
¡¾Ò©Æ·Ãû³Æ¡¿Í¨ÓÃÃû³Æ£º×¢ÉäÓÃά¿âäåï§
Ó¢ÎÄÃû³Æ£ºVecuronium Bromide for Injection
ººÓïÆ´ÒôÃû£ºZhusheyong Weikuxiu'an
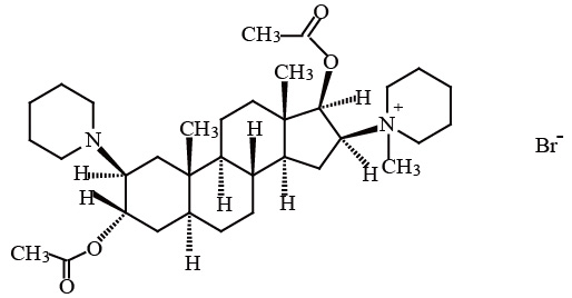
¡¾³É·Ý¡¿±¾Æ·Ö÷Òª³É·ÝΪά¿âäåï§£¬£¬£¬£¬Æä»¯Ñ§Ãû³ÆÎªä廯1-[3¦Á£¬£¬£¬£¬17¦Â-¶þÒÒõ£Ñõ»ù-2-¦Â(1-ßßऻù)-5¦Á-ÐÛçÞÍé-16¦Â-»ù]-1-¼×»ùßßड£¡£¡£¡£¡£¡£
Æä½á¹¹Ê½Îª£º

·Ö×Óʽ£ºC34H57BrN2O4
·Ö×ÓÁ¿£º637.73
¡¾ÐÔ×´¡¿±¾Æ·Îª°×É«»òÀà°×É«ËÉÉ¢×´Îï¡£¡£¡£¡£¡£¡£
¡¾Ë³Ó¦Ö¢¡¿Ö÷Òª×÷ΪȫÉíÂé×í¸¨ÖúÓÃÒ©£¬£¬£¬£¬ÓÃÓÚÈ«ÂéʱµÄÆø¹Ü²å¹Ü¼°ÊÖÊõÖеÄËÉи¼¡Èâ¡£¡£¡£¡£¡£¡£
¡¾¹æ¸ñ¡¿4mg
¡¾Ó÷¨ÓÃÁ¿¡¿±¾Æ·½ö¹©¾²Âö×¢Éä»ò¾²ÂöµÎעʹÓᣡ£¡£¡£¡£¡£²å¹Ü¼ÁÁ¿£º0.08-0.1mg/kg¡£¡£¡£¡£¡£¡£ÓÃçúçêõ£µ¨¼îÐÐÆø¹Ü²å¹ÜºóËùÐèµÄÊ״μÁÁ¿£º±¾Æ·0.03-0.05mg/kgÈôÊÇÓ¦ÓÃçúçêõ£µ¨¼î²å¹Üʱ£¬£¬£¬£¬Ó¦´ý¶Ô»¼ÕßÁÙ´²×÷ÓÃÏûÍ˺óÔÙʹÓñ¾Æ·¡£¡£¡£¡£¡£¡£Î¬³Ö¼ÁÁ¿£º±¾Æ·0.02-0.03mg/kg×îÐÒ¿÷²ü´¤¸ß¶È»Ö¸´µ½±ÈÕÕÖµµÄ25%ʱÔÙ×·¼Óά³Ö¼ÁÁ¿¡£¡£¡£¡£¡£¡£ÈçÆäËûÉñ¾¼¡Èâ×è¶ÏÒ©Ò»Ñù£¬£¬£¬£¬ÆäÓÃÁ¿Ó¦Ë没È˶øÒì¡£¡£¡£¡£¡£¡£ÁíÍ⣬£¬£¬£¬Âé×íÒªÁì¡¢ÊÖÊõʱ¼ä¡¢Êõǰ»òÂé×íÊÖÊõÖÐʹÓÃÆäËûÒ©ÎïµÄÓ°ÏìºÍ²¡È˵Ä״̬¶¼Ðè¼ÓÒÔ˼Á¿¡£¡£¡£¡£¡£¡£Ó¦Ê¹ÓÃÄ©ÉÒÉñ¾´Ì¼¤Æ÷¼à²âÉñ¾¼¡Èâ×èÖͼ°»Ö¸´Ë®Æ½¡£¡£¡£¡£¡£¡£»£»£»ò×ñÒ½Öö¡£¡£¡£¡£¡£¡£
¡¾²»Á¼·´Ó³¡¿ÏÂÁÐÓÉά¿âäåï§Ëù±¬·¢µÄÒ©Îï²»Á¼·´Ó³ÔÚ²úÆ·µÄÉÏÊкó¼à²âÖб¨¸æ£¬£¬£¬£¬±¬·¢ÂʺÜÊÇÓÐÊý£¬£¬£¬£¬µÍÓÚ1/10000¡£¡£¡£¡£¡£¡£1¡¢Éñ¾¼¡Èâ×èÖÍ×÷ÓÃÑÓÉì·ÇÈ¥¼«»¯×è¶ÏÒ©Îï×î³£¼ûµÄ²»Á¼·´Ó³ÊÇÒ©ÎïµÄÒ©Àí×÷ÓÃÑÓÉ죬£¬£¬£¬Áè¼ÝÁËËùÐèÒªµÄ×÷ÓÃʱ¼ä¡£¡£¡£¡£¡£¡£ÕâÖÖ×÷ÓûáÓвî±ðµÄÁÙ´²ÌåÏÖ£¬£¬£¬£¬´Ó¼¡ÎÞÁ¦µ½Òò³¤Ê±¼äµÄÉî¶È¼¡Âéľ¶øµ¼ÖºôÎü¹¦Ð§²»È«»òȱÑõ¡£¡£¡£¡£¡£¡£2¡¢¹ýÃô·´Ó³Ö»¹Ü°üÀ¨±¾Æ·ÔÚÄÚµÄÉñ¾¼¡Èâ×è¶ÏÒ©±¬·¢ÑÏÖØ¹ýÃô·´Ó³µÄ²¡ÀýºÜÊÇÓÐÊý£¬£¬£¬£¬µ«ÁÙ´²ÒÑÓб¨µÀ£¬£¬£¬£¬·ºÆðµÄ¹ýÃô/Àà¹ýÃô·´Ó³°üÀ¨£ºÖ§Æø¹Ü¾·ÂΣ¬£¬£¬£¬ÐÄѪ¹Ü¸Ä±ä(ÀýÈ磺µÍѪѹ£¬£¬£¬£¬Ð͝¹ýËÙ£¬£¬£¬£¬Ñ»·Ë¥½ßÉõÖÁÐÝ¿Ë)£¬£¬£¬£¬Æ¤·ô¸Ä±ä(ÀýÈçѪ¹ÜÉñ¾ÐÔË®Ö×£¬£¬£¬£¬Ý¡ÂéÕî)¡£¡£¡£¡£¡£¡£ÕâЩ·´Ó³ÔÚijЩ²¡ÀýÉõÖÁÊÇÖÂËÀÐԵġ£¡£¡£¡£¡£¡£¼øÓÚÕâЩ·´Ó³¿ÉÄܵÄÑÏÖØÐÔ£¬£¬£¬£¬ÁÙ´²Ò½ÉúÓ¦¼Ù¶¨²»Á¼·´Ó³»á±¬·¢£¬£¬£¬£¬²¢½ÓÄÉÐëÒªµÄÔ¤·À²½·¥¡£¡£¡£¡£¡£¡£3¡¢×é°·ÊÍ·ÅÓëÀà×é°··´Ó³ÖÚËùÖÜÖª£¬£¬£¬£¬Éñ¾¼¡Èâ×è¶ÏÒ©Îï¶Ô¾Ö²¿×¢É䲿λ¼°È«ÉíÓÕµ¼×éÖ¯°·ÊÍ·Å£¬£¬£¬£¬Òò´ËÔÚʹÓÃÕâЩҩÎïµÄÀú³ÌÖУ¬£¬£¬£¬Ó¦¸Ã˼Á¿µ½¿ÉÄܻᱬ·¢×¢É䲿λµÄɦÑ÷¼°ºì°ß·´Ó³ºÍ/»òÈ«ÉíÐÔÀà×é°·(Àà¹ýÃô)·´Ó³(Ò²¿É°Ý¼ûÉÏÊö¹ýÃô·´Ó³)¡£¡£¡£¡£¡£¡£Æ¤ÄÚ×¢É䱾ƷµÄÊÔÑéÑо¿Åú×¢£¬£¬£¬£¬¸ÃÒ©½öÒýÆð¾Ö²¿ÉÔ΢µÄ×éÖ¯°·ÊÍ·Å¡£¡£¡£¡£¡£¡£ÔÚÈËÌåµÄ±ÈÕÕÑо¿ÖУ¬£¬£¬£¬Òàδ֤ʵ¾²Âö×¢É䱾Ʒºó£¬£¬£¬£¬Ñª½¬×éÖ¯°·Ë®Æ½ÓÐÏÔ×ÅÉý¸ß¡£¡£¡£¡£¡£¡£Ö»¹ÜÔÆÔÆ£¬£¬£¬£¬ÔÚ¸ÃÒ©ÆÕ±éÓ¦ÓõÄÇéÐÎÏ£¬£¬£¬£¬ÈÔżÓÐÕâÀà·´Ó³±¬·¢µÄ±¨µÀ¡£¡£¡£¡£¡£¡£
¡¾½û¼É¡¿¶Ô±¾Æ·»òäåÀë×ÓÓйýÃôÊ·Õß½ûÓᣡ£¡£¡£¡£¡£
¡¾×¢ÖØÊÂÏî¡¿¡ª·ÊÅÖ²¡ÈË£¬£¬£¬£¬ÓÃÁ¿×üõ¡£¡£¡£¡£¡£¡£¡ªÎüÈëÂé×íÒ©ÄÜÇ¿»¯Æä×÷Óᣡ£¡£¡£¡£¡£Ê¹ÓÃÎüÈëÂé×íҩʱ£¬£¬£¬£¬Ó¦ïÔÌÆäÓÃÁ¿£¬£¬£¬£¬¼û¡¾Ò©ÎïÏ໥×÷Óá¿¡£¡£¡£¡£¡£¡£¡ªÓÐЩ»¼Õß¿ÉÄÜÐèҪʹÓýϸߵļÁÁ¿£¬£¬£¬£¬Ö»ÒªÎ¬³ÖºÏÊʵĻúÐµÍ¨Æø£¬£¬£¬£¬ÔÚʹÓÃÓ÷úÍéÂé×íºÍÉñ¾°²¶¨Õò¾²Âé×íʱÊ״μÁÁ¿¿ÉΪ0.15-0.3mg/kgÖ®¼ä£¬£¬£¬£¬¶øÎÞÐÄѪ¹Ü¸±×÷Óᣡ£¡£¡£¡£¡£´ÓҩЧѧµÄ¿´·¨¿´£¬£¬£¬£¬Ê¹Óýϴó¼ÁÁ¿µÄ±¾Æ·¿ÉËõ¶ÌÆðЧʱ¼ä£¬£¬£¬£¬ÑÓÉì×÷ÓÃʱ¼ä¡£¡£¡£¡£¡£¡£¡ªÆÊ¸¹²úºÍÐÂÉú¶ùÊÖÊõµÄ¼ÁÁ¿²»Ó¦¸ÃÁè¼Ý0.1mg/kg¡£¡£¡£¡£¡£¡£ÓÉÓÚÉñ¾¼¡Èâ×è¶ÏÒ©ÔÚ¸øÒ©ºó¿ÉÄܻᱬ·¢¹ýÃô·´Ó³£¬£¬£¬£¬Òò´Ë£¬£¬£¬£¬Ê¼ÖÕÓ¦Õë¶ÔÕâÖÖ·´Ó³¸øÓèÐëÒªµÄÔ¤·À²½·¥¡£¡£¡£¡£¡£¡£ÓÉÓÚ¹ØÓÚÉñ¾¼¡Èâ×è¶ÏÒ©Ö®¼äµÄ½»Ö¯¹ýÃô·´Ó³ÒÑÓб¨¸æ£¬£¬£¬£¬ÒÔÊÇ£¬£¬£¬£¬ÌØÊâÊǶÔÒÔǰһ¾±¬·¢¹ýÒòÉñ¾¼¡Èâ×è¶ÏÒ©¶øÒýÆðµÄ¹ýÃô·´Ó³»¼Õߣ¬£¬£¬£¬¸üÊÇÐèÒªÌá¹©ÌØ±ðµÄÔ¤·À²½·¥¡£¡£¡£¡£¡£¡£ÓÉÓÚ±¾Æ·ÔÚÁÙ´²¼ÁÁ¿¹æÄ£ÄÚ²»»á¶ÔÐÄѪ¹Üϵͳ±¬·¢Ó°Ï죬£¬£¬£¬Òò´Ë£¬£¬£¬£¬Ëü²»»á¶ÔÒòÊÖÊõÀú³ÌÖÐʹÓÃijЩÀàÐ͵ÄÂé×í¼ÁºÍÑ»Æ¬ÖÆ¼Á»òÊÇÒòÃÔ×ßÉñ¾·´ÉäËùÒýÆðµÄÐ͝¹ý»ºÆðµ½»º½â×÷Óᣡ£¡£¡£¡£¡£Òò´Ë£¬£¬£¬£¬ÖØÐÂÆÀ¼ÛÃÔ×ßÉñ¾ÒÖÖÆ¼Á(ÀýÈ磺ÔÚÂé×íǰ»òÊÇÂé×íÓÕµ¼Ê±ËùʹÓõİ¢ÍÐÆ·)µÄʹÓúÍ/»òÓÃÒ©¼ÁÁ¿£¬£¬£¬£¬¹ØÓÚ¾³£¿£¿£¿ÉÄܱ¬·¢ÃÔ×ßÉñ¾·´Ó³µÄÊÖÊõÀú³Ì£¨ÀýÈ磺ÒÑÖªÔÚÊÖÊõÀú³ÌÖÐËùʹÓõÄÂé×íÒ©Îï¾ßÓÐÃÔ×ßÉñ¾´Ì¼¤Ð§Ó¦£¬£¬£¬£¬»òÊÇÑÛ¿ÆÊÖÊõ¡¢¸¹²¿ÊÖÊõ¡¢¸ØÃÅÖ±³¦ÊÖÊõµÈ)¿ÉÄÜ»áÓÐÒ»¶¨ÒâÒå¡£¡£¡£¡£¡£¡£¹ØÓÚ±¾Æ·ÔÚÖØÖ¢¼à»¤²¡·¿(ICU)ÄÚµÄʹÓ÷½Ã棬£¬£¬£¬ÏÖÔÚÉÐȱ·¦×ã¹»µÄ×ÊÁϸø³ö½¨Òé¡£¡£¡£¡£¡£¡£ÒÑÓб¨µÀ£¬£¬£¬£¬Í¨³£ÔÚÖØÖ¢¼à»¤²¡·¿(ICU)ÄÚºã¾ÃʹÓü¡ËÉÒ©ºó£¬£¬£¬£¬»áʹÂéľºÍ/»ò¹Ç÷À¼¡ÎÞÁ¦µÄʱ¼äÑÓÉ죬£¬£¬£¬ÎªÁËÓÐÖúÓÚÏû³ýÒòÉñ¾¼¡Èâ×è¶ÏÒ©ºÍ/»òÓÃÒ©¹ýÁ¿Ëù¿ÉÄÜÒýÆðµÄÑÓÉìЧӦ£¬£¬£¬£¬Ç¿ÁÒ½¨ÒéÔÚʹÓü¡ËÉÒ©µÄÕû¸öÀú³ÌÖжÔÉñ¾¼¡ÈâÖ®¼äµÄת´ïÇéÐξÙÐмà²â¡£¡£¡£¡£¡£¡£ÁíÍ⣬£¬£¬£¬»¼Õß»¹Ó¦¸Ã½ÓÊÜÊʵ±µÄÕòÍ´ºÍÕò¾²¼ÁÖÎÁÆ¡£¡£¡£¡£¡£¡£ÔÙÕߣ¬£¬£¬£¬¼¡ËÉÒ©Ó¦¸ÃÓÉÊìϤÕâЩҩÎï×÷ÓõÄÓÐÂÄÀúµÄÁÙ´²Ò½Éú¾ÙÐУ¬£¬£¬£¬»òÊÇÔÚÕâЩҽÉúµÄÖ¸µ¼Ï£¬£¬£¬£¬Í¬Ê±»¹Ó¦¸Ã½ÓÄÉÊʵ±µÄÉñ¾¼¡Èâ¼à²âÊÖÒÕ¡£¡£¡£¡£¡£¡£ÓÉÓÚ±¾Æ·Í¨³£ÒªÓëÆäËûÒ©ÎïÒ»ÆðʹÓ㬣¬£¬£¬Í¬Ê±ÔÚÂé×íÀú³ÌÖпÉÄܱ¬·¢¶ñÐÔ¸ßÈÈ£¬£¬£¬£¬Òò´Ë£¬£¬£¬£¬×ÝÈ»ÔÚûÓÐÒÑÖªÖÂÈÈÒòËØ±£´æµÄÇéÐÎÏ£¬£¬£¬£¬ÁÙ´²Ò½ÉúÒ²Ó¦¸ÃÔÚ×îÏÈÂé×íǰ£¬£¬£¬£¬¶Ô¶ñÐÔ¸ßÈȵÄÔçÆÚÕ÷Ïó¡¢È·ÕïÒªÁìÒÔ¼°ÖÎÁƲ½·¥ÁËÈ»ÓÚÐØ¡£¡£¡£¡£¡£¡£ÒÔϼ²²¡¿ÉÄÜÓ°Ï챾ƷµÄÒ©´ú¶¯Á¦Ñ§ºÍ/»òҩЧѧ£»£»£»1¡¢¸ÎºÍ(»ò)µ¨µÀ¼²²¡ Ö»¹Üά¿âäåï§Ö÷ÒªÊÇͨ¹ýµ¨µÀÏµÍ³ÉøÍ¸£¬£¬£¬£¬ÔÚ»¼ÓиÎÔàºÍ/»òµ¨µÀϵͳ¼²²¡µÄ»¼ÕßÖУ¬£¬£¬£¬±¾Æ·ËùÒýÆðµÄÉñ¾¼¡Èâ×èÖÍ×÷ÓÃÒ»°ãÇéÐÎϽöÓÐÖжȸı䡣¡£¡£¡£¡£¡£²¢ÇÒÕâЩ¸Ä±äÓмÁÁ¿ÒÀÀµÐÔ¡£¡£¡£¡£¡£¡£ºÍÕý³£»£»£»¼ÕßÏà±È¡£¡£¡£¡£¡£¡£¼ÁÁ¿Îª0.1mg/kgά¿âäåï§Ê±£¬£¬£¬£¬Ò©ÎïµÄÆðЧʱ¼äÑÓÉìºÍ×÷ÓõijÖÐøÊ±¼äËõ¶ÌÊÇÉÔ΢µÄ£¬£¬£¬£¬ÕâЩת±äÎÞͳ¼ÆÑ§²î±ð¡£¡£¡£¡£¡£¡£µ±¼ÁÁ¿»®·ÖµÖ´ï0.15mg/kgºÍ0.2mg/kg ά¿âäåï§Ê±£¬£¬£¬£¬Ò©ÎïÆðЧʱ¼äµÄÑÓÉìÈÔÈ»ºÜ²»ÏÔ×Å(0.15mg/kg)»ò»ù´¡ÎÞת±ä(0.2mg/kg)oÔÚ0.15mg/kg ÌåÖØ×éÖУ¬£¬£¬£¬Ã»Óз¢Ã÷Ò©Îï×÷ÓõijÖÐøÊ±¼äÓÐÈκÎת±ä¶øÔÚ0.2mg/kg ÌåÖØ×éÖУ¬£¬£¬£¬ÊӲ쵽ҩÎï×÷ÓõijÖÐøÊ±¼äºÍ»Ö¸´Ê±¼äÏÔÖøÑÓÉì¡£¡£¡£¡£¡£¡£2¡¢Éö¹¦Ð§Ë¥½ß ±¾Æ·ÓÃÓÚÉö¹¦Ð§Ë¥½ßµÄ»¼Õßʱ£¬£¬£¬£¬Ö»±¨µÀÆäҩЧѧ²ÎÊý»á±¬·¢ÉÔ΢¸Ä±ä¡£¡£¡£¡£¡£¡£ÔÚÉö¹¦Ð§Ë¥½ß»¼ÕßµÄÌåÄÚ£¬£¬£¬£¬±¾Æ·µÄÒ©Îï×÷ÓÿÉÄÜ»áÊܵ½Ò»¶¨Ë®Æ½µÄÒÖÖÆ¡£¡£¡£¡£¡£¡£µ±±¾Æ·ÓÃÓÚÉö¹¦Ð§Ë¥½ßµÄ»¼ÕßʱҩÎïµÄÆðЧʱ¼äºÍ»Ö¸´Ê±¼ä¿ÉÄÜ»áÂÔÓÐÑÓÉì¡£¡£¡£¡£¡£¡£¿ÉÊDz»»á±¬·¢ÁÙ´²Ó°Ïì¡£¡£¡£¡£¡£¡£3¡¢Ñ»·Ê±¼äÑÓÉì ÓëÑ»·Ê±¼äÑÓÉìÓйصÄÖÖÖÖÇéÐΣ¬£¬£¬£¬ÀýÈçÐÄѪ¹Ü¼²²¡¡¢¸ßÁ䡢ˮÖ׵ȵ¼ÖÂÂþÑÜÈÝÁ¿Ôö´ó£¬£¬£¬£¬¾ù¿ÉÄÜ»áʹÉñ¾¼¡Èâ×èÖÍÒ©µÄÆðЧʱ¼äÑÓÉì¡£¡£¡£¡£¡£¡£4¡¢Éñ¾¼¡Èâ¼²²¡ ÀàËÆÓÚÆäËûÉñ¾¼¡Èâ×èÖÍÒ©£¬£¬£¬£¬±¾Æ·ÔÚÓÃÓÚ»¼ÓÐÉñ¾¼¡Èâ¼²²¡»òÒ»¾»¼ÓÐС¶ùÂéľ֢µÄ»¼ÕßʱӦÎÈÖØ£¬£¬£¬£¬ÓÉÓÚÕâЩÇéÐÎÏ£¬£¬£¬£¬»¼Õß¶ÔÉñ¾¼¡Èâ×èÖÍÒ©µÄ·´Ó³¿ÉÄܻᱬ·¢ÏÔןı䡣¡£¡£¡£¡£¡£ÕâÖÖת±äµÄ·ù¶È¼°¸Ä±äÆ«Ïò¿ÉÄÜÓкܴó²î±ð¡£¡£¡£¡£¡£¡£¹ØÓÚ»¼ÓÐÖØÖ¢¼¡ÎÞÁ¦»ò(Eaton Lambert)¼¡ÎÞÁ¦×ÛºÏÖ¢»¼Õߣ¬£¬£¬£¬Ð¡¼ÁÁ¿µÄ±¾Æ·¾Í¿ÉÄܻᱬ·¢¼«Ç¿µÄ¹¦Ð§£¬£¬£¬£¬Òò´ËÓ¦¸Ã»ºÂýµÎ¶¨±¾Æ·Ö±ÖÁ·ºÆð·´Ó³ÎªÖ¹¡£¡£¡£¡£¡£¡£5¡¢µÍΠµÍÎÂÏÂÊÖÊõ£¬£¬£¬£¬±¾Æ·µÄÉñ¾¼¡Èâ×èÖÍЧӦ»áÓÐËùÑÓÉì¡£¡£¡£¡£¡£¡£6¡¢·ÊÅÖ ÓëÆäËüµÄÉñ¾¼¡Èâ×è¶ÏÒ©Ò»Ñù£¬£¬£¬£¬µ±Æ¾Ö¤»¼ÕßµÄÏÖʵÌåÖØÅÌËã¸øÒ©¼ÁÁ¿Ê±£¬£¬£¬£¬±¾Æ·ÔÚ·ÊÅÖÕßÌåÄÚÒ²»áÌåÏÖ³öÒ©Îï×÷ÓóÖÐøÊ±¼äºÍ»Ö¸´×ÔÖ÷Ô˶¯µÄʱ¼ä¾ùÓÐËùÑÓÉìµÄÕ÷Ï󡣡£¡£¡£¡£¡£7¡¢ÉÕÉË ÒÑÖªÉÕÉËÕß¶Ô·ÇÈ¥¼«»¯Ò©Îï¾ßÓÐÒ»¶¨µÄÄÍÊÜÐÔ£¬£¬£¬£¬Òò´Ë½¨Ò黺ÂýµÎ¶¨Ò©ÎïÖ±ÖÁ·ºÆð·´Ó³ÎªÖ¹¡£¡£¡£¡£¡£¡£¿£¿£¿ÉÒÔʹ±¾Æ·×÷ÓÃÔöÇ¿µÄÇéÐÎÓУºµÍ¼ØÑªÖ¢(ÀýÈ磺±¬·¢Ç¿ÁÒÍÂÄæ¡¢¸¹Ðº»ò¾ÓÉÀûÄò¼ÁÖÎÁƺó)¡¢¸ßþѪ֢¡¢µÍ¸ÆÑªÖ¢(¾ÓÉ´ó×ÚÊäѪºó)¡¢µÍÂѰ×Ѫ֢¡¢ÍÑË®¡¢ËáÖж¾¡¢¸ß̼ËáѪ֢ÒÔ¼°¶ñÒºÖÊ¡£¡£¡£¡£¡£¡£Òò´ËÑÏÖØµÄµç½âÖÊʧºâ£¬£¬£¬£¬ÑªÒºpHÖµ±¬·¢¸Ä±ä»òÊÇÍÑË®¾ùÓ¦Æð¾¢¾ÀÕý¡£¡£¡£¡£¡£¡£ÓëÆäËüÉñ¾¼¡Èâ×è¶ÏÒ©µÄʹÓÃÒ»Ñù£¬£¬£¬£¬±¾Æ·Ó¦ÓÉÊìϤ¸ÃÒ©×÷ÓûúÖÆµÄÓÐÂÄÀúµÄÁÙ´²Ò½ÉúʹÓ㬣¬£¬£¬»òÊÇÔÚÕâЩҽÉúµÄÖ¸µ¼ÏÂʹÓᣡ£¡£¡£¡£¡£ÓÉÓÚ¸ÃҩʹºôÎü¼¡ËÉи£¬£¬£¬£¬Ê¹ÓÃʱӦÓèÒÔ²¡ÈË»úÐµÍ¨Æø£¬£¬£¬£¬Ö±ÖÁ×ÔÖ÷ºôÎü»Ö¸´¡£¡£¡£¡£¡£¡£¼øÓÚÒÑÓÐÉñ¾¼¡Èâ×è¶ÏÒ©¹ýÃô·´Ó³µÄ±¨¸æ£¬£¬£¬£¬ËäÈ»ÔÚ±¾Æ·ÓÐÊý£¬£¬£¬£¬µ«ÈÔÓ¦ÓèÖØÊÓ(¼û¡¾²»Á¼·´Ó³¡¿)¡£¡£¡£¡£¡£¡£¶Ô¼ÝÊ»ºÍ²Ù×÷»úеÄÜÁ¦µÄÓ°Ï죺½¨ÒéÔÚÓ¦Óñ¾Æ·ÍêÈ«»Ö¸´ºóµÄ24СʱÄÚ£¬£¬£¬£¬²»ÒªÊ¹ÓÃÓÐDZÔÚΣÏյĻúеºÍ¼Ý³µ¡£¡£¡£¡£¡£¡£Ê¹Óñ¾Æ·Ê±´ú£¬£¬£¬£¬Èç·ºÆðÈκβ»Á¼ÊÂÎñºÍ/»ò²»Á¼·´Ó³£¬£¬£¬£¬Çë×ÉѯҽÉú¡£¡£¡£¡£¡£¡£Í¬Ê±Ê¹ÓÃÆäËûÒ©Æ·£¬£¬£¬£¬Çë¼û¸æÒ½Éú¡£¡£¡£¡£¡£¡£Çë·ÅÖÃÓÚ¶ùͯ²»¿É¹»´¥¼°µÄµØ·½¡£¡£¡£¡£¡£¡£
¡¾Ôи¾¼°²¸ÈéÆÚ¸¾Å®ÓÃÒ©¡¿ÏÖÔÚÉÐÎÞ×ã¹»×ÊÁÏ֤ʵ¶¯ÎïijÈËÔÚÈÑÉïÆÚʹÓñ¾Æ·£¬£¬£¬£¬¶ÔÌ¥¶ùÓÐDZÔÚµÄΣº¦£¬£¬£¬£¬µ«¶ÔÈÑÉïÆÚ¸¾Å®Ö»ÓоÖ÷ÖÎҽʦȨºâÀû±×ºó²Å¿ÉʹÓᣡ£¡£¡£¡£¡£ÈéÖÖÐÊÇ·ñº¬Óб¾Æ·»¹²»ÇåÎú¡£¡£¡£¡£¡£¡£ÆÊ¸¹²ú£ºÑо¿Ö¤ÊµÔÚÆÊ¸¹²úÊÖÊõÖУ¬£¬£¬£¬Ê¹Óñ¾Æ·²»Ó¦Áè¼Ý0.1mg/kgÊÇÇå¾²µÄ£¬£¬£¬£¬±¾Æ·²»Ó°ÏìApgar¼Æ·Ö¡¢Ì¥¶ù¼¡ÕÅÁ¦ºÍÐÄ¡¢·ÎµÄµ÷ÀíÄÜÁ¦¡£¡£¡£¡£¡£¡£Æê´øÑªÑù±¾µÄÆÊÎö֤ʵ£¬£¬£¬£¬Ö»ÓÐÉÙÉÙÁ¿µÄ±¾Æ·Í¨¹ýÌ¥ÅÌ£¬£¬£¬£¬¶ÔÌ¥¶ùÎÞÈκβ»Á¼·´Ó³¡£¡£¡£¡£¡£¡£×¢ÖØ£ºÒòÈÑÉﶾѪ֢ʹÓÃÁòËáÃ¾ÖÆ¼ÁµÄ²¡ÈË£¬£¬£¬£¬ÔÚʹÓñ¾Æ·Ê±£¬£¬£¬£¬Éñ¾¼¡Èâ×è¶ÏµÄ»Ö¸´²»Öª×ã¡£¡£¡£¡£¡£¡£ÕâÊÇÓÉÓÚþÑοÉÇ¿»¯Éñ¾¼¡ÈâµÄ×è¶ÏЧӦ¡£¡£¡£¡£¡£¡£Òò´Ë£¬£¬£¬£¬¶Ô½ÓÊÜÁòËáþÖÎÁƵIJ¡ÈË£¬£¬£¬£¬±¾Æ·ÓÃÁ¿ÒªïÔÌ£¬£¬£¬£¬²¢ÇÒÓ¦¸ùé§²ü´¤·´Ó³ÎÈÖØµÎ×¢¡£¡£¡£¡£¡£¡£
¡¾¶ùͯÓÃÒ©¡¿ÓÉÓÚ¶ùͯÉñ¾¼¡ÈâÌÖÂÛµÄÃô¸ÐÐÔ²î±ð£¬£¬£¬£¬ÌØÊâÊǶÔÐÂÉú¶ù(ÖÜΧÒÔÄÚ)ºÍÓ¤¶ù(ËĸöÔÂÒÔÄÚ)£¬£¬£¬£¬Ê״μÁÁ¿0.01-0.02mg/kg¼´¿É£¬£¬£¬£¬Èç²ü´¤·´Ó³Î´ÒÖÖÆµ½90-95%£¬£¬£¬£¬¿ÉÔÙ×·¼Ó¼ÁÁ¿¡£¡£¡£¡£¡£¡£ÔÚÁÙ´²ÊÖÊõÖУ¬£¬£¬£¬ÓÃÒ©¼ÁÁ¿²»Ó¦Áè¼Ý0.1mg/kg¡£¡£¡£¡£¡£¡£5¸öÔÂÖÁ1ËêµÄÓ¤Ó×¶ùËùÐè¼ÁÁ¿Óë³ÉÈËÏàËÆ¡£¡£¡£¡£¡£¡£È»¶ø±¾Æ·ÔÚÐÂÉú¶ùÓëÓ¤¶ùÖÐÆðЧʱ¼ä½Ï³ÉÈËÓë¶ùͯҪ¶Ì¡£¡£¡£¡£¡£¡£ÒÔÊÇ£¬£¬£¬£¬ÏëÒªËõ¶Ì²å¹Üʱ¼ä²¢²»ÐèÒªÔöÌí²å¹Ü¼ÁÁ¿¡£¡£¡£¡£¡£¡£Ïà¹ØÓÚ³ÉÈËÓë¶ùͯ£¬£¬£¬£¬±¾Æ·ÔÚÐÂÉú¶ùÓëÓ¤¼¸ÖÐ×÷Óü°»Ö¸´Ê±¼ä½Ï³¤£¬£¬£¬£¬Î¬³Ö¼ÁÁ¿Ó¦×üõ¡£¡£¡£¡£¡£¡£ÔÚ¶ù¿ÆµÄÓ¦Ó㺡ªÐÂÉú¶ùºÍÓ¤¶ù£¬£¬£¬£¬·úÍéÂé×íÏÂÐÂÉú¶ùºÍÓ¤¶ùµÄED90Óë³ÉÈ˵ĴóÖÂÏàͬ(¡Ö28mg/kg)¡£¡£¡£¡£¡£¡£ÐÂÉú¶ùºÍÓ¤¶ùµÄÆðЧʱ¼ä½Ï¶ùͯºÍ³ÉÈ˶̣¬£¬£¬£¬Õâ¿ÉÄÜÊÇÓÉÓÚÑ»·Ê±¼ä¶ÌºÍÐÄÊä³öÁ¿Ïà¶Ô½Ï´ó£¬£¬£¬£¬²¢ÇÒǰÕßµÄÉñ¾¼¡ÌÖÂÛ¶Ô¼¡ËÉÒ©½ÏÃô¸Ð¡£¡£¡£¡£¡£¡£ÐÂÉú¶ùºÍÓ¤¶ùµÄ×÷Óúͻָ´Ê±¼ä½Ï³ÉÄêÈ˳¤£¬£¬£¬£¬¹Ê±¾Æ·µÄά³Ö¼ÁÁ¿Ó¦ÏìÓ¦ïÔÌ¡£¡£¡£¡£¡£¡£¡ª¶ùͯ£¬£¬£¬£¬·úÍéÂé×íϵĶùͯµÄED90±È³ÉÈ˵ĸß(¡Ö32mg/kg)£¬£¬£¬£¬µ«ÎÞͳ¼ÆÑ§ÎÞÏÔÖø²î±ð¡£¡£¡£¡£¡£¡£Óë³ÉÈËÏà±È£¬£¬£¬£¬Æä×÷Óúͻָ´Ê±¼ä»®·ÖïÔÌ30%ºÍ20%-30%¡£¡£¡£¡£¡£¡£Óë³ÉÈËÀàËÆ£¬£¬£¬£¬ÔÚС¶ù»¼ÕßÖУ¬£¬£¬£¬µ±²ü´¤¸ß¶È»Ö¸´ÖÁ±ÈÕÕÖµµÄ25%ʱ£¬£¬£¬£¬Öظ´×·¼Ó³õʼ¼ÁÁ¿µÄ1/4×÷Ϊά³ÖÓÃÒ©¡£¡£¡£¡£¡£¡£±¾Æ·Öظ´¸øÓèά³Ö¼ÁÁ¿²»»á±¬·¢Ðî»ý×÷Óᣡ£¡£¡£¡£¡£Ö»¹ÜÔÚÐÂÉú¶ù¼°Ó¤¶ùÖÐÆä»Ö¸´Ê±¼ä½Ï³¤£¬£¬£¬£¬µ«²¢²»ÐèҪͨÀýʹÓÃÞ׿¹¼Á¡£¡£¡£¡£¡£¡£ÈôÊÇÓ¦ÓÃÞ׿¹Ò©£¬£¬£¬£¬½«Óë³ÉÈËÒ»ÑùÓÐÓᣡ£¡£¡£¡£¡£
¡¾ÍíÄ껼ÕßÓÃÒ©¡¿È综ÓÐÐÄѪ¹Ü¼²²¡¡¢¸ßÁ䡢ˮÖ׵ȻᵼÖÂÂþÑÜÈÝÁ¿ÔöÌí£¬£¬£¬£¬¾ù¿ÉÄÜÑÓÉìÆðЧʱ¼ä¡£¡£¡£¡£¡£¡£
¡¾Ò©Îï¹ýÁ¿¡¿ÔÚÓÃÒ©¹ýÁ¿¼°Éñ¾¼¡Èâ×èÖÍÑÓÉìµÄÇéÐÎÏ£¬£¬£¬£¬²¡ÈËÓ¦¸øÓè»úÐµÍ¨Æø£¬£¬£¬£¬²¢¸øÓèÊʵ±µÄµ¨¼î֬øÒÖÖÆ¼Á(ÈçÐÂ˹µÄÃ÷¡¢ßÁà¤Ë¹µÄÃ÷¡¢ÌÚϲÁú)×÷ΪÞ׿¹¼Á¡£¡£¡£¡£¡£¡£µ±Ê¹Óõ¨¼î֬øÒÖÖÆ¼Á²»¿É»Ö¸´±¾Æ·µÄÉñ¾¼¡Èâ×÷ÓÃʱ£¬£¬£¬£¬»úÐµÍ¨ÆøÓ¦³ÖÐøÖÁ×ÔÖ÷ºôÎü»Ö¸´¡£¡£¡£¡£¡£¡£Öظ´Ê¹Óõ¨¼î֬øÒÖÖÆ¼ÁÊÇΣÏյġ£¡£¡£¡£¡£¡£
¡¾Ò©Àí¶¾Àí¡¿±¾Æ·Îª¾ºÕùÐÔ·ÇÈ¥¼«»¯¼¡ÈâËÉи¼Á£¬£¬£¬£¬Í¨¹ý¾ºÕùµ¨¼îÄÜÊÜÌåÆð×è¶ÏÒÒõ£µ¨¼îµÄ×÷Óᣡ£¡£¡£¡£¡£Æä×÷ÓÿÉÒÔ±»ÐÂ˹µÄÃ÷µÈ¿¹µ¨¼î֬øҩËùÄæ×ª¡£¡£¡£¡£¡£¡£ÔÚ³õʼ¼ÁÁ¿ÇéÐÎÏ£¬£¬£¬£¬±¬·¢µÄ¼¡ÈâËÉи³ÖÐøÊ±¼ä½Ï¶Ì£¬£¬£¬£¬»Ö¸´¿ì¡£¡£¡£¡£¡£¡£²»ÓÕ·¢×é°·ÊÍ·Å£¬£¬£¬£¬²»ÒýÆðÖ§Æø¹Ü¾·ÂκÍѪѹϽµµÈ¡£¡£¡£¡£¡£¡£
¡¾Ò©´ú¶¯Á¦Ñ§¡¿Ò©¶¯Ñ§Çк϶þÊÒ¿ª·ÅÄ£×Ó£¬£¬£¬£¬ÂþÑÜt1/2ԼΪ4·ÖÖÓ£¬£¬£¬£¬Ïû³ýt1/2ԼΪ30¡« 80·ÖÖÓ£¬£¬£¬£¬Æ½¾ùÎÈ̬ѪҩŨ¶ÈΪ0.137¦Ìg/ml¡£¡£¡£¡£¡£¡£¸øÒ©ºóÔ¼1-3·ÖÖÓ¼¡Èâ×îÏÈËÉи£¬£¬£¬£¬³ÖÐø20-30·ÖÖÓ¡£¡£¡£¡£¡£¡£¾²Âö×¢Éäºó£¬£¬£¬£¬ÆäÂþÑܰëË¥ÆÚԼĪΪ2.2(¡À1.4)·ÖÖÓ¡£¡£¡£¡£¡£¡£Ö÷ÒªÂþÑÜÓÚϸ°ûÍâÒº¡£¡£¡£¡£¡£¡£ÎÈ̬ʱ£¬£¬£¬£¬ÆäÂþÑÜÈÝ»ý³ÉÈËÆ½¾ùΪ0.27L/kg£¬£¬£¬£¬ÆäѪ½¬É¨³ýÂÊΪ5.2(¡À0.7)ml/kg/min¡£¡£¡£¡£¡£¡£Ñª½¬É¨³ý°ëË¥ÆÚƽ¾ùΪ71(¡À20)·ÖÖÓ¡£¡£¡£¡£¡£¡£Æä´úлˮƽÏà¶Ô½ÏµÍ¡£¡£¡£¡£¡£¡£ÈËÌ嵨ֺÍÄòÖеÄ3-ôÇ»ùÑÜÉúÎïÊÇÆä´úл²úÆ·£¬£¬£¬£¬¼¡ËÉЧÁ¦Ô¼ÄªÎª±¾Æ·µÄ50%¡£¡£¡£¡£¡£¡£ÔÚÎÞ¸ÎË¥»òÉöË¥µÄ²¡ÈËÖУ¬£¬£¬£¬ÕâÖÖ´úл²úÆ·µÄѪ½¬Å¨¶È¼«µÍ¡£¡£¡£¡£¡£¡£Ö÷ÒªÒÔÕæÏàºÍ´úлÎïµÄÐÎʽ¾µ¨ÖÇãÔþ£¬£¬£¬£¬Ð¡²¿·ÖÓÉÉöÔàÇãÔþ¡£¡£¡£¡£¡£¡£Ô¼Äª40¡«80%ÒÔµ¥¼¾ï§ÐÎʽ¾µ¨ÖÉøÍ¸£¬£¬£¬£¬ÆäÖÐ95%Ϊ±¾Æ·ÔÐÍ£¬£¬£¬£¬5%Ϊ3-ôÇ»ùä廯ά¿âäåï§¡£¡£¡£¡£¡£¡£ÒòÓÉÉöÔàÇãÔþºÜÉÙ£¬£¬£¬£¬¾°òë×Äڲ嵼¹ÜÍøÂçµ½µÄ24СʱÄòÁ¿£¬£¬£¬£¬Æ½¾ùº¬ÓÐ30%µÄ¾²×¢ä廯ά¿âäåï§¡£¡£¡£¡£¡£¡£
¡¾Öü²Ø¡¿Ãܱգ¬£¬£¬£¬ÔÚÒõÁ¹(²»Áè¼Ý20¡æ)´¦ÉúÑÄ¡£¡£¡£¡£¡£¡£
¡¾°ü×°¡¿Î÷ÁÖÆ¿×°¡£¡£¡£¡£¡£¡£10Ö§/ºÐ¡£¡£¡£¡£¡£¡£
¡¾ÓÐÓÃÆÚ¡¿24¸öÔÂ
¡¾Ö´Ðбê×¼¡¿¹ú¼ÒʳÎïÒ©Æ·¼àÊÓÖÎÀí¾Ö±ê×¼YBH15812006¡¶ÖйúÒ©µä¡·2020°æµÚ¶þ²¿
¡¾Åú×¼Îĺš¿¹úÒ©×¼×ÖH20065437
¡¾ÉÏÊÐÔÊÐí³ÖÓÐÈË¡¿Ãû³Æ£ºÉ½Î÷tyc41183Ì«Ñô³É¼¯ÍÅÌ©Ê¢ÖÆÒ©ÓÐÏÞ¹«Ë¾
×¢²áµØµã£ºÉ½Î÷Ê¡´óͬÊо¼ÃÊÖÒÕ¿ª·¢ÇøµÚÒ»Ò½Ò©Ô°Çø
¡¾Éú²úÆóÒµ¡¿ÆóÒµÃû³Æ£ºÉ½Î÷tyc41183Ì«Ñô³É¼¯ÍÅÌ©Ê¢ÖÆÒ©ÓÐÏÞ¹«Ë¾
Éú²úµØµã£ºÉ½Î÷Ê¡´óͬÊо¼ÃÊÖÒÕ¿ª·¢ÇøµÚÒ»Ò½Ò©Ô°Çø
ÓÊÕþ±àÂ룺037300
µç»°ºÅÂ룺0352-7290991
´«ÕæºÅÂ룺0352-7290990

¡¾Ò©Æ·Ãû³Æ¡¿Í¨ÓÃÃû³Æ£º×¢ÉäÓÃά¿âäåï§
Ó¢ÎÄÃû³Æ£ºVecuronium Bromide for Injection
ººÓïÆ´ÒôÃû£ºZhusheyong Weikuxiu'an
¡¾³É·Ý¡¿±¾Æ·Ö÷Òª³É·ÝΪά¿âäåï§£¬£¬£¬£¬Æä»¯Ñ§Ãû³ÆÎªä廯1-[3¦Á£¬£¬£¬£¬17¦Â-¶þÒÒõ£Ñõ»ù-2-¦Â(1-ßßऻù)-5¦Á-ÐÛçÞÍé-16¦Â-»ù]-1-¼×»ùßßड£¡£¡£¡£¡£¡£
Æä½á¹¹Ê½Îª£º

·Ö×Óʽ£ºC34H57BrN2O4
·Ö×ÓÁ¿£º637.73
¡¾ÐÔ×´¡¿±¾Æ·Îª°×É«»òÀà°×É«ËÉÉ¢×´Îï¡£¡£¡£¡£¡£¡£
¡¾Ë³Ó¦Ö¢¡¿Ö÷Òª×÷ΪȫÉíÂé×í¸¨ÖúÓÃÒ©£¬£¬£¬£¬ÓÃÓÚÈ«ÂéʱµÄÆø¹Ü²å¹Ü¼°ÊÖÊõÖеÄËÉи¼¡Èâ¡£¡£¡£¡£¡£¡£
¡¾¹æ¸ñ¡¿4mg
¡¾Ó÷¨ÓÃÁ¿¡¿±¾Æ·½ö¹©¾²Âö×¢Éä»ò¾²ÂöµÎעʹÓᣡ£¡£¡£¡£¡£²å¹Ü¼ÁÁ¿£º0.08-0.1mg/kg¡£¡£¡£¡£¡£¡£ÓÃçúçêõ£µ¨¼îÐÐÆø¹Ü²å¹ÜºóËùÐèµÄÊ״μÁÁ¿£º±¾Æ·0.03-0.05mg/kgÈôÊÇÓ¦ÓÃçúçêõ£µ¨¼î²å¹Üʱ£¬£¬£¬£¬Ó¦´ý¶Ô»¼ÕßÁÙ´²×÷ÓÃÏûÍ˺óÔÙʹÓñ¾Æ·¡£¡£¡£¡£¡£¡£Î¬³Ö¼ÁÁ¿£º±¾Æ·0.02-0.03mg/kg×îÐÒ¿÷²ü´¤¸ß¶È»Ö¸´µ½±ÈÕÕÖµµÄ25%ʱÔÙ×·¼Óά³Ö¼ÁÁ¿¡£¡£¡£¡£¡£¡£ÈçÆäËûÉñ¾¼¡Èâ×è¶ÏÒ©Ò»Ñù£¬£¬£¬£¬ÆäÓÃÁ¿Ó¦Ë没È˶øÒì¡£¡£¡£¡£¡£¡£ÁíÍ⣬£¬£¬£¬Âé×íÒªÁì¡¢ÊÖÊõʱ¼ä¡¢Êõǰ»òÂé×íÊÖÊõÖÐʹÓÃÆäËûÒ©ÎïµÄÓ°ÏìºÍ²¡È˵Ä״̬¶¼Ðè¼ÓÒÔ˼Á¿¡£¡£¡£¡£¡£¡£Ó¦Ê¹ÓÃÄ©ÉÒÉñ¾´Ì¼¤Æ÷¼à²âÉñ¾¼¡Èâ×èÖͼ°»Ö¸´Ë®Æ½¡£¡£¡£¡£¡£¡£»£»£»ò×ñÒ½Öö¡£¡£¡£¡£¡£¡£
¡¾²»Á¼·´Ó³¡¿ÏÂÁÐÓÉά¿âäåï§Ëù±¬·¢µÄÒ©Îï²»Á¼·´Ó³ÔÚ²úÆ·µÄÉÏÊкó¼à²âÖб¨¸æ£¬£¬£¬£¬±¬·¢ÂʺÜÊÇÓÐÊý£¬£¬£¬£¬µÍÓÚ1/10000¡£¡£¡£¡£¡£¡£1¡¢Éñ¾¼¡Èâ×èÖÍ×÷ÓÃÑÓÉì·ÇÈ¥¼«»¯×è¶ÏÒ©Îï×î³£¼ûµÄ²»Á¼·´Ó³ÊÇÒ©ÎïµÄÒ©Àí×÷ÓÃÑÓÉ죬£¬£¬£¬Áè¼ÝÁËËùÐèÒªµÄ×÷ÓÃʱ¼ä¡£¡£¡£¡£¡£¡£ÕâÖÖ×÷ÓûáÓвî±ðµÄÁÙ´²ÌåÏÖ£¬£¬£¬£¬´Ó¼¡ÎÞÁ¦µ½Òò³¤Ê±¼äµÄÉî¶È¼¡Âéľ¶øµ¼ÖºôÎü¹¦Ð§²»È«»òȱÑõ¡£¡£¡£¡£¡£¡£2¡¢¹ýÃô·´Ó³Ö»¹Ü°üÀ¨±¾Æ·ÔÚÄÚµÄÉñ¾¼¡Èâ×è¶ÏÒ©±¬·¢ÑÏÖØ¹ýÃô·´Ó³µÄ²¡ÀýºÜÊÇÓÐÊý£¬£¬£¬£¬µ«ÁÙ´²ÒÑÓб¨µÀ£¬£¬£¬£¬·ºÆðµÄ¹ýÃô/Àà¹ýÃô·´Ó³°üÀ¨£ºÖ§Æø¹Ü¾·ÂΣ¬£¬£¬£¬ÐÄѪ¹Ü¸Ä±ä(ÀýÈ磺µÍѪѹ£¬£¬£¬£¬Ð͝¹ýËÙ£¬£¬£¬£¬Ñ»·Ë¥½ßÉõÖÁÐÝ¿Ë)£¬£¬£¬£¬Æ¤·ô¸Ä±ä(ÀýÈçѪ¹ÜÉñ¾ÐÔË®Ö×£¬£¬£¬£¬Ý¡ÂéÕî)¡£¡£¡£¡£¡£¡£ÕâЩ·´Ó³ÔÚijЩ²¡ÀýÉõÖÁÊÇÖÂËÀÐԵġ£¡£¡£¡£¡£¡£¼øÓÚÕâЩ·´Ó³¿ÉÄܵÄÑÏÖØÐÔ£¬£¬£¬£¬ÁÙ´²Ò½ÉúÓ¦¼Ù¶¨²»Á¼·´Ó³»á±¬·¢£¬£¬£¬£¬²¢½ÓÄÉÐëÒªµÄÔ¤·À²½·¥¡£¡£¡£¡£¡£¡£3¡¢×é°·ÊÍ·ÅÓëÀà×é°··´Ó³ÖÚËùÖÜÖª£¬£¬£¬£¬Éñ¾¼¡Èâ×è¶ÏÒ©Îï¶Ô¾Ö²¿×¢É䲿λ¼°È«ÉíÓÕµ¼×éÖ¯°·ÊÍ·Å£¬£¬£¬£¬Òò´ËÔÚʹÓÃÕâЩҩÎïµÄÀú³ÌÖУ¬£¬£¬£¬Ó¦¸Ã˼Á¿µ½¿ÉÄܻᱬ·¢×¢É䲿λµÄɦÑ÷¼°ºì°ß·´Ó³ºÍ/»òÈ«ÉíÐÔÀà×é°·(Àà¹ýÃô)·´Ó³(Ò²¿É°Ý¼ûÉÏÊö¹ýÃô·´Ó³)¡£¡£¡£¡£¡£¡£Æ¤ÄÚ×¢É䱾ƷµÄÊÔÑéÑо¿Åú×¢£¬£¬£¬£¬¸ÃÒ©½öÒýÆð¾Ö²¿ÉÔ΢µÄ×éÖ¯°·ÊÍ·Å¡£¡£¡£¡£¡£¡£ÔÚÈËÌåµÄ±ÈÕÕÑо¿ÖУ¬£¬£¬£¬Òàδ֤ʵ¾²Âö×¢É䱾Ʒºó£¬£¬£¬£¬Ñª½¬×éÖ¯°·Ë®Æ½ÓÐÏÔ×ÅÉý¸ß¡£¡£¡£¡£¡£¡£Ö»¹ÜÔÆÔÆ£¬£¬£¬£¬ÔÚ¸ÃÒ©ÆÕ±éÓ¦ÓõÄÇéÐÎÏ£¬£¬£¬£¬ÈÔżÓÐÕâÀà·´Ó³±¬·¢µÄ±¨µÀ¡£¡£¡£¡£¡£¡£
¡¾½û¼É¡¿¶Ô±¾Æ·»òäåÀë×ÓÓйýÃôÊ·Õß½ûÓᣡ£¡£¡£¡£¡£
¡¾×¢ÖØÊÂÏî¡¿¡ª·ÊÅÖ²¡ÈË£¬£¬£¬£¬ÓÃÁ¿×üõ¡£¡£¡£¡£¡£¡£¡ªÎüÈëÂé×íÒ©ÄÜÇ¿»¯Æä×÷Óᣡ£¡£¡£¡£¡£Ê¹ÓÃÎüÈëÂé×íҩʱ£¬£¬£¬£¬Ó¦ïÔÌÆäÓÃÁ¿£¬£¬£¬£¬¼û¡¾Ò©ÎïÏ໥×÷Óá¿¡£¡£¡£¡£¡£¡£¡ªÓÐЩ»¼Õß¿ÉÄÜÐèҪʹÓýϸߵļÁÁ¿£¬£¬£¬£¬Ö»ÒªÎ¬³ÖºÏÊʵĻúÐµÍ¨Æø£¬£¬£¬£¬ÔÚʹÓÃÓ÷úÍéÂé×íºÍÉñ¾°²¶¨Õò¾²Âé×íʱÊ״μÁÁ¿¿ÉΪ0.15-0.3mg/kgÖ®¼ä£¬£¬£¬£¬¶øÎÞÐÄѪ¹Ü¸±×÷Óᣡ£¡£¡£¡£¡£´ÓҩЧѧµÄ¿´·¨¿´£¬£¬£¬£¬Ê¹Óýϴó¼ÁÁ¿µÄ±¾Æ·¿ÉËõ¶ÌÆðЧʱ¼ä£¬£¬£¬£¬ÑÓÉì×÷ÓÃʱ¼ä¡£¡£¡£¡£¡£¡£¡ªÆÊ¸¹²úºÍÐÂÉú¶ùÊÖÊõµÄ¼ÁÁ¿²»Ó¦¸ÃÁè¼Ý0.1mg/kg¡£¡£¡£¡£¡£¡£ÓÉÓÚÉñ¾¼¡Èâ×è¶ÏÒ©ÔÚ¸øÒ©ºó¿ÉÄܻᱬ·¢¹ýÃô·´Ó³£¬£¬£¬£¬Òò´Ë£¬£¬£¬£¬Ê¼ÖÕÓ¦Õë¶ÔÕâÖÖ·´Ó³¸øÓèÐëÒªµÄÔ¤·À²½·¥¡£¡£¡£¡£¡£¡£ÓÉÓÚ¹ØÓÚÉñ¾¼¡Èâ×è¶ÏÒ©Ö®¼äµÄ½»Ö¯¹ýÃô·´Ó³ÒÑÓб¨¸æ£¬£¬£¬£¬ÒÔÊÇ£¬£¬£¬£¬ÌØÊâÊǶÔÒÔǰһ¾±¬·¢¹ýÒòÉñ¾¼¡Èâ×è¶ÏÒ©¶øÒýÆðµÄ¹ýÃô·´Ó³»¼Õߣ¬£¬£¬£¬¸üÊÇÐèÒªÌá¹©ÌØ±ðµÄÔ¤·À²½·¥¡£¡£¡£¡£¡£¡£ÓÉÓÚ±¾Æ·ÔÚÁÙ´²¼ÁÁ¿¹æÄ£ÄÚ²»»á¶ÔÐÄѪ¹Üϵͳ±¬·¢Ó°Ï죬£¬£¬£¬Òò´Ë£¬£¬£¬£¬Ëü²»»á¶ÔÒòÊÖÊõÀú³ÌÖÐʹÓÃijЩÀàÐ͵ÄÂé×í¼ÁºÍÑ»Æ¬ÖÆ¼Á»òÊÇÒòÃÔ×ßÉñ¾·´ÉäËùÒýÆðµÄÐ͝¹ý»ºÆðµ½»º½â×÷Óᣡ£¡£¡£¡£¡£Òò´Ë£¬£¬£¬£¬ÖØÐÂÆÀ¼ÛÃÔ×ßÉñ¾ÒÖÖÆ¼Á(ÀýÈ磺ÔÚÂé×íǰ»òÊÇÂé×íÓÕµ¼Ê±ËùʹÓõİ¢ÍÐÆ·)µÄʹÓúÍ/»òÓÃÒ©¼ÁÁ¿£¬£¬£¬£¬¹ØÓÚ¾³£¿£¿£¿ÉÄܱ¬·¢ÃÔ×ßÉñ¾·´Ó³µÄÊÖÊõÀú³Ì£¨ÀýÈ磺ÒÑÖªÔÚÊÖÊõÀú³ÌÖÐËùʹÓõÄÂé×íÒ©Îï¾ßÓÐÃÔ×ßÉñ¾´Ì¼¤Ð§Ó¦£¬£¬£¬£¬»òÊÇÑÛ¿ÆÊÖÊõ¡¢¸¹²¿ÊÖÊõ¡¢¸ØÃÅÖ±³¦ÊÖÊõµÈ)¿ÉÄÜ»áÓÐÒ»¶¨ÒâÒå¡£¡£¡£¡£¡£¡£¹ØÓÚ±¾Æ·ÔÚÖØÖ¢¼à»¤²¡·¿(ICU)ÄÚµÄʹÓ÷½Ã棬£¬£¬£¬ÏÖÔÚÉÐȱ·¦×ã¹»µÄ×ÊÁϸø³ö½¨Òé¡£¡£¡£¡£¡£¡£ÒÑÓб¨µÀ£¬£¬£¬£¬Í¨³£ÔÚÖØÖ¢¼à»¤²¡·¿(ICU)ÄÚºã¾ÃʹÓü¡ËÉÒ©ºó£¬£¬£¬£¬»áʹÂéľºÍ/»ò¹Ç÷À¼¡ÎÞÁ¦µÄʱ¼äÑÓÉ죬£¬£¬£¬ÎªÁËÓÐÖúÓÚÏû³ýÒòÉñ¾¼¡Èâ×è¶ÏÒ©ºÍ/»òÓÃÒ©¹ýÁ¿Ëù¿ÉÄÜÒýÆðµÄÑÓÉìЧӦ£¬£¬£¬£¬Ç¿ÁÒ½¨ÒéÔÚʹÓü¡ËÉÒ©µÄÕû¸öÀú³ÌÖжÔÉñ¾¼¡ÈâÖ®¼äµÄת´ïÇéÐξÙÐмà²â¡£¡£¡£¡£¡£¡£ÁíÍ⣬£¬£¬£¬»¼Õß»¹Ó¦¸Ã½ÓÊÜÊʵ±µÄÕòÍ´ºÍÕò¾²¼ÁÖÎÁÆ¡£¡£¡£¡£¡£¡£ÔÙÕߣ¬£¬£¬£¬¼¡ËÉÒ©Ó¦¸ÃÓÉÊìϤÕâЩҩÎï×÷ÓõÄÓÐÂÄÀúµÄÁÙ´²Ò½Éú¾ÙÐУ¬£¬£¬£¬»òÊÇÔÚÕâЩҽÉúµÄÖ¸µ¼Ï£¬£¬£¬£¬Í¬Ê±»¹Ó¦¸Ã½ÓÄÉÊʵ±µÄÉñ¾¼¡Èâ¼à²âÊÖÒÕ¡£¡£¡£¡£¡£¡£ÓÉÓÚ±¾Æ·Í¨³£ÒªÓëÆäËûÒ©ÎïÒ»ÆðʹÓ㬣¬£¬£¬Í¬Ê±ÔÚÂé×íÀú³ÌÖпÉÄܱ¬·¢¶ñÐÔ¸ßÈÈ£¬£¬£¬£¬Òò´Ë£¬£¬£¬£¬×ÝÈ»ÔÚûÓÐÒÑÖªÖÂÈÈÒòËØ±£´æµÄÇéÐÎÏ£¬£¬£¬£¬ÁÙ´²Ò½ÉúÒ²Ó¦¸ÃÔÚ×îÏÈÂé×íǰ£¬£¬£¬£¬¶Ô¶ñÐÔ¸ßÈȵÄÔçÆÚÕ÷Ïó¡¢È·ÕïÒªÁìÒÔ¼°ÖÎÁƲ½·¥ÁËÈ»ÓÚÐØ¡£¡£¡£¡£¡£¡£ÒÔϼ²²¡¿ÉÄÜÓ°Ï챾ƷµÄÒ©´ú¶¯Á¦Ñ§ºÍ/»òҩЧѧ£»£»£»1¡¢¸ÎºÍ(»ò)µ¨µÀ¼²²¡ Ö»¹Üά¿âäåï§Ö÷ÒªÊÇͨ¹ýµ¨µÀÏµÍ³ÉøÍ¸£¬£¬£¬£¬ÔÚ»¼ÓиÎÔàºÍ/»òµ¨µÀϵͳ¼²²¡µÄ»¼ÕßÖУ¬£¬£¬£¬±¾Æ·ËùÒýÆðµÄÉñ¾¼¡Èâ×èÖÍ×÷ÓÃÒ»°ãÇéÐÎϽöÓÐÖжȸı䡣¡£¡£¡£¡£¡£²¢ÇÒÕâЩ¸Ä±äÓмÁÁ¿ÒÀÀµÐÔ¡£¡£¡£¡£¡£¡£ºÍÕý³£»£»£»¼ÕßÏà±È¡£¡£¡£¡£¡£¡£¼ÁÁ¿Îª0.1mg/kgά¿âäåï§Ê±£¬£¬£¬£¬Ò©ÎïµÄÆðЧʱ¼äÑÓÉìºÍ×÷ÓõijÖÐøÊ±¼äËõ¶ÌÊÇÉÔ΢µÄ£¬£¬£¬£¬ÕâЩת±äÎÞͳ¼ÆÑ§²î±ð¡£¡£¡£¡£¡£¡£µ±¼ÁÁ¿»®·ÖµÖ´ï0.15mg/kgºÍ0.2mg/kg ά¿âäåï§Ê±£¬£¬£¬£¬Ò©ÎïÆðЧʱ¼äµÄÑÓÉìÈÔÈ»ºÜ²»ÏÔ×Å(0.15mg/kg)»ò»ù´¡ÎÞת±ä(0.2mg/kg)oÔÚ0.15mg/kg ÌåÖØ×éÖУ¬£¬£¬£¬Ã»Óз¢Ã÷Ò©Îï×÷ÓõijÖÐøÊ±¼äÓÐÈκÎת±ä¶øÔÚ0.2mg/kg ÌåÖØ×éÖУ¬£¬£¬£¬ÊӲ쵽ҩÎï×÷ÓõijÖÐøÊ±¼äºÍ»Ö¸´Ê±¼äÏÔÖøÑÓÉì¡£¡£¡£¡£¡£¡£2¡¢Éö¹¦Ð§Ë¥½ß ±¾Æ·ÓÃÓÚÉö¹¦Ð§Ë¥½ßµÄ»¼Õßʱ£¬£¬£¬£¬Ö»±¨µÀÆäҩЧѧ²ÎÊý»á±¬·¢ÉÔ΢¸Ä±ä¡£¡£¡£¡£¡£¡£ÔÚÉö¹¦Ð§Ë¥½ß»¼ÕßµÄÌåÄÚ£¬£¬£¬£¬±¾Æ·µÄÒ©Îï×÷ÓÿÉÄÜ»áÊܵ½Ò»¶¨Ë®Æ½µÄÒÖÖÆ¡£¡£¡£¡£¡£¡£µ±±¾Æ·ÓÃÓÚÉö¹¦Ð§Ë¥½ßµÄ»¼ÕßʱҩÎïµÄÆðЧʱ¼äºÍ»Ö¸´Ê±¼ä¿ÉÄÜ»áÂÔÓÐÑÓÉì¡£¡£¡£¡£¡£¡£¿ÉÊDz»»á±¬·¢ÁÙ´²Ó°Ïì¡£¡£¡£¡£¡£¡£3¡¢Ñ»·Ê±¼äÑÓÉì ÓëÑ»·Ê±¼äÑÓÉìÓйصÄÖÖÖÖÇéÐΣ¬£¬£¬£¬ÀýÈçÐÄѪ¹Ü¼²²¡¡¢¸ßÁ䡢ˮÖ׵ȵ¼ÖÂÂþÑÜÈÝÁ¿Ôö´ó£¬£¬£¬£¬¾ù¿ÉÄÜ»áʹÉñ¾¼¡Èâ×èÖÍÒ©µÄÆðЧʱ¼äÑÓÉì¡£¡£¡£¡£¡£¡£4¡¢Éñ¾¼¡Èâ¼²²¡ ÀàËÆÓÚÆäËûÉñ¾¼¡Èâ×èÖÍÒ©£¬£¬£¬£¬±¾Æ·ÔÚÓÃÓÚ»¼ÓÐÉñ¾¼¡Èâ¼²²¡»òÒ»¾»¼ÓÐС¶ùÂéľ֢µÄ»¼ÕßʱӦÎÈÖØ£¬£¬£¬£¬ÓÉÓÚÕâЩÇéÐÎÏ£¬£¬£¬£¬»¼Õß¶ÔÉñ¾¼¡Èâ×èÖÍÒ©µÄ·´Ó³¿ÉÄܻᱬ·¢ÏÔןı䡣¡£¡£¡£¡£¡£ÕâÖÖת±äµÄ·ù¶È¼°¸Ä±äÆ«Ïò¿ÉÄÜÓкܴó²î±ð¡£¡£¡£¡£¡£¡£¹ØÓÚ»¼ÓÐÖØÖ¢¼¡ÎÞÁ¦»ò(Eaton Lambert)¼¡ÎÞÁ¦×ÛºÏÖ¢»¼Õߣ¬£¬£¬£¬Ð¡¼ÁÁ¿µÄ±¾Æ·¾Í¿ÉÄܻᱬ·¢¼«Ç¿µÄ¹¦Ð§£¬£¬£¬£¬Òò´ËÓ¦¸Ã»ºÂýµÎ¶¨±¾Æ·Ö±ÖÁ·ºÆð·´Ó³ÎªÖ¹¡£¡£¡£¡£¡£¡£5¡¢µÍΠµÍÎÂÏÂÊÖÊõ£¬£¬£¬£¬±¾Æ·µÄÉñ¾¼¡Èâ×èÖÍЧӦ»áÓÐËùÑÓÉì¡£¡£¡£¡£¡£¡£6¡¢·ÊÅÖ ÓëÆäËüµÄÉñ¾¼¡Èâ×è¶ÏÒ©Ò»Ñù£¬£¬£¬£¬µ±Æ¾Ö¤»¼ÕßµÄÏÖʵÌåÖØÅÌËã¸øÒ©¼ÁÁ¿Ê±£¬£¬£¬£¬±¾Æ·ÔÚ·ÊÅÖÕßÌåÄÚÒ²»áÌåÏÖ³öÒ©Îï×÷ÓóÖÐøÊ±¼äºÍ»Ö¸´×ÔÖ÷Ô˶¯µÄʱ¼ä¾ùÓÐËùÑÓÉìµÄÕ÷Ï󡣡£¡£¡£¡£¡£7¡¢ÉÕÉË ÒÑÖªÉÕÉËÕß¶Ô·ÇÈ¥¼«»¯Ò©Îï¾ßÓÐÒ»¶¨µÄÄÍÊÜÐÔ£¬£¬£¬£¬Òò´Ë½¨Ò黺ÂýµÎ¶¨Ò©ÎïÖ±ÖÁ·ºÆð·´Ó³ÎªÖ¹¡£¡£¡£¡£¡£¡£¿£¿£¿ÉÒÔʹ±¾Æ·×÷ÓÃÔöÇ¿µÄÇéÐÎÓУºµÍ¼ØÑªÖ¢(ÀýÈ磺±¬·¢Ç¿ÁÒÍÂÄæ¡¢¸¹Ðº»ò¾ÓÉÀûÄò¼ÁÖÎÁƺó)¡¢¸ßþѪ֢¡¢µÍ¸ÆÑªÖ¢(¾ÓÉ´ó×ÚÊäѪºó)¡¢µÍÂѰ×Ѫ֢¡¢ÍÑË®¡¢ËáÖж¾¡¢¸ß̼ËáѪ֢ÒÔ¼°¶ñÒºÖÊ¡£¡£¡£¡£¡£¡£Òò´ËÑÏÖØµÄµç½âÖÊʧºâ£¬£¬£¬£¬ÑªÒºpHÖµ±¬·¢¸Ä±ä»òÊÇÍÑË®¾ùÓ¦Æð¾¢¾ÀÕý¡£¡£¡£¡£¡£¡£ÓëÆäËüÉñ¾¼¡Èâ×è¶ÏÒ©µÄʹÓÃÒ»Ñù£¬£¬£¬£¬±¾Æ·Ó¦ÓÉÊìϤ¸ÃÒ©×÷ÓûúÖÆµÄÓÐÂÄÀúµÄÁÙ´²Ò½ÉúʹÓ㬣¬£¬£¬»òÊÇÔÚÕâЩҽÉúµÄÖ¸µ¼ÏÂʹÓᣡ£¡£¡£¡£¡£ÓÉÓÚ¸ÃҩʹºôÎü¼¡ËÉи£¬£¬£¬£¬Ê¹ÓÃʱӦÓèÒÔ²¡ÈË»úÐµÍ¨Æø£¬£¬£¬£¬Ö±ÖÁ×ÔÖ÷ºôÎü»Ö¸´¡£¡£¡£¡£¡£¡£¼øÓÚÒÑÓÐÉñ¾¼¡Èâ×è¶ÏÒ©¹ýÃô·´Ó³µÄ±¨¸æ£¬£¬£¬£¬ËäÈ»ÔÚ±¾Æ·ÓÐÊý£¬£¬£¬£¬µ«ÈÔÓ¦ÓèÖØÊÓ(¼û¡¾²»Á¼·´Ó³¡¿)¡£¡£¡£¡£¡£¡£¶Ô¼ÝÊ»ºÍ²Ù×÷»úеÄÜÁ¦µÄÓ°Ï죺½¨ÒéÔÚÓ¦Óñ¾Æ·ÍêÈ«»Ö¸´ºóµÄ24СʱÄÚ£¬£¬£¬£¬²»ÒªÊ¹ÓÃÓÐDZÔÚΣÏյĻúеºÍ¼Ý³µ¡£¡£¡£¡£¡£¡£Ê¹Óñ¾Æ·Ê±´ú£¬£¬£¬£¬Èç·ºÆðÈκβ»Á¼ÊÂÎñºÍ/»ò²»Á¼·´Ó³£¬£¬£¬£¬Çë×ÉѯҽÉú¡£¡£¡£¡£¡£¡£Í¬Ê±Ê¹ÓÃÆäËûÒ©Æ·£¬£¬£¬£¬Çë¼û¸æÒ½Éú¡£¡£¡£¡£¡£¡£Çë·ÅÖÃÓÚ¶ùͯ²»¿É¹»´¥¼°µÄµØ·½¡£¡£¡£¡£¡£¡£
¡¾Ôи¾¼°²¸ÈéÆÚ¸¾Å®ÓÃÒ©¡¿ÏÖÔÚÉÐÎÞ×ã¹»×ÊÁÏ֤ʵ¶¯ÎïijÈËÔÚÈÑÉïÆÚʹÓñ¾Æ·£¬£¬£¬£¬¶ÔÌ¥¶ùÓÐDZÔÚµÄΣº¦£¬£¬£¬£¬µ«¶ÔÈÑÉïÆÚ¸¾Å®Ö»ÓоÖ÷ÖÎҽʦȨºâÀû±×ºó²Å¿ÉʹÓᣡ£¡£¡£¡£¡£ÈéÖÖÐÊÇ·ñº¬Óб¾Æ·»¹²»ÇåÎú¡£¡£¡£¡£¡£¡£ÆÊ¸¹²ú£ºÑо¿Ö¤ÊµÔÚÆÊ¸¹²úÊÖÊõÖУ¬£¬£¬£¬Ê¹Óñ¾Æ·²»Ó¦Áè¼Ý0.1mg/kgÊÇÇå¾²µÄ£¬£¬£¬£¬±¾Æ·²»Ó°ÏìApgar¼Æ·Ö¡¢Ì¥¶ù¼¡ÕÅÁ¦ºÍÐÄ¡¢·ÎµÄµ÷ÀíÄÜÁ¦¡£¡£¡£¡£¡£¡£Æê´øÑªÑù±¾µÄÆÊÎö֤ʵ£¬£¬£¬£¬Ö»ÓÐÉÙÉÙÁ¿µÄ±¾Æ·Í¨¹ýÌ¥ÅÌ£¬£¬£¬£¬¶ÔÌ¥¶ùÎÞÈκβ»Á¼·´Ó³¡£¡£¡£¡£¡£¡£×¢ÖØ£ºÒòÈÑÉﶾѪ֢ʹÓÃÁòËáÃ¾ÖÆ¼ÁµÄ²¡ÈË£¬£¬£¬£¬ÔÚʹÓñ¾Æ·Ê±£¬£¬£¬£¬Éñ¾¼¡Èâ×è¶ÏµÄ»Ö¸´²»Öª×ã¡£¡£¡£¡£¡£¡£ÕâÊÇÓÉÓÚþÑοÉÇ¿»¯Éñ¾¼¡ÈâµÄ×è¶ÏЧӦ¡£¡£¡£¡£¡£¡£Òò´Ë£¬£¬£¬£¬¶Ô½ÓÊÜÁòËáþÖÎÁƵIJ¡ÈË£¬£¬£¬£¬±¾Æ·ÓÃÁ¿ÒªïÔÌ£¬£¬£¬£¬²¢ÇÒÓ¦¸ùé§²ü´¤·´Ó³ÎÈÖØµÎ×¢¡£¡£¡£¡£¡£¡£
¡¾¶ùͯÓÃÒ©¡¿ÓÉÓÚ¶ùͯÉñ¾¼¡ÈâÌÖÂÛµÄÃô¸ÐÐÔ²î±ð£¬£¬£¬£¬ÌØÊâÊǶÔÐÂÉú¶ù(ÖÜΧÒÔÄÚ)ºÍÓ¤¶ù(ËĸöÔÂÒÔÄÚ)£¬£¬£¬£¬Ê״μÁÁ¿0.01-0.02mg/kg¼´¿É£¬£¬£¬£¬Èç²ü´¤·´Ó³Î´ÒÖÖÆµ½90-95%£¬£¬£¬£¬¿ÉÔÙ×·¼Ó¼ÁÁ¿¡£¡£¡£¡£¡£¡£ÔÚÁÙ´²ÊÖÊõÖУ¬£¬£¬£¬ÓÃÒ©¼ÁÁ¿²»Ó¦Áè¼Ý0.1mg/kg¡£¡£¡£¡£¡£¡£5¸öÔÂÖÁ1ËêµÄÓ¤Ó×¶ùËùÐè¼ÁÁ¿Óë³ÉÈËÏàËÆ¡£¡£¡£¡£¡£¡£È»¶ø±¾Æ·ÔÚÐÂÉú¶ùÓëÓ¤¶ùÖÐÆðЧʱ¼ä½Ï³ÉÈËÓë¶ùͯҪ¶Ì¡£¡£¡£¡£¡£¡£ÒÔÊÇ£¬£¬£¬£¬ÏëÒªËõ¶Ì²å¹Üʱ¼ä²¢²»ÐèÒªÔöÌí²å¹Ü¼ÁÁ¿¡£¡£¡£¡£¡£¡£Ïà¹ØÓÚ³ÉÈËÓë¶ùͯ£¬£¬£¬£¬±¾Æ·ÔÚÐÂÉú¶ùÓëÓ¤¼¸ÖÐ×÷Óü°»Ö¸´Ê±¼ä½Ï³¤£¬£¬£¬£¬Î¬³Ö¼ÁÁ¿Ó¦×üõ¡£¡£¡£¡£¡£¡£ÔÚ¶ù¿ÆµÄÓ¦Ó㺡ªÐÂÉú¶ùºÍÓ¤¶ù£¬£¬£¬£¬·úÍéÂé×íÏÂÐÂÉú¶ùºÍÓ¤¶ùµÄED90Óë³ÉÈ˵ĴóÖÂÏàͬ(¡Ö28mg/kg)¡£¡£¡£¡£¡£¡£ÐÂÉú¶ùºÍÓ¤¶ùµÄÆðЧʱ¼ä½Ï¶ùͯºÍ³ÉÈ˶̣¬£¬£¬£¬Õâ¿ÉÄÜÊÇÓÉÓÚÑ»·Ê±¼ä¶ÌºÍÐÄÊä³öÁ¿Ïà¶Ô½Ï´ó£¬£¬£¬£¬²¢ÇÒǰÕßµÄÉñ¾¼¡ÌÖÂÛ¶Ô¼¡ËÉÒ©½ÏÃô¸Ð¡£¡£¡£¡£¡£¡£ÐÂÉú¶ùºÍÓ¤¶ùµÄ×÷Óúͻָ´Ê±¼ä½Ï³ÉÄêÈ˳¤£¬£¬£¬£¬¹Ê±¾Æ·µÄά³Ö¼ÁÁ¿Ó¦ÏìÓ¦ïÔÌ¡£¡£¡£¡£¡£¡£¡ª¶ùͯ£¬£¬£¬£¬·úÍéÂé×íϵĶùͯµÄED90±È³ÉÈ˵ĸß(¡Ö32mg/kg)£¬£¬£¬£¬µ«ÎÞͳ¼ÆÑ§ÎÞÏÔÖø²î±ð¡£¡£¡£¡£¡£¡£Óë³ÉÈËÏà±È£¬£¬£¬£¬Æä×÷Óúͻָ´Ê±¼ä»®·ÖïÔÌ30%ºÍ20%-30%¡£¡£¡£¡£¡£¡£Óë³ÉÈËÀàËÆ£¬£¬£¬£¬ÔÚС¶ù»¼ÕßÖУ¬£¬£¬£¬µ±²ü´¤¸ß¶È»Ö¸´ÖÁ±ÈÕÕÖµµÄ25%ʱ£¬£¬£¬£¬Öظ´×·¼Ó³õʼ¼ÁÁ¿µÄ1/4×÷Ϊά³ÖÓÃÒ©¡£¡£¡£¡£¡£¡£±¾Æ·Öظ´¸øÓèά³Ö¼ÁÁ¿²»»á±¬·¢Ðî»ý×÷Óᣡ£¡£¡£¡£¡£Ö»¹ÜÔÚÐÂÉú¶ù¼°Ó¤¶ùÖÐÆä»Ö¸´Ê±¼ä½Ï³¤£¬£¬£¬£¬µ«²¢²»ÐèҪͨÀýʹÓÃÞ׿¹¼Á¡£¡£¡£¡£¡£¡£ÈôÊÇÓ¦ÓÃÞ׿¹Ò©£¬£¬£¬£¬½«Óë³ÉÈËÒ»ÑùÓÐÓᣡ£¡£¡£¡£¡£
¡¾ÍíÄ껼ÕßÓÃÒ©¡¿È综ÓÐÐÄѪ¹Ü¼²²¡¡¢¸ßÁ䡢ˮÖ׵ȻᵼÖÂÂþÑÜÈÝÁ¿ÔöÌí£¬£¬£¬£¬¾ù¿ÉÄÜÑÓÉìÆðЧʱ¼ä¡£¡£¡£¡£¡£¡£
¡¾Ò©Îï¹ýÁ¿¡¿ÔÚÓÃÒ©¹ýÁ¿¼°Éñ¾¼¡Èâ×èÖÍÑÓÉìµÄÇéÐÎÏ£¬£¬£¬£¬²¡ÈËÓ¦¸øÓè»úÐµÍ¨Æø£¬£¬£¬£¬²¢¸øÓèÊʵ±µÄµ¨¼î֬øÒÖÖÆ¼Á(ÈçÐÂ˹µÄÃ÷¡¢ßÁà¤Ë¹µÄÃ÷¡¢ÌÚϲÁú)×÷ΪÞ׿¹¼Á¡£¡£¡£¡£¡£¡£µ±Ê¹Óõ¨¼î֬øÒÖÖÆ¼Á²»¿É»Ö¸´±¾Æ·µÄÉñ¾¼¡Èâ×÷ÓÃʱ£¬£¬£¬£¬»úÐµÍ¨ÆøÓ¦³ÖÐøÖÁ×ÔÖ÷ºôÎü»Ö¸´¡£¡£¡£¡£¡£¡£Öظ´Ê¹Óõ¨¼î֬øÒÖÖÆ¼ÁÊÇΣÏյġ£¡£¡£¡£¡£¡£
¡¾Ò©Àí¶¾Àí¡¿±¾Æ·Îª¾ºÕùÐÔ·ÇÈ¥¼«»¯¼¡ÈâËÉи¼Á£¬£¬£¬£¬Í¨¹ý¾ºÕùµ¨¼îÄÜÊÜÌåÆð×è¶ÏÒÒõ£µ¨¼îµÄ×÷Óᣡ£¡£¡£¡£¡£Æä×÷ÓÿÉÒÔ±»ÐÂ˹µÄÃ÷µÈ¿¹µ¨¼î֬øҩËùÄæ×ª¡£¡£¡£¡£¡£¡£ÔÚ³õʼ¼ÁÁ¿ÇéÐÎÏ£¬£¬£¬£¬±¬·¢µÄ¼¡ÈâËÉи³ÖÐøÊ±¼ä½Ï¶Ì£¬£¬£¬£¬»Ö¸´¿ì¡£¡£¡£¡£¡£¡£²»ÓÕ·¢×é°·ÊÍ·Å£¬£¬£¬£¬²»ÒýÆðÖ§Æø¹Ü¾·ÂκÍѪѹϽµµÈ¡£¡£¡£¡£¡£¡£
¡¾Ò©´ú¶¯Á¦Ñ§¡¿Ò©¶¯Ñ§Çк϶þÊÒ¿ª·ÅÄ£×Ó£¬£¬£¬£¬ÂþÑÜt1/2ԼΪ4·ÖÖÓ£¬£¬£¬£¬Ïû³ýt1/2ԼΪ30¡« 80·ÖÖÓ£¬£¬£¬£¬Æ½¾ùÎÈ̬ѪҩŨ¶ÈΪ0.137¦Ìg/ml¡£¡£¡£¡£¡£¡£¸øÒ©ºóÔ¼1-3·ÖÖÓ¼¡Èâ×îÏÈËÉи£¬£¬£¬£¬³ÖÐø20-30·ÖÖÓ¡£¡£¡£¡£¡£¡£¾²Âö×¢Éäºó£¬£¬£¬£¬ÆäÂþÑܰëË¥ÆÚԼĪΪ2.2(¡À1.4)·ÖÖÓ¡£¡£¡£¡£¡£¡£Ö÷ÒªÂþÑÜÓÚϸ°ûÍâÒº¡£¡£¡£¡£¡£¡£ÎÈ̬ʱ£¬£¬£¬£¬ÆäÂþÑÜÈÝ»ý³ÉÈËÆ½¾ùΪ0.27L/kg£¬£¬£¬£¬ÆäѪ½¬É¨³ýÂÊΪ5.2(¡À0.7)ml/kg/min¡£¡£¡£¡£¡£¡£Ñª½¬É¨³ý°ëË¥ÆÚƽ¾ùΪ71(¡À20)·ÖÖÓ¡£¡£¡£¡£¡£¡£Æä´úлˮƽÏà¶Ô½ÏµÍ¡£¡£¡£¡£¡£¡£ÈËÌ嵨ֺÍÄòÖеÄ3-ôÇ»ùÑÜÉúÎïÊÇÆä´úл²úÆ·£¬£¬£¬£¬¼¡ËÉЧÁ¦Ô¼ÄªÎª±¾Æ·µÄ50%¡£¡£¡£¡£¡£¡£ÔÚÎÞ¸ÎË¥»òÉöË¥µÄ²¡ÈËÖУ¬£¬£¬£¬ÕâÖÖ´úл²úÆ·µÄѪ½¬Å¨¶È¼«µÍ¡£¡£¡£¡£¡£¡£Ö÷ÒªÒÔÕæÏàºÍ´úлÎïµÄÐÎʽ¾µ¨ÖÇãÔþ£¬£¬£¬£¬Ð¡²¿·ÖÓÉÉöÔàÇãÔþ¡£¡£¡£¡£¡£¡£Ô¼Äª40¡«80%ÒÔµ¥¼¾ï§ÐÎʽ¾µ¨ÖÉøÍ¸£¬£¬£¬£¬ÆäÖÐ95%Ϊ±¾Æ·ÔÐÍ£¬£¬£¬£¬5%Ϊ3-ôÇ»ùä廯ά¿âäåï§¡£¡£¡£¡£¡£¡£ÒòÓÉÉöÔàÇãÔþºÜÉÙ£¬£¬£¬£¬¾°òë×Äڲ嵼¹ÜÍøÂçµ½µÄ24СʱÄòÁ¿£¬£¬£¬£¬Æ½¾ùº¬ÓÐ30%µÄ¾²×¢ä廯ά¿âäåï§¡£¡£¡£¡£¡£¡£
¡¾Öü²Ø¡¿Ãܱգ¬£¬£¬£¬ÔÚÒõÁ¹(²»Áè¼Ý20¡æ)´¦ÉúÑÄ¡£¡£¡£¡£¡£¡£
¡¾°ü×°¡¿Î÷ÁÖÆ¿×°¡£¡£¡£¡£¡£¡£10Ö§/ºÐ¡£¡£¡£¡£¡£¡£
¡¾ÓÐÓÃÆÚ¡¿24¸öÔÂ
¡¾Ö´Ðбê×¼¡¿¹ú¼ÒʳÎïÒ©Æ·¼àÊÓÖÎÀí¾Ö±ê×¼YBH15812006¡¶ÖйúÒ©µä¡·2020°æµÚ¶þ²¿
¡¾Åú×¼Îĺš¿¹úÒ©×¼×ÖH20065437
¡¾ÉÏÊÐÔÊÐí³ÖÓÐÈË¡¿Ãû³Æ£ºÉ½Î÷tyc41183Ì«Ñô³É¼¯ÍÅÌ©Ê¢ÖÆÒ©ÓÐÏÞ¹«Ë¾
×¢²áµØµã£ºÉ½Î÷Ê¡´óͬÊо¼ÃÊÖÒÕ¿ª·¢ÇøµÚÒ»Ò½Ò©Ô°Çø
¡¾Éú²úÆóÒµ¡¿ÆóÒµÃû³Æ£ºÉ½Î÷tyc41183Ì«Ñô³É¼¯ÍÅÌ©Ê¢ÖÆÒ©ÓÐÏÞ¹«Ë¾
Éú²úµØµã£ºÉ½Î÷Ê¡´óͬÊо¼ÃÊÖÒÕ¿ª·¢ÇøµÚÒ»Ò½Ò©Ô°Çø
ÓÊÕþ±àÂ룺037300
µç»°ºÅÂ룺0352-7290991
´«ÕæºÅÂ룺0352-7290990
