
¡¾Ò©Æ·Ãû³Æ¡¿Í¨ÓÃÃû³Æ£º×¢ÉäÓÃÁòË᳤´ºÐ¼î
Ó¢ÎÄÃû³Æ£ºVincristine Sulfate for Injection
ººÓïÆ´Òô£ºZhusheyong LiusuanChangchunxinjian
¡¾³É·Ý¡¿±¾Æ·Ö÷Òª³É·ÝΪÁòË᳤´ºÐ¼¡£¡£¡£¡£
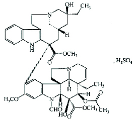
Æä½á¹¹Ê½Îª£º

·Ö×Óʽ£ºC46H56N4O10¡¤H2SO4
·Ö×ÓÁ¿£º923.04
ËùÓи¨ÁÏÃû³ÆÎª£º¸Ê¶´¼
¡¾ÐÔ×´¡¿±¾Æ·Îª°×É«»òÀà°×É«µÄËÉÉ¢×´»òÎÞ¶¨ÐιÌÌ壻£»ÓÐÒýʪÐÔ£»£»Óö¹â»òÈÈÒױ仯¡£¡£¡£¡£¡£
¡¾Ë³Ó¦Ö¢¡¿1¡¢¼±ÐÔ°×Ѫ²¡£¬£¬£¬£¬ÓÈÆäÊǶùͯ¼±ÐÔ°×Ѫ²¡£¬£¬£¬£¬¶Ô¼±ÐÔÁܰÍϸ°û°×Ѫ²¡ÁÆÐ§ÏÔÖø¡£¡£¡£¡£¡£2¡¢¶ñÐÔÁܰÍÁö¡£¡£¡£¡£¡£3¡¢Éúֳϸ°ûÖ×Áö¡£¡£¡£¡£¡£4¡¢Ð¡Ï¸°û·Î°©£¬£¬£¬£¬ÓÈÎÄÈâÁö¡¢Éöĸϸ°ûÁö¡¢Éñ¾Ä¸Ï¸°ûÁö¡£¡£¡£¡£¡£5¡¢ÈéÏÙ°©¡¢ÂýÐÔÁܰÍϸ°û°×Ѫ²¡¡¢Ïû»¯µÀ°©¡¢ÐþÉ«ËØÁö¼°¶à·¢ÐÔ¹ÇËèÁöµÈ¡£¡£¡£¡£¡£
¡¾¹æ¸ñ¡¿1mg
¡¾Ó÷¨ÓÃÁ¿¡¿³ÉÈ˼ÁÁ¿1¡«2mg(»ò1.4mg/©O)×î´ó²»´óÓÚ2mg£¬£¬£¬£¬ÄêËê´óÓÚ65ËêÕߣ¬£¬£¬£¬×î´óÿ´Î1mg¡£¡£¡£¡£¡£¶ùͯ75¦Ìg/kg»ò2.0mg/©O£¬£¬£¬£¬Ã¿ÖÜ1´Î¾²Âö×¢Éä»òÍ»Èë¡£¡£¡£¡£¡£ÁªºÏ»¯ÁÆÊÇÁ¬ÓÃ2ÖÜΪһÖÜÆÚ¡£¡£¡£¡£¡£
¡¾²»Á¼·´Ó³¡¿1¡¢¼ÁÁ¿ÏÞÖÆÐÔ¶¾ÐÔÊÇÉñ¾ÏµÍ³¶¾ÐÔ£¬£¬£¬£¬Ö÷ÒªÒýÆðÍâÖÜÉñ¾Ö¢×´£¬£¬£¬£¬ÈçÊÖÖ¸¡¢Éñ¾¶¾ÐԵȣ¬£¬£¬£¬ÓëÀÛ»ýÁ¿Óйء£¡£¡£¡£¡£×ãÖºÂéľ¡¢ëì·´É仺Âý»òÏûÊÅ£¬£¬£¬£¬ÍâÖÜÉñ¾Ñס£¡£¡£¡£¡£¸¹Í´¡¢±ãÃØ£¬£¬£¬£¬ÂéľÐÔ³¦¹£×èż¼û¡£¡£¡£¡£¡£Ô˶¯Éñ¾¡¢¸ÐÊÜÉñ¾ºÍÄÔÉñ¾Ò²¿ÉÊܵ½ÆÆË𣬣¬£¬£¬²¢±¬·¢ÏìÓ¦Ö¢×´¡£¡£¡£¡£¡£Éñ¾¶¾ÐÔ³£±¬·¢ÓÚ40ËêÒÔÉÏÕߣ¬£¬£¬£¬¶ùͯµÄÄÍÊÜÐÔºÃÓÚ³ÉÈË£¬£¬£¬£¬¶ñÐÔÁܰÍÁö²¡ÈË·ºÆðÉñ¾¶¾ÐÔµÄÇãÏò¸ßÓÚÆäËûÖ×Áö²¡ÈË¡£¡£¡£¡£¡£2¡¢¹ÇËèÒÖÖÆºÍÏû»¯µÀ·´Ó³½ÏÇá¡£¡£¡£¡£¡£3¡¢Óоֲ¿×éÖ¯´Ì¼¤×÷Ó㬣¬£¬£¬Ò©Òº²»¿ÉÍâ©£¬£¬£¬£¬·ñÔò¿ÉÒýÆð¾Ö²¿»µËÀ¡£¡£¡£¡£¡£4¡¢¿É¼ûÍÑ·¢£¬£¬£¬£¬Å¼¼ûѪѹµÄ¸Ä±ä¡£¡£¡£¡£¡£
¡¾½û¼É¡¿Éв»Ã÷È·¡£¡£¡£¡£¡£
¡¾×¢ÖØÊÂÏî¡¿1¡¢½öÓÃÓÚ¾²Âö×¢É䣬£¬£¬£¬Â©ÓÚÆ¤Ï¿ɵ¼ÖÂ×éÖ¯»µËÀ¡¢·äÎÑÖ¯Ñס£¡£¡£¡£¡£Ò»µ©Â©³ö»ò¿ÉÒÉÍâ©£¬£¬£¬£¬Ó¦Á¬Ã¦×èÖ¹ÊäÒº£¬£¬£¬£¬²¢ÓèÏìÓ¦´¦Àí(²Î¿¼µª½æÍ⩵Ĵ¦Àí)¡£¡£¡£¡£¡£2¡¢·ÀÖ¹Ò©Òº½¦ÈëÑÛÄÚ£¬£¬£¬£¬Ò»µ©±¬·¢Ó¦Á¬Ã¦Óôó×ÚÐÄÀíÑÎË®³åÏ´£¬£¬£¬£¬ÒÔºóÓ¦ÓõØÈûÃ×ËÉÑ۸ౣ»£»¤¡£¡£¡£¡£¡£3¡¢Í»Èë¾²Âöʱ×èÖ¹ÈÕ¹âÖ±½ÓÕÕÉä¡£¡£¡£¡£¡£4¡¢¸Î¹¦Ð§Ò쳣ʱ¼õÁ¿Ê¹Óᣡ£¡£¡£¡£
¡¾Ôи¾¼°²¸ÈéÆÚ¸¾Å®ÓÃÒ©¡¿Éв»Ã÷È·¡£¡£¡£¡£¡£
¡¾¶ùͯÓÃÒ©¡¿Éв»Ã÷È·¡£¡£¡£¡£¡£
¡¾ÍíÄêÓÃÒ©¡¿Éв»Ã÷È·¡£¡£¡£¡£¡£
¡¾Ò©ÎïÏ໥×÷Óá¿1¡¢ßÁ¿©ÏµÁп¹Õæ¾ú¼Á(ÒÁÇú¿µßò)£¬£¬£¬£¬ÔöÌí¼¡ÈâÉñ¾ÏµÍ³µÄ¸±×÷Óᣡ£¡£¡£¡£Èç·¢Ã÷Óи±×÷Ó㬣¬£¬£¬Ó¦¾ÙÐмõÁ¿¡¢ÔÝÍ£»£»òÍ£Ò©µÈÊʵ±´¦Àí¡£¡£¡£¡£¡£ÒÁÇú¿µßòÓÐ×è°¸Îϸ°ûÉ«ËØP-450 3AµÄ×÷Ó㬣¬£¬£¬³¤´ºÐ¼îͨ¹ý¸Îϸ°ûÈ¾É«ËØP-450 3A´úл£¬£¬£¬£¬ÊÊÓÿÉʹ³¤´ºÐ¼î´úлÊÜÒÖÖÆ¡£¡£¡£¡£¡£2¡¢Óë±½Í×ӢįÊÊÓ㬣¬£¬£¬½µµÍ±½Í×ӢįÎüÊÕ£¬£¬£¬£¬»òʹ´úл¿º½ø¡£¡£¡£¡£¡£3¡¢Ó뺬²¬µÄ¿¹ÑÇ¡¢¶ñÐÔÖ×Áö¼ÁÊÊÓ㬣¬£¬£¬¿ÉÄÜÔöÇ¿µÚ8¶ÔÄÔÉñ¾Õϰ¡£¡£¡£¡£¡£4¡¢ÓëL-Ì춬õ£°·Ã¸ÊÊÓ㬣¬£¬£¬¿ÉÄÜÔöÇ¿Éñ¾ÏµÍ³¼°ÑªÒºÏµÍ³µÄÕϰ¡£¡£¡£¡£¡£Îª½«¶¾ÐÔ¿ØÖƵ½×îС£¬£¬£¬£¬¿É½«ÁòË᳤´ºÐ¼îÔÚL-Ì춬õ£°·Ã¸¸øÒ©Ç°12¡«24СʱÒÔǰʹÓᣡ£¡£¡£¡£
¡¾Ò©Îï¹ýÁ¿¡¿Éв»Ã÷È·¡£¡£¡£¡£¡£
¡¾Ò©Àí¶¾Àí¡¿³¤´ºÐ¼îΪ¼ÐÖñÌÒ¿ÆÖ²Îﳤ´º»¨ÖÐÌáÈ¡µÄÓÐÓÃÒòËØ¡£¡£¡£¡£¡£¿£¿£¿£¿¹Ö×Áö×÷ÓðеãÊÇ΢¹Ü£¬£¬£¬£¬Ö÷ÒªÒÖÖÆÎ¢¹ÜÂѰ׵ľۺ϶øÓ°Ïì·Ä´¸Ìå΢¹ÜµÄÐγɡ£¡£¡£¡£¡£Ê¹ÓÐË¿ÆÆËé×èÖ¹ÓÚÖÐÆÚ¡£¡£¡£¡£¡£»£»¹¿É×ÌÈÅÂѰ×ÖÊ´úл¼°ÒÖÖÆRNA¶à¾ÛøµÄ»îÁ¦£¬£¬£¬£¬²¢ÒÖÖÆÏ¸°ûĤÀàÖ¬ÖʵĺϳɺͰ±»ùËáÔÚϸ°ûĤÉϵÄתÔË¡£¡£¡£¡£¡£³¤´ºÐ¼î¶ÔÒÆÖ²ÐÔÖ×ÁöµÄÒÖÖÆ×÷ÓôóÓÚ³¤´º»¨¼îÇÒ¿¹ÁöÆ×¹ã¡£¡£¡£¡£¡£³ý¶Ô³¤´º»¨¼îÃô¸ÐµÄÁöÖêÓÐÓÃÍ⣬£¬£¬£¬¶ÔСÊóRidgeway³É¹ÇѪÁö¡¢MeccaÁܰÍÈâÁö¡¢X-5563¹ÇËèÁöµÈÒ²ÓÐ×÷Óᣡ£¡£¡£¡£³¤´ºÐ¼³¤´º»¨¼îºÍ³¤´ºµØÐÁÈýÕß¼äÎÞ½»Ö¯ÄÍÒ©Õ÷Ï󣬣¬£¬£¬³¤´ºÐ¼îÉñ¾¶¾ÐÔÔÚÈýÕßÖÐ×îÇ¿¡£¡£¡£¡£¡£
¡¾Ò©´ú¶¯Á¦Ñ§¡¿¾²×¢³¤´ºÐ¼îºóѸËÙÂþÑÜÓÚ¸÷×éÖ¯£¬£¬£¬£¬Éñ¾Ï¸°ûÄÚŨ¶È½Ï¸ß£¬£¬£¬£¬ºÜÉÙ͸¹ýѪÄÔÆÁÕÏ£¬£¬£¬£¬ÄÔ¼¹ÒºÅ¨¶ÈÊÇѪ½¬Å¨¶ÈµÄ1/30¡«1/20¡£¡£¡£¡£¡£ÂѰ×Á¬ÏµÂÊ75%¡£¡£¡£¡£¡£ÔÚ³ÉÈË£¬£¬£¬£¬T1/2¦ÁСÓÚ5·ÖÖÓ£¬£¬£¬£¬T1/2¦ÂΪ50¡«155·ÖÖÓ£¬£¬£¬£¬Ä©ÉÒÏû³ýÏàT1/2¦Ã³¤´ï85Сʱ¡£¡£¡£¡£¡£ÔÚ¸ÎÄÚ´úл£¬£¬£¬£¬ÔÚµ¨ÖÖÐŨ¶È×î¸ß£¬£¬£¬£¬Ö÷ÒªËæµ¨ÖÇãÔþ£¬£¬£¬£¬·à±ãÉøÍ¸70%£¬£¬£¬£¬ÄòÖÐÉøÍ¸5%¡«16%¡£¡£¡£¡£¡£³¤´ºÐ¼îÄÜÑ¡ÔñÐԵؼ¯ÖÐÔÚ°©×éÖ¯£¬£¬£¬£¬¿ÉʹÔöֳϸ°ûͬ²½»¯£¬£¬£¬£¬½ø¶øÊ¹¿¹Ö×ÁöÒ©ÎïÔöЧ¡£¡£¡£¡£¡£
¡¾Öü²Ø¡¿Õڹ⣬£¬£¬£¬Ãܱգ¬£¬£¬£¬ÔÚÀä´¦(2-10¡æ)ÉúÑÄ¡£¡£¡£¡£¡£
¡¾°ü×°¡¿Î÷ÁÖÆ¿×°¡£¡£¡£¡£¡£10Ö§/ºÐ¡£¡£¡£¡£¡£
¡¾ÓÐÓÃÆÚ¡¿24¸öÔÂ
¡¾Ö´Ðбê×¼¡¿¡¶ÖйúÒ©µä¡·2015Äê°æµÚÒ»Ôö²¹±¾
¡¾Åú×¼Îĺš¿¹úÒ©×¼×ÖH14020811
¡¾Éú²úÆóÒµ¡¿ÆóÒµÃû³Æ£ºÉ½Î÷tyc41183Ì«Ñô³É¼¯ÍÅÌ©Ê¢ÖÆÒ©ÓÐÏÞ¹«Ë¾
Éú²úµØµã£ºÉ½Î÷Ê¡´óͬÊо¼ÃÊÖÒÕ¿ª·¢ÇøµÚÒ»Ò½Ò©Ô°Çø
ÓÊÕþ±àÂ룺037300
µç»°ºÅÂ룺0352¡ª7290991
´«ÕæºÅÂ룺0352¡ª7290990

¡¾Ò©Æ·Ãû³Æ¡¿Í¨ÓÃÃû³Æ£º×¢ÉäÓÃÁòË᳤´ºÐ¼î
Ó¢ÎÄÃû³Æ£ºVincristine Sulfate for Injection
ººÓïÆ´Òô£ºZhusheyong LiusuanChangchunxinjian
¡¾³É·Ý¡¿±¾Æ·Ö÷Òª³É·ÝΪÁòË᳤´ºÐ¼¡£¡£¡£¡£
Æä½á¹¹Ê½Îª£º

·Ö×Óʽ£ºC46H56N4O10¡¤H2SO4
·Ö×ÓÁ¿£º923.04
ËùÓи¨ÁÏÃû³ÆÎª£º¸Ê¶´¼
¡¾ÐÔ×´¡¿±¾Æ·Îª°×É«»òÀà°×É«µÄËÉÉ¢×´»òÎÞ¶¨ÐιÌÌ壻£»ÓÐÒýʪÐÔ£»£»Óö¹â»òÈÈÒױ仯¡£¡£¡£¡£¡£
¡¾Ë³Ó¦Ö¢¡¿1¡¢¼±ÐÔ°×Ѫ²¡£¬£¬£¬£¬ÓÈÆäÊǶùͯ¼±ÐÔ°×Ѫ²¡£¬£¬£¬£¬¶Ô¼±ÐÔÁܰÍϸ°û°×Ѫ²¡ÁÆÐ§ÏÔÖø¡£¡£¡£¡£¡£2¡¢¶ñÐÔÁܰÍÁö¡£¡£¡£¡£¡£3¡¢Éúֳϸ°ûÖ×Áö¡£¡£¡£¡£¡£4¡¢Ð¡Ï¸°û·Î°©£¬£¬£¬£¬ÓÈÎÄÈâÁö¡¢Éöĸϸ°ûÁö¡¢Éñ¾Ä¸Ï¸°ûÁö¡£¡£¡£¡£¡£5¡¢ÈéÏÙ°©¡¢ÂýÐÔÁܰÍϸ°û°×Ѫ²¡¡¢Ïû»¯µÀ°©¡¢ÐþÉ«ËØÁö¼°¶à·¢ÐÔ¹ÇËèÁöµÈ¡£¡£¡£¡£¡£
¡¾¹æ¸ñ¡¿1mg
¡¾Ó÷¨ÓÃÁ¿¡¿³ÉÈ˼ÁÁ¿1¡«2mg(»ò1.4mg/©O)×î´ó²»´óÓÚ2mg£¬£¬£¬£¬ÄêËê´óÓÚ65ËêÕߣ¬£¬£¬£¬×î´óÿ´Î1mg¡£¡£¡£¡£¡£¶ùͯ75¦Ìg/kg»ò2.0mg/©O£¬£¬£¬£¬Ã¿ÖÜ1´Î¾²Âö×¢Éä»òÍ»Èë¡£¡£¡£¡£¡£ÁªºÏ»¯ÁÆÊÇÁ¬ÓÃ2ÖÜΪһÖÜÆÚ¡£¡£¡£¡£¡£
¡¾²»Á¼·´Ó³¡¿1¡¢¼ÁÁ¿ÏÞÖÆÐÔ¶¾ÐÔÊÇÉñ¾ÏµÍ³¶¾ÐÔ£¬£¬£¬£¬Ö÷ÒªÒýÆðÍâÖÜÉñ¾Ö¢×´£¬£¬£¬£¬ÈçÊÖÖ¸¡¢Éñ¾¶¾ÐԵȣ¬£¬£¬£¬ÓëÀÛ»ýÁ¿Óйء£¡£¡£¡£¡£×ãÖºÂéľ¡¢ëì·´É仺Âý»òÏûÊÅ£¬£¬£¬£¬ÍâÖÜÉñ¾Ñס£¡£¡£¡£¡£¸¹Í´¡¢±ãÃØ£¬£¬£¬£¬ÂéľÐÔ³¦¹£×èż¼û¡£¡£¡£¡£¡£Ô˶¯Éñ¾¡¢¸ÐÊÜÉñ¾ºÍÄÔÉñ¾Ò²¿ÉÊܵ½ÆÆË𣬣¬£¬£¬²¢±¬·¢ÏìÓ¦Ö¢×´¡£¡£¡£¡£¡£Éñ¾¶¾ÐÔ³£±¬·¢ÓÚ40ËêÒÔÉÏÕߣ¬£¬£¬£¬¶ùͯµÄÄÍÊÜÐÔºÃÓÚ³ÉÈË£¬£¬£¬£¬¶ñÐÔÁܰÍÁö²¡ÈË·ºÆðÉñ¾¶¾ÐÔµÄÇãÏò¸ßÓÚÆäËûÖ×Áö²¡ÈË¡£¡£¡£¡£¡£2¡¢¹ÇËèÒÖÖÆºÍÏû»¯µÀ·´Ó³½ÏÇá¡£¡£¡£¡£¡£3¡¢Óоֲ¿×éÖ¯´Ì¼¤×÷Ó㬣¬£¬£¬Ò©Òº²»¿ÉÍâ©£¬£¬£¬£¬·ñÔò¿ÉÒýÆð¾Ö²¿»µËÀ¡£¡£¡£¡£¡£4¡¢¿É¼ûÍÑ·¢£¬£¬£¬£¬Å¼¼ûѪѹµÄ¸Ä±ä¡£¡£¡£¡£¡£
¡¾½û¼É¡¿Éв»Ã÷È·¡£¡£¡£¡£¡£
¡¾×¢ÖØÊÂÏî¡¿1¡¢½öÓÃÓÚ¾²Âö×¢É䣬£¬£¬£¬Â©ÓÚÆ¤Ï¿ɵ¼ÖÂ×éÖ¯»µËÀ¡¢·äÎÑÖ¯Ñס£¡£¡£¡£¡£Ò»µ©Â©³ö»ò¿ÉÒÉÍâ©£¬£¬£¬£¬Ó¦Á¬Ã¦×èÖ¹ÊäÒº£¬£¬£¬£¬²¢ÓèÏìÓ¦´¦Àí(²Î¿¼µª½æÍ⩵Ĵ¦Àí)¡£¡£¡£¡£¡£2¡¢·ÀÖ¹Ò©Òº½¦ÈëÑÛÄÚ£¬£¬£¬£¬Ò»µ©±¬·¢Ó¦Á¬Ã¦Óôó×ÚÐÄÀíÑÎË®³åÏ´£¬£¬£¬£¬ÒÔºóÓ¦ÓõØÈûÃ×ËÉÑ۸ౣ»£»¤¡£¡£¡£¡£¡£3¡¢Í»Èë¾²Âöʱ×èÖ¹ÈÕ¹âÖ±½ÓÕÕÉä¡£¡£¡£¡£¡£4¡¢¸Î¹¦Ð§Ò쳣ʱ¼õÁ¿Ê¹Óᣡ£¡£¡£¡£
¡¾Ôи¾¼°²¸ÈéÆÚ¸¾Å®ÓÃÒ©¡¿Éв»Ã÷È·¡£¡£¡£¡£¡£
¡¾¶ùͯÓÃÒ©¡¿Éв»Ã÷È·¡£¡£¡£¡£¡£
¡¾ÍíÄêÓÃÒ©¡¿Éв»Ã÷È·¡£¡£¡£¡£¡£
¡¾Ò©ÎïÏ໥×÷Óá¿1¡¢ßÁ¿©ÏµÁп¹Õæ¾ú¼Á(ÒÁÇú¿µßò)£¬£¬£¬£¬ÔöÌí¼¡ÈâÉñ¾ÏµÍ³µÄ¸±×÷Óᣡ£¡£¡£¡£Èç·¢Ã÷Óи±×÷Ó㬣¬£¬£¬Ó¦¾ÙÐмõÁ¿¡¢ÔÝÍ£»£»òÍ£Ò©µÈÊʵ±´¦Àí¡£¡£¡£¡£¡£ÒÁÇú¿µßòÓÐ×è°¸Îϸ°ûÉ«ËØP-450 3AµÄ×÷Ó㬣¬£¬£¬³¤´ºÐ¼îͨ¹ý¸Îϸ°ûÈ¾É«ËØP-450 3A´úл£¬£¬£¬£¬ÊÊÓÿÉʹ³¤´ºÐ¼î´úлÊÜÒÖÖÆ¡£¡£¡£¡£¡£2¡¢Óë±½Í×ӢįÊÊÓ㬣¬£¬£¬½µµÍ±½Í×ӢįÎüÊÕ£¬£¬£¬£¬»òʹ´úл¿º½ø¡£¡£¡£¡£¡£3¡¢Ó뺬²¬µÄ¿¹ÑÇ¡¢¶ñÐÔÖ×Áö¼ÁÊÊÓ㬣¬£¬£¬¿ÉÄÜÔöÇ¿µÚ8¶ÔÄÔÉñ¾Õϰ¡£¡£¡£¡£¡£4¡¢ÓëL-Ì춬õ£°·Ã¸ÊÊÓ㬣¬£¬£¬¿ÉÄÜÔöÇ¿Éñ¾ÏµÍ³¼°ÑªÒºÏµÍ³µÄÕϰ¡£¡£¡£¡£¡£Îª½«¶¾ÐÔ¿ØÖƵ½×îС£¬£¬£¬£¬¿É½«ÁòË᳤´ºÐ¼îÔÚL-Ì춬õ£°·Ã¸¸øÒ©Ç°12¡«24СʱÒÔǰʹÓᣡ£¡£¡£¡£
¡¾Ò©Îï¹ýÁ¿¡¿Éв»Ã÷È·¡£¡£¡£¡£¡£
¡¾Ò©Àí¶¾Àí¡¿³¤´ºÐ¼îΪ¼ÐÖñÌÒ¿ÆÖ²Îﳤ´º»¨ÖÐÌáÈ¡µÄÓÐÓÃÒòËØ¡£¡£¡£¡£¡£¿£¿£¿£¿¹Ö×Áö×÷ÓðеãÊÇ΢¹Ü£¬£¬£¬£¬Ö÷ÒªÒÖÖÆÎ¢¹ÜÂѰ׵ľۺ϶øÓ°Ïì·Ä´¸Ìå΢¹ÜµÄÐγɡ£¡£¡£¡£¡£Ê¹ÓÐË¿ÆÆËé×èÖ¹ÓÚÖÐÆÚ¡£¡£¡£¡£¡£»£»¹¿É×ÌÈÅÂѰ×ÖÊ´úл¼°ÒÖÖÆRNA¶à¾ÛøµÄ»îÁ¦£¬£¬£¬£¬²¢ÒÖÖÆÏ¸°ûĤÀàÖ¬ÖʵĺϳɺͰ±»ùËáÔÚϸ°ûĤÉϵÄתÔË¡£¡£¡£¡£¡£³¤´ºÐ¼î¶ÔÒÆÖ²ÐÔÖ×ÁöµÄÒÖÖÆ×÷ÓôóÓÚ³¤´º»¨¼îÇÒ¿¹ÁöÆ×¹ã¡£¡£¡£¡£¡£³ý¶Ô³¤´º»¨¼îÃô¸ÐµÄÁöÖêÓÐÓÃÍ⣬£¬£¬£¬¶ÔСÊóRidgeway³É¹ÇѪÁö¡¢MeccaÁܰÍÈâÁö¡¢X-5563¹ÇËèÁöµÈÒ²ÓÐ×÷Óᣡ£¡£¡£¡£³¤´ºÐ¼³¤´º»¨¼îºÍ³¤´ºµØÐÁÈýÕß¼äÎÞ½»Ö¯ÄÍÒ©Õ÷Ï󣬣¬£¬£¬³¤´ºÐ¼îÉñ¾¶¾ÐÔÔÚÈýÕßÖÐ×îÇ¿¡£¡£¡£¡£¡£
¡¾Ò©´ú¶¯Á¦Ñ§¡¿¾²×¢³¤´ºÐ¼îºóѸËÙÂþÑÜÓÚ¸÷×éÖ¯£¬£¬£¬£¬Éñ¾Ï¸°ûÄÚŨ¶È½Ï¸ß£¬£¬£¬£¬ºÜÉÙ͸¹ýѪÄÔÆÁÕÏ£¬£¬£¬£¬ÄÔ¼¹ÒºÅ¨¶ÈÊÇѪ½¬Å¨¶ÈµÄ1/30¡«1/20¡£¡£¡£¡£¡£ÂѰ×Á¬ÏµÂÊ75%¡£¡£¡£¡£¡£ÔÚ³ÉÈË£¬£¬£¬£¬T1/2¦ÁСÓÚ5·ÖÖÓ£¬£¬£¬£¬T1/2¦ÂΪ50¡«155·ÖÖÓ£¬£¬£¬£¬Ä©ÉÒÏû³ýÏàT1/2¦Ã³¤´ï85Сʱ¡£¡£¡£¡£¡£ÔÚ¸ÎÄÚ´úл£¬£¬£¬£¬ÔÚµ¨ÖÖÐŨ¶È×î¸ß£¬£¬£¬£¬Ö÷ÒªËæµ¨ÖÇãÔþ£¬£¬£¬£¬·à±ãÉøÍ¸70%£¬£¬£¬£¬ÄòÖÐÉøÍ¸5%¡«16%¡£¡£¡£¡£¡£³¤´ºÐ¼îÄÜÑ¡ÔñÐԵؼ¯ÖÐÔÚ°©×éÖ¯£¬£¬£¬£¬¿ÉʹÔöֳϸ°ûͬ²½»¯£¬£¬£¬£¬½ø¶øÊ¹¿¹Ö×ÁöÒ©ÎïÔöЧ¡£¡£¡£¡£¡£
¡¾Öü²Ø¡¿Õڹ⣬£¬£¬£¬Ãܱգ¬£¬£¬£¬ÔÚÀä´¦(2-10¡æ)ÉúÑÄ¡£¡£¡£¡£¡£
¡¾°ü×°¡¿Î÷ÁÖÆ¿×°¡£¡£¡£¡£¡£10Ö§/ºÐ¡£¡£¡£¡£¡£
¡¾ÓÐÓÃÆÚ¡¿24¸öÔÂ
¡¾Ö´Ðбê×¼¡¿¡¶ÖйúÒ©µä¡·2015Äê°æµÚÒ»Ôö²¹±¾
¡¾Åú×¼Îĺš¿¹úÒ©×¼×ÖH14020811
¡¾Éú²úÆóÒµ¡¿ÆóÒµÃû³Æ£ºÉ½Î÷tyc41183Ì«Ñô³É¼¯ÍÅÌ©Ê¢ÖÆÒ©ÓÐÏÞ¹«Ë¾
Éú²úµØµã£ºÉ½Î÷Ê¡´óͬÊо¼ÃÊÖÒÕ¿ª·¢ÇøµÚÒ»Ò½Ò©Ô°Çø
ÓÊÕþ±àÂ룺037300
µç»°ºÅÂ룺0352¡ª7290991
´«ÕæºÅÂ룺0352¡ª7290990
