÓÃACEÒÖÖÆ¼ÁºóÖ¢×´ÏûÊÅ¡£¡£¡£¡£¡£½ÓÊÜACEÒÖÖÆ¼ÁÖÎÁƵϼÕß·ºÆð¸¹²¿ÌÛÍ´£¬£¬£¬ÅбðÕï¶ÏÖÐÓ¦°üÀ¨³¦ÄÚѪ¹ÜÐÔË®Öס£¡£¡£¡£¡£

£¨3£©ÍÑÃôÆÚͬµÄÀà¹ýÃô·´Ó³£º2Àýͬʱ½ÓÊÜÁíÒ»ÖÖACEÒÖÖÆ¼Á£¨ÒÀÄÇÆÕÀû£©µÄ»¼ÕßÔÚ¸øÓèĤ³áÄ¿¶¾ÒºÍÑÃôÖÎÁÆÊ±£¬£¬£¬±¬·¢ÁËÀÛ¼°ÉúÃüµÄÀà¹ýÃô·´Ó³¡£¡£¡£¡£¡£ÕâЩ·´Ó³ÔÚÔÝÍ£¸øÓèACEÒÖÖÆ¼ÁºóÏûÊÅ£¬£¬£¬µ«ÔÚÎÞÒâÖ®ÖÐÔÙÒý·¢Ê±ÔٴηºÆð¡£¡£¡£¡£¡£Òò´Ë£¬£¬£¬ÔÚ½ÓÊÜACEÒÖÖÆ¼ÁÖÎÁƵϼÕßÖУ¬£¬£¬¾ÙÐÐÕâЩÍÑÃô²Ù×÷Ó¦¼á³ÖÉóÉ÷¡£¡£¡£¡£¡£

£¨4£©¸ßͨÁ¿Í¸Îö/Ö¬ÂѰ×Îü¸½Í¸ÎöĤ̻¶ʱ´úµÄÀà¹ýÃô·´Ó³£ºÔÚ½ÓÊܸßͨÁ¿Í¸ÎöĤ¾ÙÐÐѪҺ͸ÎöÇҺϲ¢Ê¹ÓÃACEÒÖÖÆµÄ»¼ÕßÖУ¬£¬£¬Ôø±¬·¢Àà¹ýÃô·´Ó³¡£¡£¡£¡£¡£ÔÚ½ÓÄÉÁòËáÆÏ¾ÛÌÇÎü¸½µÍÃܶÈÖ¬ÂѰ׵Ä͸Îö»¼ÕßÖУ¬£¬£¬Ò²Ôø±¨¸æ¹ýÀà¹ýÃô·´Ó³¡£¡£¡£¡£¡£¹ØÓÚÕâЩ»¼Õߣ¬£¬£¬Ó¦Ë¼Á¿Ê¹ÓÃÆäËûÀàÐ͵Ä͸ÎöĤ£¬£¬£¬»òʹÓÃÆäËûÖÖÀàµÄÒ©Îï¡£¡£¡£¡£¡£

2.ÖÐÐÔÁ£Ï¸°ûïÔÌ­/Á£Ï¸°ûȱ·¦

ʹÓÿ¨ÍÐÆÕÀûÔøÒýÆð¹ÇËæÔöÉú²»Á¼£¬£¬£¬´Ó¶øµ¼ÖÂÖÐÐÔÁ£Ï¸°ûȱ·¦£¨<1000/mm?£©£¬£¬£¬ÆäÖÐÔ¼Ò»°ë»¼Õß±¬·¢ÁËÈ«Éí»ò¿ÚǻѬȾ£¬£¬£¬»òÕßÁ£Ï¸°ûȱ·¦Ö¢µÄÆäËüÖ¢×´ÌØÕ÷¡£¡£¡£¡£¡£

ÖÐÐÔÁ£Ï¸°ûïÔÌ­µÄ±¬·¢·çÏÕÈ¡¾öÓÚ»¼ÕßµÄÁÙ´²×´Ì¬£º

Éö¹¦Ð§Õý³££¨Crs£¼1.6mg/dLÇÒ²»°éÓнºÔ­Ñª¹Ü²¡£¡£¡£¡£¡£©µÄ¸ßѪѹ»¼ÕßÖУ¬£¬£¬ÖÐÐÔÁ£Ï¸°ûïÔÌ­ºÜÓÐÊý£¨£¼0.02%£©¡£¡£¡£¡£¡£

ÔÚÓÐÒ»¶¨Ë®Æ½µÄÉö¹¦Ð§Ë𺦣¨ÑªÇ弡ôûÖÁÉÙ1.6mg/dl£©ÇÒ²»°éÓнºÔ­Ñª¹Ü²¡µÄ»¼ÕßÖУ¬£¬£¬ÁÙ´²ÊµÑéÏÔʾ£¬£¬£¬ÖÐÐÔÁ£Ï¸°ûïÔÌ­µÄ·çÏÕԼΪ0.2%¡£¡£¡£¡£¡£±È´¿´âÐÔ¸ßѪѹ»¼ÕßµÄÏìÓ¦±¬·¢Âʸß15±¶¡£¡£¡£¡£¡£ÕâЩ»¼ÕßÖðÈÕ·þÓõĿ¨ÍÐÆÕÀû¼ÁÁ¿Ïà¶Ô½Ï¸ß£¬£¬£¬ÓÈÆäӦ˼Á¿µ½ÆäÉö¹¦Ð§µÄ¼õÍË¡£¡£¡£¡£¡£¶ÔÉö¹¦Ð§Ë¥½ßµÄ»¼Õߣ¬£¬£¬±ðàÑßÊ´¼Ó뿨ÍÐÆÕÀûÊÊÓÃÔø±¬·¢ÖÐÐÔÁ£Ï¸°ûïÔÌ­£¬£¬£¬¹ÊÓ¦ÔöǿСÐÄ¡£¡£¡£¡£¡£

ÔÚÉö¹¦Ð§Ë𺦰éÓйɽºÔ­Ñª¹Ü²¡£¡£¡£¡£¡£¨ÀýÈ磬£¬£¬ÏµÍ³ÐÔºì°ßÀÇ´¯£¬£¬£¬Ó²Æ¤²¡£¡£¡£¡£¡£©µÄ»¼ÕßÖУ¬£¬£¬ÁÙ´²ÊÔÑéÏÔʾ£¬£¬£¬ÖÐÐÔÁ£Ï¸°ûïÔÌ­µÄ±¬·¢ÂÊΪ3.7%¡£¡£¡£¡£¡£ÖÐÐÔÁ£Ï¸°ûïÔÌ­Óë¼ÁÁ¿Ïà¹Ø£¬£¬£¬Í¨³£ÔÚ¿¨ÍÐÆÕÀûÖÎÁÆ×îÏȺó3-12ÖܳöÀí£¬£¬£¬ÒÔ10-30Ìì×îÏÔÖø£¬£¬£¬Ò»°ãÀ´Ëµ£¬£¬£¬ÖÐÐÔÁ£Ï¸°ûÔÚ¿¨ÍÐÆÕÀûÍ£ÓÃÔ¼2Öܺó»Ö¸´Õý³£¡£¡£¡£¡£¡£Ö»ÓÐÁÙ´²²¡ÇéÖØ´óµÄ»¼Õ߲Ż᷺ÆðÑÏÖØÑ¬È¾¡£¡£¡£¡£¡£Ô¼13%µÄÖÐÐÔÁ£Ï¸°ûïÔÌ­²¡Àý±¬·¢éæÃü£¬£¬£¬µ«ÏÕЩËùÓÐéæÃü²¡Àý¶¼±¬·¢ÔÚÓÐÑÏÖØ¼²²¡µÄ»¼ÕßÖУ¬£¬£¬ÓнºÔ­Ñª¹Ü²¡¡¢Éö¹¦Ð§Ë¥½ß¡¢ÐÄÁ¦Ë¥½ß»ò½ÓÊÜÃâÒßÒÖÖÆ¼ÁÖÎÁÆ£¬£¬£¬»òÒÔÉÏÖØ´óÒòËØ²¢´æµÄ»¼Õß¡£¡£¡£¡£¡£

ÔÚ¶Ô¸ßѪѹ»òÐÄÁ¦Ë¥½ß»¼Õß¾ÙÐÐÆÀ¼Ûʱ£¬£¬£¬¶¼Ó¦¸Ãͬʱ¾ÙÐÐÉö¹¦Ð§ÆÀ¼Û¡£¡£¡£¡£¡£

ÈôÊÇÉö¹¦Ð§Ë𺦵ϼÕß·þÓÿ¨ÍÐÆÕÀû£¬£¬£¬Ó¦¸ÃÔÚÖÎÁÆ×îÏÈǰ¾ÙÐа×ϸ°û¼ÆÊý¼°·ÖÀà¼ÆÊý¼ì²é£¬£¬£¬×î³õ3¸öÔÂÿ2ÖÜÒ»´Î£¬£¬£¬ÒÔºó°´ÆÚ¼ì²é£¬£¬£¬ÓÐѬȾ¼£ÏóÊ±Ëæ¼´¼ì²é¡£¡£¡£¡£¡£

ÈôÊÇ»¼ÕßÓнºÔ­ÂѰײ¡£¡£¡£¡£¡£¨ÈçÑÏÖØÏµÍ³ÐÔºì°ßÀÇ´¯£©£¬£¬£¬»òÕýÔÚ·þÓÃÆäËûÒÑÖª¶Ô°×ϸ°û»òÃâÒßÓ¦´ðÓÐÓ°ÏìµÄµÄÎ£¬£¬ÌØÊâÊǵ±Éö¹¦Ð§ÊÜËðʱ£¬£¬£¬´Ëʱ°×ϸ°û»òÁ£Ï¸°ûïÔÌ­µÄʱ»úÔö¶à£¬£¬£¬±ØÐèÔÚÆÀ¹À»ñÒæºÍ·çÏÕºó²Å»ªÊ¹Óÿ¨ÍÐÆÕÀû£¬£¬£¬×îÏÈÓÃÒ©ºóÓ¦ÉóÉ÷¡£¡£¡£¡£¡£

Ò»°ãÇéÐÎÏ£¬£¬£¬ÔÚÍ£Óñ¾Æ·¼°ÆäËûÒ©Îïͨ³£¶¼»áʹ°×ϸ°û¼ÆÊýѸËÙ»Ö¸´Õý³££¬£¬£¬Òò´Ë£¬£¬£¬ÔÚÈ·ÈÏ»¼ÕßÖÐÐÔÁ£Ï¸°ûïÔÌ­£¨ÖÐÐÔÁ£Ï¸°û¼ÆÊý<1000/mm?ºó£¬£¬£¬Ò½ÉúӦͣÓÿ¨ÍÐÌæÀû£¬£¬£¬²¢¶Ô»¼ÕߵIJ¡³ÌÇ×½üËæ·Ã¡£¡£¡£¡£¡£

3.ÂѰ×Äò

³£±¬·¢ÓÚÖÎÁÆ×îÏÈ8¸öÔÂÄÚ¡£¡£¡£¡£¡£

½ÓÊÜ¿¨ÍÐÆÕÀûƬÖÎÁƵϼÕßÖУ¬£¬£¬Ô¼0.7%¿É¼ûÄòÂѰ××ÜÁ¿Áè¼Ý1g/Ìì¡£¡£¡£¡£¡£ÆäÖУ¬£¬£¬Ô¼90%¼ÈÍùÓÐÉöÔಡµÄÖ¤¾Ý£¬£¬£¬»ò¿¨ÍÐÆÕÀûÖÎÁƼÁÁ¿Ïà¶Ô½Ï¸ß£¨Áè¼Ý150mg/Ì죩£¬£¬£¬»òÕâÁ½¸öÒòËØ²¢´æ¡£¡£¡£¡£¡£ÓÐÂѰ×ÄòµÄ»¼ÕßÖУ¬£¬£¬Ô¼Äª1/5·ºÆðÉö²¡×ÛºÏÖ¢£¬£¬£¬´ó¶¼ÇéÐÎÏ£¬£¬£¬ÎÞÂÛÊÇ·ñ¼ÌÐø·þÓÿ¨ÍÐÆÕÀûƬ£¬£¬£¬´ó´ó¶¼²¡ÀýÂѰ×ÄòÔÚ6¸öÔÂÄÚ»áïÔÌ­¡£¡£¡£¡£¡£Éö¹¦Ð§Ö¸±ê£¨ÈçÄòËØµªºÍѪÇ弡ôû£©ºÜÉÙÊÜÓ°Ï죬£¬£¬ÁƳ̲»ÊÜÓ°Ïì¡£¡£¡£¡£¡£

ÈôÊÇ»¼Õß¼ÈÍùÓÐÉöÔಡ£¬£¬£¬»ò¿¨ÍÐÆÕÀûÒ©µÄ¼ÁÁ¿Áè¼Ý150mg/Ì죬£¬£¬Ó¦ÔÚÖÎÁÆ×îÏÈǰ¹À²âÄòÂѰף¨Ê״γ¿ÄòÊÔÖ½·¨¼ì²â£©£¬£¬£¬²¢°´ÆÚ¼ì²âÄòÂѰ×£¬£¬£¬½¨ÒéÄòÂѰ׼ì²éÿÔÂÒ»´Î¡£¡£¡£¡£¡£ÈôÊÇʹÓñ¾Æ·Ê±ÂѰ×ÄòÖð½¥¼ÓÖØ£¬£¬£¬Ó¦ÔÝͣʹÓñ¾Æ·»òïÔÌ­ÓÃÁ¿¡£¡£¡£¡£¡£

4.µÍѪѹ

¸ßѪѹ»¼ÕßÓÐÊý±¬·¢Ì«¹ýµÍѪѹ£¬£¬£¬µ«ÑÎ/ÈÝÁ¿ºÄ½ß»¼Õߣ¨ÀýÈçÑÏ¿áÒûʳÏÞÖÆÄÆÑλò½ÓÊÜ´ó×ÚÀûÔ­¼ÁÖÎÁƵÄÓÞÕߣ©¡¢ÐÄÁ¦Ë¥½ß»¼Õß»ò¾ÙÐÐÉöÔà͸ÎöµÄÓÞÕß·þÓÿ¨ÍÐÆÕÀûºó¿ÉÄܻᱬ·¢µÍѪѹ¡£¡£¡£¡£¡£¶ÌÔÝÐÔµÍѪѹ·´Ó³²»ÊǽøÒ»²½ÓÃÒ©µÄ½û¼ÉÖ¢£¬£¬£¬Ò»µ©ÑªÑ¹Éý¸ßºó£¬£¬£¬¼´¿É¼ÌÐøÓÃÒ©¡£¡£¡£¡£¡£

ÐÄÁ¦Ë¥½ßµÄ»¼ÕßѪѹͨ³£Õý³£»£»£»òÆ«µÍ£¬£¬£¬´ËÀ໼Õß·þÓÿ¨ÍÐÆÕÀûºó¿É³ö¹ÛÒ»¹ýÐÔµÄѪѹ½µµÍ£¬£¬£¬ÆäÖÐÆ½¾ùѪѹµÄϽµË®Æ½Áè¼Ý20%µÄ»¼ÕßÔ¼Õ¼ÐÄÁ¦Ë¥½ß»¼Õß×ÜÊýµÄÒ»°ë¡£¡£¡£¡£¡£ÕâÖÖÒ»¹ýÐÔµÍѪѹ¶à¼ûÓÚÊ×¼ÁʹÓÿ¨ÍÐÆÕÀûºó£¬£¬£¬Í¨³£»£»£»¼Õß¿ÉÓÅÒìÄÍÊÜ£¬£¬£¬²»»áÒýÆðÖ¢×´£¬£¬£¬»ò½öÒýÆð¶ÌÔݵġ¢ÉÔ΢µÄÍ·ÔΣ¬£¬£¬µ«ÈÔÓÐÉÙÉÙÊýµÄ»¼Õß±¬·¢¹ýÐÄÂÊʧ³£»£»£»ò´«µ¼×èÖÍ¡£¡£¡£¡£¡£Ô¼ÓÐ3.6%µÄÐÄÁ¦Ë¥½ß»¼ÕßÓÉÓÚ±¬·¢µÍѪѹ¶øÍ£Óÿ¨ÍÐÆÕÀû¡£¡£¡£¡£¡£

ÓÉÓÚ´ËÀ໼Õß·þÓÿ¨ÍÐÆÕÀûºóÓпÉÄܻᵼÖÂѪѹ½µµÍ£¬£¬£¬Òò´ËÔÚÊ״νÓÊÜ¿¨ÍÐÆÕÀûÖÎÁÆÊ±£¬£¬£¬Ó¦¶ÔÆä¾ÙÐÐÇ×½üµÄҽѧ¼à²â¡£¡£¡£¡£¡£

ÒÔ6.25mg»ò12.5mg£¨ÖðÈÕ2´Î»ò3´Î£©µÄ³õʼ¼ÁÁ¿·þÓÿ¨ÍÐÆÕÀûƬʱ£¬£¬£¬¿ÉÒÔ½«µÍѪѹ·´Ó³½µÖÁ×îµÍ¡£¡£¡£¡£¡£ÔÚ³õʼ¼ÁÁ¿ºó£¬£¬£¬Ó¦ÖÁÉÙ¾ÙÐÐ1СʱµÄҽѧ¼à²â£¬£¬£¬ÖÎÁÆ×îÏȺóµÄ×î³õ2ÖÜÄÚ£¬£¬£¬ÒÔ¼°¿¨ÍÐÆÕÀûµ¥ÓûòÓëÀûÄò¼ÁÊÊÓõļÁÁ¿ÔöÌíʱ£¬£¬£¬Ó¦Ç×½üËæ·Ã»¼Õß¡£¡£¡£¡£¡£

±¬·¢µÍѪѹ×Ô¼º²¢²»ÊÇÍ£Óÿ¨ÍÐÆÕÀûµÄÔ­Òò¡£¡£¡£¡£¡£ÐÄÁ¦Ë¥½ß»¼ÕßÔÚÊ״νÓÊÜ¿¨ÍÐÆÕÀûÖÎÁÆÊ±£¬£¬£¬ÆäÊæÕÅѹͨ³£¶¼»á·ºÆðÒ»¶¨Ë®Æ½µÄ½µµÍ£¬£¬£¬²¢ÇÒÕâÖÖÊæÕÅѹµÄ½µµÍ¶Ô»¼ÕßÊÇÓÐÀûµÄ¡£¡£¡£¡£¡£ÖÎÁÆÔçÆÚµÄϽµ·ù¶È×î´ó£¬£¬£¬1-2ÖÜÄÚÎȹÌ£¬£¬£¬Í¨³£ÔÚ2¸öÔÂÄÚ»Ö¸´µ½ÖÎÁÆÇ°Ë®Æ½£¬£¬£¬²»°éÓÐÁÆÐ§µÄϽµ¡£¡£¡£¡£¡£

5.Ì¥¶ù/ÐÂÉú¶ù·¢²¡ÂʺÍéæÃüÂÊ

ÔÚÈÑÉïÆÚÓÃҩʱ£¬£¬£¬ACEÒÖÖÆ¼Á¿ÉΣº¦Ì¥¶ù·¢Óý£¬£¬£¬ÉõÖÁÒýÆðÌ¥¶ùéæÃü¡£¡£¡£¡£¡£ÈôÊÇ·¢Ã÷»¼ÕßÒÑÈÑÉ£¬£¬Ó¦¾¡¿ìÍ£Óñ¾Æ·¡£¡£¡£¡£¡£

6.¸Î¹¦Ð§Ë¥½ß

¹ØÓڸι¦Ð§Ë¥½ß£¬£¬£¬¾Ý±¨µÀÓÃACEÒÖÖÆ¼ÁÖÎÁÆÊ±£¬£¬£¬ÓÐÉÙÉÙÊýÌåÏÖΪµ¨Ö­ÐÔ»ÆðãºÍ¸Îϸ°ûËðº¦Õߺͣ¨ÓÐʱ£©ÖÂËÀ²¡Àý£¬£¬£¬¸ÃÖ¢×´µÄ»úÖÆÉв»ÇåÎú¡£¡£¡£¡£¡£·ºÆð»Æðã»ò¸ÎøÏÔ×ÅÉý¸ßµÄ»¼ÕßÓ¦¸Ã×èÖ¹ÓÃACEÒÖÖÆ¼ÁÖÎÁÆ£¬£¬£¬²¢½ÓÊÜÊʵ±µÄÒ½Ñ§Ëæ·Ã¡£¡£¡£¡£¡£

7.ÉöËØ-Ѫ¹ÜÖ÷ÒªËØ-È©¹Ìͪϵͳ£¨RAAS£©µÄË«ÖØ×è¶Ï

ACEÒÖÖÆ¼Á¡¢Ñª¹ÜÖ÷ÒªËØIIÊÜÐÝ×èÖͼÁ»ò°¢Àû¼ªÂصÄÊÊÓûáÔöÌíµÍѪѹ¡¢¸ß¼ØÑªÖ¢¼°Éö¹¦Ð§Ï½µ£¨°üÀ¨¼±ÐÔÉö¹¦Ð§Ë¥½ß£©µÄ·çÏÕ¡£¡£¡£¡£¡£Òò´Ë£¬£¬£¬²»½¨Òéͨ¹ýÊÊÓÃACEÒÖÖÆ¼Á¡¢Ñª¹ÜÖ÷ÒªËØIIÊÜÌå×èÖͼÁ»ò°¢Àû¼ª²Ö¶ÔRAAS¾ÙÐÐË«ÖØ×è¶Ï¡£¡£¡£¡£¡£

8.Éö¹¦Ð§Ëðº¦

¸ßѪѹ£ººÏ²¢ÉöÔ༲²¡£¬£¬£¬ÓÈÆäÊÇÓÐÖØ¶ÈÉö¶¯ÂöÏÁÕ­µÄ»¼Õߣ¬£¬£¬ÔÚʹÓÿ¨ÍÐÆÕÀû¾ÙÐнµÑ¹ÖÎÁƺ󣬣¬£¬»á·ºÆðÄòËØµªºÍѪÇ弡ôûµÄÉý¸ß£¬£¬£¬ÕâЩÉý¸ßÒ»°ãÔÚÍ£Ò©ºó¿ÉÒÔÄæ×ª¡£¡£¡£¡£¡£´Ëʱ¿ÉÄÜÐèÒª½µµÍ¿¨ÍÐÆÕÀûµÄ¼ÁÁ¿ºÍ/»òÍ£ÓÃÀûÄò¼Á£¬£¬£¬ÐëҪʱͣÓñ¾Æ·¡£¡£¡£¡£¡£µ«¶Ô²¿·Ö»¼Õß¶øÑÔ£¬£¬£¬¼á³Ö¸»×ãµÄÉöÔà¹àÁ÷ͬʱ½«ÑªÑ¹»Ö¸´µ½Õý³£Ë®Æ½ÏÕЩ²»¿ÉÄÜ¡£¡£¡£¡£¡£

ÐÄÁ¦Ë¥½ß£º½ÓÊÜ¿¨ÍÐÆÕÀûºã¾ÃÖÎÁƵϼÕߣ¬£¬£¬Ô¼20%µÄ»¼ÕßÄòËØµªºÍѪÇ弡ôûÎȹÌÉý¸ß£¬£¬£¬½ÏÕý³£Öµ»ò»ùÏßÖµ¸ß20%¡£¡£¡£¡£¡£Ö»ÓÐȱ·¦5%µÄ»¼Õߣ¨Í¨³£ÊǼÈÍù±£´æÖضÈÉöÔಡµÄ»¼Õߣ©ÓÉÓÚ¼¡ôû¾ÙÐÐÐÔÉý¸ß¶øÐèÒªÖÕÖ¹±¾Æ·ÖÎÁÆ¡£¡£¡£¡£¡£ËæºóµÄ¸ÄÉÆºÜ¿ÉÄÜÈ¡¾öÓÚ»¼ÕߵĻù´¡ÉöÔ༲²¡µÄÑÏÖØË®Æ½¡£¡£¡£¡£¡£

ÓÉÓÚ¿¨ÍÐÆÕÀûÖ÷Ҫͨ¹ýÉöÔàÉøÍ¸£¬£¬£¬Òò´ËÔÚÉö¹¦Ð§Ë𺦵ϼÕßÖУ¬£¬£¬¿¨ÍÐÆÕÀûÉøÍ¸ÂÊϽµ£¬£¬£¬Ó¦½ÓÄɽÏС¼ÁÁ¿³É½ÏµÍµÄ¸øÒ©ÆµÂÊ£¬£¬£¬Ã¿´Î½ÓÄɽÏСµÄÔö·ù£¬£¬£¬»ºÂýµÝÔö£¨1ÖÜ»ò2ÖÜÒ»´Î£©¡£¡£¡£¡£¡£

Éö¹¦Ð§Ë𺦻¼Õߣ¬£¬£¬ÈôÐëͬʱÓÃÀûÄòÒ©£¬£¬£¬½¨ËµÓÃß»ÈûÃ×¶ø²»±ØàçàºÀ࣬£¬£¬ÑªÄòËØµªºÍ¼¡ôûÔö¸ßʱ£¬£¬£¬½«±¾Æ·¼õÁ¿»òͬʱͣÓÃÀûÄò¼Á¡£¡£¡£¡£¡£

9.¸ß¼ØÑªÖ¢

½ÓÊÜACEÒÖÖÆ¼Á£¨°üÀ¨¿¨ÍÐÆÕÀû£©ÖÎÁƵÄһЩ»¼ÕßÖУ¬£¬£¬Ôø·¢Ã÷Ѫ¼ØÉý¸ß¡£¡£¡£¡£¡£½ÓÊÜACEÒÖÖÆ¼ÁÖÎÁÆÊ±£¬£¬£¬Óб¬·¢¸ß¼ØÑªÖ¢µÄ·çÏյϼÕß°üÀ¨Éö¹¦Ð§Ë𺦡¢ÌÇÄò²¡»¼Õß¡¢ºÏ²¢Ê¹Óñ£¼ØÀûÄò¼Á¡¢²¹¼Ø¼Á¡¢»òº¬¼ØµÄÑÎÌæ»»Îï»òÕý·þÓÃÆäËû»áÒýÆðѪ¼ØÉý¸ßÒ©ÎïµÄ»¼Õß¡£¡£¡£¡£¡£Óë±£¼ØÀûÄò¼ÁÊÊÓÃʱÓÈӦע֨¼ì²éѪ¼Ø¡£¡£¡£¡£¡£

10.¿ÈËÔ

ËùÓÐACEÒÖÖÆ¼ÁµÄʹÓÃÖУ¬£¬£¬¶¼Óл¼Õß±¬·¢¿Ö°Ô±¨µÀ£¬£¬£¬ÕâÖÖ¿ÒòÔµÄÌØÕ÷ÊÇÎÞ̵¡¢³ÖÐøÐÔ£¬£¬£¬Í£Ò©ºó»º½â¡£¡£¡£¡£¡£¿£¿ÒòÔµÄÅбðÕï¶ÏÖУ¬£¬£¬Ó¦°üÀ¨ACEÒÖÖÆ¼ÁÓÕ·¢µÄ¿ÈËÔ¡£¡£¡£¡£¡£

11.ÊÖÊõ/Âé×í

»¼ÕßÔÚ½ÓÊÜ´óÊÖÊõ»ò½ÓÄɿɱ¬·¢µÍѪѹµÄÒ©ÎïʵÑéÂé×íʱ´ú£¬£¬£¬¿¨ÍÐÆÕÀû¿É×è¶Ï´ú³¥ÐÔÉöËØÊÍ·ÅÒýÆðµÄѪ¹ÜÖ÷ÒªËØIIÐγɡ£¡£¡£¡£¡£ÈôÊDZ¬·¢µÍѪѹ£¬£¬£¬²¢ÇÒÒÔΪµÍѪѹÊÇÕâÖÖ»úÖÆµ¼Ö£¬£¬£¬Ôò¿ÉÒÔ½ÓÄÉÀ©ÈݾÙÐоÀÕý¡£¡£¡£¡£¡£

12.ÏÂÁÐÇéÐÎÉ÷Óñ¾Æ·£º

£¨1£©¹ÇËèÒÖÖÆ¡£¡£¡£¡£¡£

£¨2£©ÄÔ¶¯Âö»ò¹Ú×´¶¯Âö¹©ÑªÈ±·¦£¬£¬£¬¿ÉÒòѪѹ½µµÍ¶øÈ±Ñª¼Ó¾ç¡£¡£¡£¡£¡£

£¨3£©Ñª¼Ø¹ý¸ß¡£¡£¡£¡£¡£

£¨4£©Éö¹¦Ð§Ë𺦶øÖÂѪ¼ØÔö¸ß£¬£¬£¬°×ϸ°û¼°Á£Ï¸°ûïÔÌ­£¬£¬£¬²¢Ê¹¿¨ÍÐÆÕÀûäóÁô£¬£¬£¬±ØÐèÔÚÆÀ¹À»ñÒæºÍ·çÏÕºó²Å»ªÊ¹Óᣡ£¡£¡£¡£

£¨5£©×Ô¶¯Âö°êÏÁÕ­£¬£¬£¬´Ëʱ¿ÉÄÜʹ¹Ú×´¶¯Âö¹à×¢ïÔÌ­¡£¡£¡£¡£¡£

£¨6£©×ÔÉíÃâÒßÐÔ¼²²¡ÈçÑÏÖØÏµÍ³ÐÔºì°ßÀÇ´¯£¬£¬£¬´Ëʱ°×ϸ°û»òÁ£Ï¸°ûïÔÌ­µÄʱ»úÔö¶à¡£¡£¡£¡£¡£

£¨7£©ÑÏ¿áÒûʳÏÞÖÆÄÆÑλò¾ÙÐÐ͸ÎöÕߣ¬£¬£¬´ËʱÊ×¼ÁʹÓÿ¨ÍÐÆÕÀû¿ÉÄܱ¬·¢Í»È»¶øÑÏÖØµÄµÍѪѹ¡£¡£¡£¡£¡£

13.ÈôÄÚ°ü×°¿ª·â»òÆÆË𣬣¬£¬ÇëÎðʹÓᣡ£¡£¡£¡£

¡¾Ôи¾¼°²¸ÈéÆÚ¸¾Å®ÓÃÒ©¡¿

1.Ôи¾ÓÃÒ©£º¿¨ÍÐÆÕÀûÄÜͨ¹ýÌ¥ÅÌ£¬£¬£¬Ôи¾Ê¹Óÿ¨ÍÐÆÕÀû¿ÉÓ°ÏìÌ¥¶ù·¢Óý£¬£¬£¬ÒýÆðÌ¥¶ùºÍÐÂÉú¶ùËðº¦ÉõÖÁéæÃü£¬£¬£¬¹ÊÔи¾½ûÓᣡ£¡£¡£¡£

2.²¸ÈéÆÚ¸¾Å®ÓÃÒ©

¿¨ÍÐÆÕÀû¿ÉÅÅÈëÈéÖ­£¬£¬£¬ÈéÖ­¿¨ÍÐÆÕÀûµÄŨ¶ÈԼΪĸÌåѪҺŨ¶ÈµÄ1%¡£¡£¡£¡£¡£ÓÉÓÚ²¸ÈéÆÚµÄÓ¤¶ù·þÓÿ¨ÍÐÆÕÀûºó¿ÉÄܻᱬ·¢ÑÏÖØ²»Á¼·´Ó³£¬£¬£¬ÔÚ×ö³ö×èÖ¹²¸Èé»ò×èÖ¹ÓÃÒ©µÄ¾öÒéʱ£¬£¬£¬Ó¦½«¿¨ÍÐÆÕÀû¶ÔĸÇ×µÄÖ÷ÒªÐÔ˼Á¿ÔÚÄÚ¡£¡£¡£¡£¡£

¡¾¶ùͯÓÃÒ©¡¿

ÔÚ×Ó¹¬ÄÚ̻¶ÓÚ¿¨ÍÐÆÕÀûµÄÐÂÉú¶ù£ºÈôÊDZ¬·¢ÉÙÄò»òµÍѪѹ£¬£¬£¬Ó¦½«×¢ÖØÁ¦¼¯ÖÐÔÚѪѹ֧³ÖºÍÉö¹à×¢ÉÏ¡£¡£¡£¡£¡£×÷ÎªÄæ×ªµÍѪѹºÍ/»òÈ¡´úÒѾ­Òì³£µÄÉö¹¦Ð§µÄÒªÁ죬£¬£¬¿ÉÄÜÐèÒª»»ÑªÁÆ·¨»ò͸Îö¡£¡£¡£¡£¡£Ö»¹ÜѪҺ͸Îö¿ÉÒÔ½«³ÉÈËѪҺѭ»·ÖеĿ¨ÍÐÆÕÀûɨ³ý£¬£¬£¬¿ÉÊÇ£¬£¬£¬ÔÚͨ¹ýѪҺ͸ÎöÖØÐÂÉú¶ù»ò¶ùͯѪҺѭ»·ÖÐɨ³ý¿¨ÍÐÆÕÀûµÄÓÐÓÃÐÔ·½ÃæÉÐÎÞ×ã¹»Êý¾Ý¡£¡£¡£¡£¡£¸¹Ä£Í¸Îö²»¿ÉÓÐÓõØÉ¨³ý¿¨ÍÐÆÕÀû£»£»£»ÉÐÎÞ»»ÑªÖÎÁÆ´ÓÈ«ÉíѪҺѭ»·ÖÐɨ³ý¿¨ÍÐÆÕÀûµÄÐÅÏ¢¡£¡£¡£¡£¡£

¿¨ÍÐÆÕÀûƬÔÚ¶ùͯ»¼ÕßÖеÄÓÐÓÃÐÔºÍÇå¾²ÐÔÉÐ佨Éè¡£¡£¡£¡£¡£ÎÄÏ×Öб¨µÀµÄ¿¨ÍÐÆÕÀûÔÚ¶ùͯÖÐʹÓõÄÂÄÀúÓÐÏÞ£»£»£»»ùÓÚÌåÖØµÄ¼ÁÁ¿Í¨³£Óë³ÉÄêÈËÏ൱»òµÍÓÚºóÕß¡£¡£¡£¡£¡£

Ó¤¶ùÌØÊâÊÇÐÂÉú¶ù¿ÉÄܶԿ¨ÍÐÆÕÀûµÄѪÁ÷¶¯Á¦Ñ§²»Á¼Ó°ÏìÔ½·¢Ãô¸Ð¡£¡£¡£¡£¡£ÔøÓб¨¸æ¿¨ÍÐÆÕÀûƬÔÚÓ¤¶ù¿ÉÒýÆðѪѹ̫¹ý¡¢³¤ÆÚÒÔ¼°ÎÞ·¨Ô¤²âµÄÅãÐÔ×÷ÉÙÄòÓë³é´¤¡£¡£¡£¡£¡£

±¾Æ·½öÏÞÓÃÓÚÆä»¯½µÑ¹ÖÎÁÆÎÞЧµÄ¶ù¿Æ²¡ÈË¡£¡£¡£¡£¡£

¡¾ÍíÄêÓÃÒ©¡¿

ÍíÄêÈ˶ԽµÑ¹×÷ÓýÏÃô¸Ð£¬£¬£¬Ó¦Óñ¾Æ·ÐëµÄ×üõ¼ÁÁ¿¡£¡£¡£¡£¡£

¡¾Ò©ÎïÏ໥×÷Óá¿

1.ÀûÄò¼Á£º½ÓÊÜÀûÄò¼ÁÖÎÁƵϼÕߣ¬£¬£¬ÌØÊâÊǽüÆÚ×îÏȸøÓèÀûÄò¼ÁÖÎÁƵϼÕߣ¬£¬£¬ÒÔ¼°½ÓÊÜÑÏ¿áµÄÏÞÑÎÉÅʳ»ò¾ÙÐÐ͸ÎöµÄ»¼Õߣ¬£¬£¬ÎÞÒâ»á±¬·¢ÑªÑ¹µÄ¼±¾çϽµ£¬£¬£¬Í¨³£¼ûÓÚ¿¨ÍÐÆÕÀûÊ×¼ÁºóµÄµÚÒ»¸öСʱÄÚ¡£¡£¡£¡£¡£

ÓëÀûÄòҩͬʱʹÓÃʹ½µÑ¹×÷ÓÃÔöÇ¿£¬£¬£¬µ«Ó¦×èÖ¹ÒýÆðÑÏÖØµÍѪѹ£¬£¬£¬¹ÊÔ­ÓÃÀûÄòÒ©ÕßÒËÍ£Ò©»ò¼õÁ¿£¬£¬£¬±¾Æ·×îÏÈÓÃС¼ÁÁ¿£¬£¬£¬Öð½¥µ÷½â¼ÁÁ¿¡£¡£¡£¡£¡£

2.ÓÐÀ©Ñª¹Ü»îÐÔµÄÒ©ÎͬÓÿÉÄÜÖµÍѪѹ¡£¡£¡£¡£¡£Òò±ÈÔÚ±¾Æ·ÖÎÁÆ×îÏÈǰ£¬£¬£¬ÈôÓпÉÄÜ£¬£¬£¬Ó¦×èֹʹÓÃÏõËá¸ÊÓÍ»òÕ߯äËûµÄÏõËáÑÎÀàµÄÒ©ÎÓÃÓÚÖÎÁÆÐĽÊÍ´£©»òÕß¾ßÓÐÀ©Ñª¹Ü»îÐÔµÄÆäËûÒ©Îï¡£¡£¡£¡£¡£ÈôÊǽÓÊܱ¾Æ·ÖÎÁÆÊ±´úÊÊÓÃÕâЩҩÎ£¬£¬ÔòÓ¦ÉóÉ÷¸øÓ裬£¬£¬ÇҴӽϵͼÁÁ¿×îÏÈ¡£¡£¡£¡£¡£

3¡¢ÒýÆðÉöËØÊͷŵÄÒ©ÎÄܹ»ÒýÆðÉöËØÊͷŵĽµÑ¹µÄ¿É·Å´ó¿¨ÍÐÆÕÀûµÄҩЧ¡£¡£¡£¡£¡£ÀýÈ磬£¬£¬ÀûÄò¼Á£¨ÈçàçàºÀࣩ¿ÉÄܼ¤»îÉöËØ-Ѫ¹ÜÖ÷ÒªËØ-È©¹Ìͪϵͳ¡£¡£¡£¡£¡£

4¡¢Ó°Ïì½»¸ÐÉñ¾­»îÐÔµÄÒ©ÎÔÚ½ÓÊÜ¿¨ÍÐÆÕÀûµ¥¶ÀÖÎÁÆ»òÊÊÓÃÀûÄò¼ÁÖÎÁƵϼÕßÖУ¬£¬£¬½»¸ÐÉñ¾­ÏµÍ³¹ØÓÚѪѹ֧³ÖÓÈΪÖ÷Òª¡£¡£¡£¡£¡£ÓëÓ°Ïì½»¸ÐÉñ¾­»îÐÔµÄÒ©ÎÉñ¾­½Ú×èÖͼÁ»òÉöÉÏÏÙÄÜÉñ¾­×èÖͼÁ£©ÒÔ¼°¦ÂÊÜÌå×èÖͼÁÊÊÓö¼»áÒýÆð½µÑ¹×÷ÓÃÔöÇ¿£¬£¬£¬Ó¦ÉóÉ÷¡£¡£¡£¡£¡£

5.ÉýѪ¼ØÒ©ÎÓÉÓÚ¿¨ÍÐÆÕÀû»á½µµÍÈ©¹ÌͪÌìÉú£¬£¬£¬Òò±È£¬£¬£¬¿ÉÄܱ¬·¢Ñª¼ØÉý¸ß¡£¡£¡£¡£¡£±£¼ØÀûÄò¼ÁÈçÂÝÄÚõ¥¡¢°±±½µûड¢°¢Ã×ÂåÀû»ò²¹¼Ø¼ÁÖ»ÄÜÓÃÓÚÃ÷È·µÄµÍ¼ØÑªÖ¢£¬£¬£¬Ê¹ÓÃʱӦÉóÉ÷£¬£¬£¬ÓÉÓÚͬÓÿÉÄÜ»áÒýÆðѪ¼ØÏÔ×ÅÉý¸ß¡£¡£¡£¡£¡£º¬¼ØµÄÑÎÌæ»»ÎïÒ²Ó¦ÉóÉ÷ʹÓᣡ£¡£¡£¡£

6¡¢ÄÚÔ´ÐÔǰÏßÏÙËØºÏ³ÉÒÖÖÆ¼Á£º·ÇçÞÌ忹Ñ×Ò©NSAIDs¿ÉÄÜ»áÏ÷ÈõACEÒÖÖÆ¼Á£¨°üÀ¨¿¨ÍÐÆÕÀû£©µÄ½µÑ¹×÷Ó㬣¬£¬ÌØÊâÊÇÔÚµÍÉöËØÐ͸ßѪѹµÄÇéÐÎÏ¡£¡£¡£¡£¡£ÆäËû·ÇçÞÌåÀ࿹Ñ×Ò©£¨ÀýÈ簢˾ƥÁÖ£©¿ÉÄÜÒ²ÓÐÕâÖÖ×÷Óᣡ£¡£¡£¡£ÍíÄ껼Õߣ¬£¬£¬ºÏ²¢Ê¹ÓÃNSAIDs£¨°üÀ¨Ñ¡ÔñÐÔ»·Ñõø2£¨COX-2£©ÒÖÖÆ¼Á£©ºÍACEÒÖÖÆ¼Á£¨°üÀ¨¿¨ÍÐÆÕÀû£©£¬£¬£¬¿ÉÄܻᵼÖÂÉö¹¦Ð§¶ñ»¯£¨°üÀ¨¿ÉÄܱ¬·¢µÄ¼±ÐÔÉö¹¦Ð§Ë¥½ß£©¡£¡£¡£¡£¡£ÕâЩӰÏìͨ³£ÊÇ¿ÉÄæÐԵġ£¡£¡£¡£¡£¹ØÓÚ½ÓÊÜ¿¨ÍÐÆÕÀûºÍNSAIDsÖÎÁƵϼÕߣ¬£¬£¬Ó¦°´ÆÚ¼à²âÉö¹¦Ð§¡£¡£¡£¡£¡£

7.﮼Á£ºÔÚÊÊÓÃ﮼ÁºÍACEÒÖÖÆ¼ÁµÄ»¼ÕßÖУ¬£¬£¬Ôø±¨¸æÑªÇåï®Ë®Æ½Éý¸ßºÍï®Öж¾Ö¢×´¡£¡£¡£¡£¡£ÊÊÓÃÕâЩҩÎïʱӦÉóÉ÷£¬£¬£¬²¢ÇÒ½¨Òé¾­³£¼à²âѪÇåï®Ë®Æ½¡£¡£¡£¡£¡£ÈôÊÇͬʱÊÊÓÃÀûÄò¼Á£¬£¬£¬ï®Öж¾µÄ·ïÏÕ¿ÉÄÜ»áÔöÌí¡£¡£¡£¡£¡£

8¡¢½µÌÇÒ©ÎACEÒÖÖÆ¼Á£¨°üÀ¨¿¨ÍÐÆÕÀû£©¿ÉÔöÇ¿ÒȵºËؼ°¿Ú·þ½µÌÇÒ©£¨ÀýÈç»ÇëåÀࣩÔÚÌÇÄò²¡»¼ÕßÖеĽµÌÇ×÷Óᣡ£¡£¡£¡£

9.ÉöËØ-Ѫ¹ÜÖ÷ÒªËØ-È©¹Ìͪϵͳ£¨RAAS£©µÄË«ÖØ×è¶Ï

ÁÙ´²ÊÔÑéÊý¾ÝÏÔʾ£¬£¬£¬Í¨¹ýÊÊÓÃACEÒÖÖÆ¼Á¡¢Ñª¹ÜÖ÷ÒªËØIIÊÜÌå×èÖͼÁÍþ°¢Àû¼ªÂضÔÉöËØ-Ѫ¹ÜÖ÷ÒªËØ-È©¹Ìͪϵͳ£¨RAAS£©¾ÙÐÐË«ÖØ×è¶Ïʱ£¬£¬£¬ÓëֻʹÓÃÒ»ÖÖ×÷ÓÃÓÚRAASµÄÒ©ÎïÏà±È£¬£¬£¬²»Á¼ÊÂÎñ£¨ÀýÈçµÍѪѹ¡¢¸ß¼ØÑªÖ¢ºÍÉö¹¦Ð§Ï½µ£¨°üÀ¨¼±ÐÔÉö¹¦Ð§Ë¥½ß£©£©µÄ±¬·¢ÂÊÉý¸ß¡£¡£¡£¡£¡£´ó´ó¶¼²¡È˽ÓÊÜÁ½ÖÖRAASÒÖÖÆ¼ÁÁªºÏÖÎÁƱȼòµ¥ÁÆ·¨Ã»ÓлñµÃÌØÊâÀûÒæ¡£¡£¡£¡£¡£Ò»°ãÀ´Ëµ£¬£¬£¬Ó¦×èÖ¹ÁªºÏʹÓÃRAASÒÖÖÆ¼Á¡£¡£¡£¡£¡£¹ØÓÚ½ÓÊܱ¾Æ·¼°ÆäËûÓ°ÏìRAASµÄÒ©ÎïÖÎÁƵϼÕߣ¬£¬£¬Ó¦Ç×½ü¼à²âѪѹ¡¢Éö¶¯Äܼ°µç½âÖÊ¡£¡£¡£¡£¡£

ÌÇÄò²¡Éö²¡»¼ÕßեȡÊÊÓÃACEÒÖÖÆ¼ÁºÍѪ¹ÜÖ÷ÒªËØIIÊÜÌå×èÖͼÁ¡£¡£¡£¡£¡£

Éö¹¦Ð§Ë𺦣¨ÉöСÇòÂ˹ýÂÊGFR<60ml/min£©µÄ»¼ÕßÓ¦×èÖ¹ÊÊÓð¢Àû¼ªÂغͱ¾Æ·¡£¡£¡£¡£¡£

10.Ò©Îï/ʵÑéÊÒ¼ì²éÏ໥×÷ÓÃ

¿¨ÍÐÆÕÀû¿ÉÒýÆðÄò±ûͪ¼ì²é¼ÙÑôÐÔ¡£¡£¡£¡£¡£

11.ÓëÆäËû½µÑ¹Ò©ÊÊÓ㬣¬£¬½µÑ¹×÷ÓÃÔöÇ¿¡£¡£¡£¡£¡£

¡¾Ò©Îï¹ýÁ¿¡¿

ÓâÁ¿¿ÉÖµÍѪѹ£¬£¬£¬±¬·¢Ò©Îï¹ýÁ¿Ê±£¬£¬£¬Ó¦Ê×ÏÈ˼Á¿¾ÀÕýµÍѪѹ¡£¡£¡£¡£¡£Ó¦Á¬Ã¦Í£Ò©£¬£¬£¬ÔÚ¶Ô»¼Õß¾ÙÐÐѪѹ»Ö¸´Ê±£¬£¬£¬¿ÉÒÔÑ¡Ôñͨ¹ý¾²ÂöÊä×¢ÐÄÀíÑÎË®À©ÈÝÒÔ¾ÀÕý¡£¡£¡£¡£¡£

³ÉÈËѪҺѭ»·ÖеĿ¨ÍÐÆÕÀû¿ÉÒÔͨ¹ýѪҺ͸Îöɨ³ý£¬£¬£¬µ«ÏÖÔÚÎÞ×ã¹»µÄÊý¾Ý֤ʵѪҺ͸Îö¶ÔÐÂÉú¶ù»ò¶ùͯÌåÄÚ¿¨ÍÐÆÕÀûµÄɨ³ýͬÑùÓÐÓᣡ£¡£¡£¡£¸¹Ä¤Í¸ÎöÎÞ·¨ÓÐÓÃɨ³ýѪҺѭ»·ÖеĿ¨ÍÐÆÕÀû£¬£¬£¬ÏÖÔÚÉв»ÇåÎúÌæ»»ÑªÁÆ·¨ÊÇ·ñ¿Éɨ³ýÌåÄڵĿ¨ÍÐÆÕÀû¡£¡£¡£¡£¡£

¡¾Ò©Àí¶¾Àí¡¿

Ò©Àí×÷ÓÃ

¿¨ÍÐÆÕÀûΪ¾ºÕùÐÔѪ¹ÜÖ÷ÒªËØ×ª»»Ã¸ÒÖÖÆ¼Á£¬£¬£¬Ê¹Ñª¹ÜÖ÷ÒªËØI²»¿Éת»»ÎªÑª¹ÜÖ÷ÒªËØII£¬£¬£¬´Ó¶ø½µµÍÍâÖÜѪ¹Ü×èÁ¦£¬£¬£¬²¢Í¨¹ýÒÖÖÆÈ©¹ÌÍªÉøÍ¸£¬£¬£¬ïÔÌ­Ë®ÄÆäóÁô£»£»£»»¹¿Éͨ¹ý×ÌÈÅ»º¼¤ëĵĽµ½âÀ©ÕÅÍâÖÜѪ¹Ü£»£»£»Ò²¿É½µµÍ·ÎëϸѪ¹ÜШѹ¼°·ÎѪ¹Ü×èÁ¦£¬£¬£¬ÔöÌíÐÄÊä³öÁ¿¼°Ô˶¯ÄÍÊÜʱ¼ä¡£¡£¡£¡£¡£

¶¾ÀíÑо¿

Ò»°ã¶¾ÐÔ

ÔÚСÊó¡¢´óÊó¡¢È®ºÍºï£¬£¬£¬»®·Ö¿ªÕ¹ÁËÖØ¸´¸øÒ©¶¾ÐÔÊÔÑ飨СÊó£º2Äꣻ£»£»´óÊó£º2Äꣻ£»£»È®£º47ÖÜ£¬£¬£¬1Äꣻ£»£»ºï£º1Ä꣩£¬£¬£¬ÓëÒ©ÎïÏà¹ØµÄ¶¾ÐÔ°üÀ¨¶ÔÔìѪ¹¦Ð§µÄÓ°Ïì¡¢ÉöÔà¶¾ÐÔ¡¢Î¸ÃÓÀÃ/À£Ññ¡¢ÊÓÍøÄ¤Ñª¹Ü±äÒì¡£¡£¡£¡£¡£

СÊó¡¢´óÊóºÍºï¾­¿Ú¸øÓ迨ÍÐÆÕÀû¼ÁÁ¿Îª×î´óÍÆ¼öÈËÀà¼ÁÁ¿£¨MRHD£©µÄ50±¶µ½150±¶Ê±£¬£¬£¬¿É¼ûѪºìÂѰ׺Í/»òºìϸ°ûѹ»ýÊýֵϽµ¡£¡£¡£¡£¡£È®¾­¿Ú¸øÒ©¼ÁÁ¿ÎªMRHDµÄ8±¶µ½30±¶Ê±£¬£¬£¬¿É¼ûѪÐé¡¢°×ϸ°ûïÔÌ­¡¢ÑªÐ¡°åïÔÌ­ºÍ¹ÇËèÒÖÖÆ¡£¡£¡£¡£¡£Ð¡ÊóºÍ´óÊó½ö1ÄêºóµÄѪºìÂѰ׺ͺìϸ°ûѹ»ýÊýֵϽµÏÔ×Å£¬£¬£¬¿ÉÄæ¡£¡£¡£¡£¡£ÔÚÈ®ÊÔÑéÖУ¬£¬£¬ËùÓмÁÁ¿Ë®Æ½£¨8µ½30±¶MRHD£©¾ù¿É¼ûÏÔ×ÅѪÐ飬£¬£¬Öжȵ½ÏÔ×Ű×ϸ°ûïÔÌ­»®·Ö±¬·¢ÔÚMRHDµÄ15±¶ºÍ30±¶Ê±£¬£¬£¬ÑªÐ¡°åïÔÌ­±¬·¢ÔÚMRHDµÄ30±¶Ê±¡£¡£¡£¡£¡£Í£Ò©ºó£¬£¬£¬ÑªÐé¿ÉÄæ¡£¡£¡£¡£¡£¹ÇËèÒÖÖÆµÄ±¬·¢Ë®Æ½·×Æç£ºÔÚ1ÄêµÄÑо¿ÖУ¬£¬£¬¼ûÓÚéæÃüµÄÈ®»òÔÚ±ôËÀ״̬±»Õý·¨µÄÈ®£¬£¬£¬µ«ÔÚ47ÖܵÄÑо¿ÖУ¬£¬£¬¼ÁÁ¿ÎªMRHDµÄ30±¶Ê±£¬£¬£¬¹ÇËèÒÖÖÆ¿ÉÄæ×ª¡£¡£¡£¡£¡£Ð¡ÊóºÍ´óÊó¾­¿Ú¸øÓ迨ÍÐÆÕÀû¼ÁÁ¿ÎªMRHDµÄµ½200±¶Ê±£¬£¬£¬ºï¸øÒ©¼ÁÁ¿ÎªMRHDµÄ20µ½60±¶Ê±£¬£¬£¬È®¼ÁÁ¿ÎªMRHDµÄ30±¶Ê±£¬£¬£¬¿É¼ûÉöСÇòÅÔÆ÷ÔöÉú¡£¡£¡£¡£¡£

ÐÛÐÔ´óÊó¾­¿Ú¸øÓ迨ÍÐÆÕÀû¼ÁÁ¿ÎªMRHDµÄ20±¶ºÍ200£¬£¬£¬È®ºÍºï»®·Ö¾­¿Ú¸øÓ迨ÍÐÆÕÀûMRHDµÄ30±¶ºÍMRHDµÄ65±¶Ê±£¬£¬£¬Î¸ÃÓÀÃ/À£ÑñµÄ±¬·¢ÂÊÉý¸ß£¬£¬£¬Íþ­¿Ú¸øÓ迨ÍÐÆÕÀû5-7Ìì¼ÁÁ¿Ô¼ÎªMRHDµÄ30±¶£¬£¬£¬¿É¼ûθÀ£ÑñºÍ³¦µÀÀ£Ññ±¬·¢¡£¡£¡£¡£¡£´óÊó¾­¿Ú¸øÓ迨ÍÐÆÕÀû2Ä꣬£¬£¬ÔÚËùÓмÁÁ¿Ë®Æ½£¨MRHDµÄ7±¶µ½20±¶£©£¬£¬£¬¿É¼û¾ÙÐÐÐÔÊÓÍøÄ¤Ñª¹Ü¹Ü¾¶²»¿ÉÄæÐԸı䣬£¬£¬³Ê¼ÁÁ¿Ïà¹ØÐÔ¡£¡£¡£¡£¡£×îÔçÔÚ¸øÒ©µÚ88ÖÜ·ºÆð£¬£¬£¬Ö®ºó±¬·¢ÂʾÙÐÐÐÔÉý¸ß£¬£¬£¬Í£Ò©ºó²»¿ÉÄæ¡£¡£¡£¡£¡£

Ö°©ÐÔ

СÊ󣬣¬£¬´óÊó»®·ÖÖðÈÕ¸øÓ迨ÍÐÆÕÀû50-1350mg/kg£¬£¬£¬¸øÒ©2Ä꣬£¬£¬¾ùδ¼ûÖ°©×÷Ó㬣¬£¬Æä¸ß¼ÁÁ¿ÎªÈË×î´óÍÆ¼ö¼ÁÁ¿£¨50kg£¬£¬£¬450mg£©µÄ150ÐÅ¡£¡£¡£¡£¡£¾ÝÌåÍâò»ýÕÛË㣬£¬£¬Ð¡ÊóºÍ´óÊóµÄ×î¸ß¼ÁÁ¿»®·ÖΪÈË×î´óÍÆ¼ö¼ÁÁ¿µÄ13ºÍ26±¶¡£¡£¡£¡£¡£

¡¾Ò©´ú¶¯Á¦Ñ§¡¿

¿¨ÍÐÆÕÀûƬ¿Ú·þºóÎüÊÕѸËÙ£¬£¬£¬ÎüÊÕÂÊÔÚ75%ÒÔÉÏ¡£¡£¡£¡£¡£¿£¿Ú·þºó15·ÖÖÓÆðЧ£¬£¬£¬Ô¼Äª1Сʱ´ïѪҩ·åŨ¶È£¬£¬£¬³ÖÐø6-12Сʱ¡£¡£¡£¡£¡£Î¸³¦ÖÐʳÎï¿Éʹ¿¨ÍÐÆÕÀûÎüÊÕïÔÌ­30%-40%£¬£¬£¬¹ÊÒËÔÚ²Í1Сʱ·þÒ©¡£¡£¡£¡£¡£»£»£»ùÓÚ14C±ê¼ÇÑо¿£¬£¬£¬24СʱÄÚ95%ÒÔÉϵÄÎüÊÕÒ©Îïͨ¹ýÄòÒºÉøÍ¸£¬£¬£¬40%-50%ÎªÕæÏàÒ©£¬£¬£¬Ê£Óಿ·ÖÖ÷ҪΪ¿¨ÍÐÆÕÀû¶þÁò»¯Îï¶þ¾ÛÌåºÍ¿¨ÍÐÆÕÀû-°ëë×°±Ëá¶þÁò»¯Îï¡£¡£¡£¡£¡£Ò©ÎïѪ½¬ÂѰ×Á¬ÏµÂÊԼĪΪ25%-30%¡£¡£¡£¡£¡£ÑªÒºÖÐ×Ü·ÅÉä»îÐԵıí¹Ûɨ³ý°ëË¥ÆÚԼĪСÓÚ3Сʱ£¬£¬£¬Ñо¿Î´ÄÜ׼ȷ²â¶¨ÕæÏ࿨ÍÐÆÕÀûµÄ°ëË¥ÆÚ£¬£¬£¬µ«ºÜ¿ÉÄÜСÓÚ2Сʱ¡£¡£¡£¡£¡£Éö¹¦Ð§Ëðº¦Ê±»á±¬·¢Ò©ÎïäóÁô¡£¡£¡£¡£¡£½µÑ¹×÷ÓÃΪ¾ÙÐÐÐÔ£¬£¬£¬Ô¼ÊýÖÜ´ï×î´óÖÎÁÆ×÷Óᣡ£¡£¡£¡£

¿¨ÍÐÆÕÀû²»¿Éͨ¹ýѪÄÔ½âÕÏ¡£¡£¡£¡£¡£¿£¿¨ÍÐÆÕÀû¿Éͨ¹ýÈéÖ­ÉøÍ¸£¬£¬£¬¿ÉÒÔͨ¹ýÌ¥ÅÌ¡£¡£¡£¡£¡£

¡¾Öü²Ø¡¿Õڹ⣬£¬£¬ÃÜ·âÉúÑÄ¡£¡£¡£¡£¡£

¡¾°ü×°¡¿ËÜÁÏÆ¿×°£¬£¬£¬100Ƭ/Æ¿¡£¡£¡£¡£¡£

¡¾ÓÐÓÃÆÚ¡¿24¸öÔÂ

¡¾Ö´Ðбê×¼¡¿¹ú¼ÒÒ©Æ·¼àÊÓÖÎÀí¾Ö±ê×¼YBH07002020

¡¾Åú×¼Îĺš¿¹úÒ©×¼×ÖH14021648

¡¾ÉÏÊÐÔÊÐí³ÖÓÐÈË¡¿

Ãû³Æ£ºÉ½Î÷tyc41183Ì«Ñô³É¼¯ÍŰ²ÐÀÉúÎïÖÆÒ©ÓÐÏÞ¹«Ë¾

×¢²áµØµã£ºÉ½Î÷Ê¡½úÖÐÊÐɽÎ÷Ê÷Ä£Çø½úÖпª·¢Çø»ãͨ¹¤ÒµÔ°Çø»þ³Ç·908ºÅ

¡¾Éú²úÆóÒµ¡¿

ÆóÒµÃû³Æ£ºÉ½Î÷tyc41183Ì«Ñô³É¼¯ÍŰ²ÐÀÉúÎïÖÆÒ©ÓÐÏÞ¹«Ë¾

Éú²úµØµã£ºÉ½Î÷Ê¡½úÖÐÊлþ³Ç·908ºÅ£¨½úÖо­¼ÃÊÖÒÕ¿ª·¢ÇøÃñÓª¿Æ¼¼Ô°£©

²¿Õþ±àÂ룺030600

µç»°ºÅÂ룺£¨0354£©2467987

´«ÕæºÅÂ룺£¨0354£©2461887

꿅᣼www.zdjt.com