
¡¾Ò©Æ·Ãû³Æ¡¿Í¨ÓÃÃû³Æ£º×¢ÉäÓÃÍ·æßÇúËÉÄÆ
Ó¢ÎÄÃû³Æ£ºCeftriaxone Sodium for Injection
ººÓïÆ´Òô£ºZhusheyong Toubaoqusongna
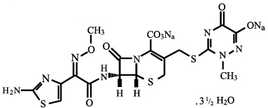
¡¾³É·Ý¡¿±¾Æ·Ö÷Òª³É·ÝΪͷæßÇúËÉÄÆ¡£¡£¡£Æä»¯Ñ§Ãû³ÆÎª£º(6R£¬£¬7R)-7-[[(2Z)-(2-°±»ùàçßò-4-»ù)£¨¼×Ñõ»ùÑǰ±»ù)ÒÒõ£»£»ù]°±»ù]-3-[[(2-¼×»ù-6-ôÇ»ù-5-Ñõ´ú-2£¬£¬5-¶þÇâ-1£¬£¬2£¬£¬4-Èýàº-3-»ù£©Áò»ù]¼×»ù]-8-Ñõ´ú-5-ÁòÔÓ-1-µªÔÓË«»·[4.2.0]ÐÁ-2-Ï©-2-ôÈËá¶þÄÆÑÎÈý±¶°ëË®ºÏÎï¡£¡£¡£
Æä»¯Ñ§½á¹¹Ê½£º

·Ö×Óʽ£ºC18H16N8Na2O7S3¡¤3?H2O
·Ö×ÓÁ¿£º661.59
¡¾ÐÔ×´¡¿±¾Æ·Îª°×É«»òÀà°×É«½á¾§ÐÔ·ÛÄ©£»£»ÎÞ³ô¡£¡£¡£
¡¾Ë³Ó¦Ö¢¡¿ÓÃÓÚÃô¸ÐÖ²¡¾úËùÖµÄϺôÎüµÀѬȾ¡¢Äò·¡¢µ¨µÀѬȾ£¬£¬ÒÔ¼°¸¹Ç»Ñ¬È¾¡¢ÅèǻѬȾ¡¢Æ¤·ôÈí×é֯ѬȾ¡¢¹ÇºÍÊàŦѬȾ¡¢°ÜѪ֢¡¢ÄÔĤÑ׵ȼ°ÊÖÊõÆÚѬȾԤ·À¡£¡£¡£±¾Æ·µ¥¼Á¿ÉÖÎÁÆ´¿´âÐÔÁܲ¡¡£¡£¡£
¡¾¹æ¸ñ¡¿°´C18H16N8Na2O7S3¼Æ1.0g
¡¾Ó÷¨ÓÃÁ¿¡¿¼¡ÄÚ×¢Éä»ò¾²ÂöµÎ×¢¸øÒ©¡£¡£¡£1¡¢¼¡ÄÚ×¢ÉäÈÜÒºµÄÅäÖÆ£ºÒÔ3.6mlÃð¾ú×¢ÉäÓÃË®¡¢ÂÈ»¯ÄÆ×¢ÉäÒº¡¢5%ÆÏÌÑÌÇ×¢ÉäÒº»ò1%ÑÎËáÀû¶à¿¨Òò¼ÓÈë1gƿװÖУ¬£¬ÖƳÉÿ1mlº¬250mgÍ·æßÇúËɵÄÈÜÒº¡£¡£¡£2¡¢¾²Âö¸øÒ©ÈÜÒºµÄÅäÖÆ£º½«9.6mlǰÊöÏ¡ÊÍÒº(³ýÀû¶à¿¨ÒòÍâ)¼ÓÈë1gƿװÖУ¬£¬ÖƳÉÿ1mlº¬100mgÍ·æßÇúËɵÄÈÜÒºÔÙÓÃ5%ÆÏÌÑÌÇ×¢ÉäÒº»òÂÈ»¯ÄÆ×¢ÉäÒº100¡«250mlÏ¡Êͺó¾²ÂöµÎ×¢¡£¡£¡£³ÉÈ˳£ÓÃÁ¿£º¼¡ÄÚ»ò¾²ÂöµÎ×¢£¬£¬Ã¿24Сʱ1¡«2g»òÿ12Сʱ0.5¡«1g¡£¡£¡£×î¸ß¼ÁÁ¿Ò»ÈÕ4g¡£¡£¡£ÁƳÌ7¡«14ÈÕ¡£¡£¡£Ð¡¶ù³£ÓÃÁ¿£º¾²ÂöµÎ×¢£¬£¬°´ÌåÖØÒ»ÈÕ20¡«80mg/kg¡£¡£¡£12ËêÒÔÉÏС¶ùÓóÉÈ˼ÁÁ¿¡£¡£¡£ÖÎÁÆÁܲ¡µÄÍÆ¼ö¼ÁÁ¿Îªµ¥¼Á¼¡ÄÚ×¢Éä0.25g¡£¡£¡£
¡¾²»Á¼·´Ó³¡¿²»Á¼·´Ó³ÓëÖÎÁƵļÁÁ¿¡¢ÁƳÌÓйء£¡£¡£¾Ö²¿·´Ó³Óо²ÂöÑ×(1.86%)£¬£¬±ðµÄ¿ÉÓÐÆ¤Õî¡¢ðþÑ÷¡¢·¢ÈÈ¡¢Ö§Æø¹Ü¾·ÂκÍѪÇ岡µÈ¹ýÃô·´Ó³(2.77%)£¬£¬Í·Í´»òÍ·ÔÎ(0.27%)£¬£¬¸¹Ðº¡¢¶ñÐÄ¡¢ÍÂÄæ¡¢¸¹Í´¡¢½á³¦Ñס¢»Æðã¡¢ÕÍÆø¡¢Î¶¾õÕϰºÍÏû»¯²»Á¼µÈÏû»¯µÀ·´Ó³(3.45%)¡£¡£¡£ÊµÑéÊÒ¼ì²éÒì³£Ô¼19%£¬£¬ÆäÖÐѪҺѧ¼ì²éÒì³£Õ¼14%£¬£¬°üÀ¨ÊÈËáÐÔÁ£Ï¸°ûÔö¶à£¬£¬ÑªÐ¡°åÔö¶à»òïÔ̺Ͱ×ϸ°ûïÔÌ¡£¡£¡£¸ÎÉö¹¦Ð§Òì³£ÕßΪ5%ºÍ1.4%¡£¡£¡£
¡¾½û¼É¡¿¶ÔÍ·æß¾úËØÀ࿹ÉúËØ¹ýÃôÕß½ûÓᣡ£¡£
¡¾×¢ÖØÊÂÏî¡¿1¡¢¸øÒ©Ç°Ðè¾ÙÐйýÃôÊÔÑé¡£¡£¡£2¡¢½»Ö¯¹ýÃô·´Ó³£º¶ÔÒ»ÖÖÍ·æß¾úËØ»òÍ·Ã¹ËØ(cephamycin)¹ýÃôÕß¶ÔÆäËûÍ·æß¾úËØ»òÍ·Ã¹ËØÒ²¿ÉÄܹýÃô¡£¡£¡£¶ÔÇàÃ¹ËØÀà¡¢ÇàÃ¹ËØÑÜÉúÎï»òÇàù°·¹ýÃôÕßÒ²¿ÉÄܶÔÍ·æß¾úËØ»òÍ·Ã¹ËØ¹ýÃô¡£¡£¡£¶ÔÇàÃ¹ËØ¹ýÃô²¡ÈËÓ¦ÓÃÍ·æß¾úËØÊ±±¬·¢¹ýÃô·´Ó³Õß´ï5%~10%£»£»Èç×÷ÃâÒß·´Ó³²â׼ʱ£¬£¬Ôò¶ÔÇàÃ¹ËØ¹ýÃô²¡È˶ÔÍ·æß¾úËØ¹ýÃôÕß´ï20%¡£¡£¡£3¡¢¶ÔÇàÃ¹ËØ¹ýÃô²¡ÈËÓ¦Óñ¾Æ·Ê±Ó¦Æ¾Ö¤²¡ÈËÇéÐγä·ÖȨºâÀû±×ºó¾öÒé¡£¡£¡£ÓÐÇàÃ¹ËØ¹ýÃôÐÔÐݿ˻òÂíÉÏ·´Ó³Õߣ¬£¬²»ÒËÔÙÑ¡ÓÃÍ·æß¾úËØÀà¡£¡£¡£4¡¢ÓÐ賦µÀ¼²²¡Ê·Õߣ¬£¬ÌØÊâÊÇÀ£ÑñÐԽ᳦Ñס¢¾ÖÏÞÐÔ³¦Ñ×»ò¿¹ÉúËØÏà¹ØÐԽ᳦Ñ×(Í·æß¾úËØÀàºÜÉÙ±¬·¢Î±Ä¤ÐԽ᳦Ñ×)ÕßÓ¦É÷Óᣡ£¡£5¡¢ÓÉÓÚÍ·æß¾úËØÀà¶¾ÐԵͣ¬£¬ÒÔÊÇÓÐÂýÐԸβ¡»¼ÕßÓ¦Óñ¾Æ·Ê±²»Ðèµ÷½â¼ÁÁ¿¡£¡£¡£²¡ÈËÓÐÑÏÖØ¸ÎÉöË𺦻ò¸ÎÓ²»¯ÕßÓ¦µ÷½â¼ÁÁ¿¡£¡£¡£6¡¢Éö¹¦Ð§²»È«»¼Õß¼¡ôûɨ³ý´óÓÚ5ml/·ÖÖÓ£¬£¬ÖðÈÕÓ¦Óñ¾Æ·¼ÁÁ¿ÉÙÓÚ2gʱ£¬£¬²»Ðè×÷¼ÁÁ¿µ÷½â¡£¡£¡£ÑªÒºÍ¸Îöɨ³ý±¾Æ·µÄÁ¿Î´¼¸£¬£¬Í¸ÎöºóÎÞÐèÔö²¹¼ÁÁ¿¡£¡£¡£7¡¢¶ÔÕï¶ÏµÄ×ÌÈÅ£ºÓ¦Óñ¾Æ·µÄ»¼ÕßÒÔÁòËáÍ·¨²âÄòÌÇʱ¿É»ñµÃ¼ÙÑôÐÔ·´Ó³£¬£¬ÒÔÆÏÌÑÌÇø¹æÔò²»ÊÜÓ°Ï죻£»ÑªÄòËØµªºÍѪÇ弡ôû¿ÉÓÐÔÝʱÐÔÉý¸ß£»£»ÑªÇ嵨ºìÖÊ¡¢¼îÐÔÁ×Ëáø¡¢±û°±Ëá°±»ù×ªÒÆÃ¸(ALT)ºÍÃŶ¬°±Ëá°±»ù×ªÒÆÃ¸(AST)½Ô¿ÉÉý¸ß¡£¡£¡£8¡¢±¾Æ·µÄÉúÑÄζÈΪ25¡æÒÔÏ¡£¡£¡£9¡¢±¾Æ·²»¿É¼ÓÈë¹þÌØÂüÊÏÒÔ¼°ÁÖ¸ñÊϵȺ¬ÓиƵÄÈÜÒºÖÐʹÓᣡ£¡£
¡¾Ôи¾¼°²¸ÈéÆÚ¸¾Å®ÓÃÒ©¡¿Ôи¾ºÍ²¸ÈéÆÚ¸¾Å®Ó¦ÓÃÍ·æß¾úËØÀàËäÉÐδ¼û±¬·¢ÎÊÌâµÄ±¨¸æ£¬£¬ÆäÓ¦ÓÃÈÔÐëȨºâÀû±×¡£¡£¡£
¡¾¶ùͯÓÃÒ©¡¿ÐÂÉú¶ù(³öÉúÌåÖØÐ¡ÓÚ2kgÕß)µÄÓÃÒ©Çå¾²ÉÐδȷ¶¨¡£¡£¡£ÓлÆðãµÄÐÂÉú¶ù»òÓлÆðãÑÏÖØÇãÏòµÄÐÂÉú¶ùÓ¦É÷Óûò×èֹʹÓñ¾Æ·¡£¡£¡£¡¾ÍíÄêÓÃÒ©¡¿³ý·ÇÍíÄ껼ÕßÐéÈõ¡¢ÓªÑø²»Á¼»òÓÐÖØ¶ÈÉö¹¦Ð§Ëðº¦Ê±£¬£¬ÍíÄêÈËÓ¦ÓÃÍ·æßÇúËÉÒ»°ã²»Ðèµ÷½â¼ÁÁ¿¡£¡£¡£
¡¾Ò©ÎïÏ໥×÷Óá¿1¡¢Í·æß¾úËØÀྲÂöÊäÒºÖмÓÈëºìÃ¹ËØ¡¢ËÄ»·ËØ¡¢Á½ÐÔÃ¹ËØB¡¢Ñª¹Ü»îÐÔÒ©(¼äôǰ·¡¢È¥¼×ÉöÉÏÏÙËØµÈ)¡¢±½Í×Ӣį¡¢Âȱûມ¢Òì±ûມ¢Î¬ÉúËØB×塢άÉúËØCµÈʱ½«·ºÆð»ì×Ç¡£¡£¡£ÓÉÓÚ±¾Æ·µÄÅäÎé½û¼ÉÒ©ÎïÉõ¶à£¬£¬ÒÔÊÇÓ¦µ¥¶À¸øÒ©¡£¡£¡£2¡¢Ó¦Óñ¾Æ·Ê±´úÒû¾Æ»ò·þº¬¾Æ¾«Ò©ÎïʱÔÚ¸öÌ岡È˿ɷºÆðË«ÁòÂØÑù·´Ó³£¬£¬¹ÊÔÚÓ¦Óñ¾Æ·Ê±´úºÍÒÔºóÊýÌìÄÚ£¬£¬Ó¦×èÖ¹Òû¾ÆºÍ·þº¬¾Æ¾«µÄÒ©Îï¡£¡£¡£
¡¾Ò©Îï¹ýÁ¿¡¿Éв»Ã÷È·¡£¡£¡£
¡¾Ò©Àí¶¾Àí¡¿±¾Æ·ÎªµÚÈý´úÍ·æß¾úËØÀ࿹ÉúËØ¡£¡£¡£¶Ô³¦¸Ë¾ú¿ÆÏ¸¾úÓÐǿʢ»îÐÔ¡£¡£¡£¶Ô´ó³¦°£Ï£¾ú¡¢·ÎÑ׿ËÀײ®¾ú¡¢²úÆø³¦¸Ë¾ú¡¢·úÀ͵ØèÛéÚËá¸Ë¾ú¡¢ßÅßáÑôÐÔ±äÐθ˾ú¡¢ÆÕ³ÍþµÇ¾úÊôºÍɳÀ×¾úÊôµÄMIC90½éÓÚ0.12~0.25mgLÖ®¼ä¡£¡£¡£Òõ¹µ³¦¸Ë¾ú¡¢²»¶¯¸Ë¾úÊôºÍÍÂ̼ٵ¥°û¾ú¶Ô±¾Æ·µÄÃô¸ÐÐԲ¡£¡£¶ÔÁ÷¸ÐÊÈѪ¸Ë¾ú¡¢Áܲ¡ÄÎɪ¾úºÍÄÔĤÑ×ÄÎɪ¾úÓнÏÇ¿¿¹¾ú×÷Ó㬣¬¶ÔÈÜѪÐÔÁ´Çò¾úºÍ·ÎÑ×Çò¾úÒàÓÐÓÅÒì×÷Óᣡ£¡£¶Ô½ð»ÆÉ«ÆÏÌÑÇò¾úµÄMICΪ2~4mg/L¡£¡£¡£Äͼ×ÑõÎ÷ÁÖÆÏÌÑÇò¾úºÍ³¦Çò¾ú¶Ô±¾Æ·ÄÍÒ©¡£¡£¡£´ó¶¼Å³ÈõÄâ¸Ë¾ú¶Ô±¾Æ·ÄÍÒ©¡£¡£¡£
¡¾Ò©´ú¶¯Á¦Ñ§¡¿¼¡ÄÚ×¢É䱾Ʒ0.5gºÍ1g£¬£¬Ô¼ÓÚ2СʱºóµÖ´ïѪҩ·åŨ¶È(Cmax)£»£»»®·ÖΪ43mg/LºÍ80mg/L¡£¡£¡£¼¡ÄÚ×¢Éä0.5gºó24СʱµÄѪҩŨ¶ÈΪ6.0mg/L£¬£¬ÑªÏû³ý°ëË¥ÆÚ(t1/2¦Â)Ϊ7.1Сʱ¡£¡£¡£1·ÖÖÓÄÚ¾²×¢0.5g£¬£¬ÂíÉÏѪҩ·åŨ¶È(Cmax)Ϊ150.9mg/L£¬£¬24СʱºóµÄѪҩŨ¶ÈΪ9.9mg/L£¬£¬ÑªÏû³ý°ëË¥ÆÚ(t1/2¦Â)Ϊ7.87Сʱ¡£¡£¡£30·ÖÖÓÄÚ¾²µÎ±¾Æ·1g£¬£¬µÎ×¢¿¢ÊÂʱµÄÂíÉÏѪҩ·åŨ¶È(Cmax)Ϊ150.7mg/L£¬£¬24СʱµÄѪҩŨ¶ÈΪ9.3mg/L¡£¡£¡£¸ø»¯Å§ÐÔÄÔĤÑײ¡ÈËÖðÈÕ¼¡ÄÚ×¢Éä15¡«20mg/kgºó£¬£¬6СʱµÄÄÔ¼¹ÒºÅ¨¶Èƽ¾ùΪ5.16mg/L£¬£¬12СʱµÄŨ¶ÈΪ2.3mg/L¡£¡£¡£¾²ÂöµÎ×¢±¾Æ·1gºó5СʱºÍ14Сʱµ¨ÖÖÐŨ¶È»®·ÖΪ1600mg/LºÍ13.5mg/L¡£¡£¡£ÂѰ×Á¬ÏµÂÊΪ95%¡£¡£¡£Í·æßÇúËÉÔÚÈËÌåÄÚ²»±»´úл£¬£¬Ô¼40%µÄÒ©ÎïÒÔÕæÏà×Ôµ¨µÀºÍ³¦µÀÇãÔþ£¬£¬60%×ÔÄòÖÐÇãÔþ¡£¡£¡£±û»ÇÊæ²»¿ÉÔö¸ß±¾Æ·ÑªÒ©Å¨¶È»òÑÓÉìÆä°ëË¥ÆÚ¡£¡£¡£
¡¾Öü²Ø¡¿Õڹ⣬£¬Ãܱգ¬£¬ÔÚÒõÁ¹(²»Áè¼Ý20¡æ)¸ÉÔï´¦ÉúÑÄ¡£¡£¡£
¡¾°ü×°¡¿Î÷ÁÖÆ¿×°¡£¡£¡£10Ö§/ºÐ¡£¡£¡£
¡¾ÓÐÓÃÆÚ¡¿30¸öÔ¡£¡£¡£
¡¾Ö´Ðбê×¼¡¿¡¶ÖйúÒ©µä¡·2020Äê°æ¶þ²¿
¡¾Åú×¼Îĺš¿¹úÒ©×¼×ÖH14020693
¡¾ÉÏÊÐÔÊÐí³ÖÓÐÈË¡¿Ãû³Æ£ºÉ½Î÷tyc41183Ì«Ñô³É¼¯ÍÅÌ©Ê¢ÖÆÒ©ÓÐÏÞ¹«Ë¾
×¢²áµØµã£ºÉ½Î÷Ê¡´óͬÊо¼ÃÊÖÒÕ¿ª·¢ÇøµÚÒ»Ò½Ò©Ô°Çø
¡¾Éú²úÆóÒµ¡¿ÆóÒµÃû³Æ£ºÉ½Î÷tyc41183Ì«Ñô³É¼¯ÍÅÌ©Ê¢ÖÆÒ©ÓÐÏÞ¹«Ë¾
Éú²úµØµã£ºÉ½Î÷Ê¡´óͬÊо¼ÃÊÖÒÕ¿ª·¢ÇøµÚÒ»Ò½Ò©Ô°Çø
ÓÊÕþ±àÂ룺037300
µç»°ºÅÂ룺0352¡ª7290991
´«ÕæºÅÂ룺0352¡ª7290990

¡¾Ò©Æ·Ãû³Æ¡¿Í¨ÓÃÃû³Æ£º×¢ÉäÓÃÍ·æßÇúËÉÄÆ
Ó¢ÎÄÃû³Æ£ºCeftriaxone Sodium for Injection
ººÓïÆ´Òô£ºZhusheyong Toubaoqusongna
¡¾³É·Ý¡¿±¾Æ·Ö÷Òª³É·ÝΪͷæßÇúËÉÄÆ¡£¡£¡£Æä»¯Ñ§Ãû³ÆÎª£º(6R£¬£¬7R)-7-[[(2Z)-(2-°±»ùàçßò-4-»ù)£¨¼×Ñõ»ùÑǰ±»ù)ÒÒõ£»£»ù]°±»ù]-3-[[(2-¼×»ù-6-ôÇ»ù-5-Ñõ´ú-2£¬£¬5-¶þÇâ-1£¬£¬2£¬£¬4-Èýàº-3-»ù£©Áò»ù]¼×»ù]-8-Ñõ´ú-5-ÁòÔÓ-1-µªÔÓË«»·[4.2.0]ÐÁ-2-Ï©-2-ôÈËá¶þÄÆÑÎÈý±¶°ëË®ºÏÎï¡£¡£¡£
Æä»¯Ñ§½á¹¹Ê½£º

·Ö×Óʽ£ºC18H16N8Na2O7S3¡¤3?H2O
·Ö×ÓÁ¿£º661.59
¡¾ÐÔ×´¡¿±¾Æ·Îª°×É«»òÀà°×É«½á¾§ÐÔ·ÛÄ©£»£»ÎÞ³ô¡£¡£¡£
¡¾Ë³Ó¦Ö¢¡¿ÓÃÓÚÃô¸ÐÖ²¡¾úËùÖµÄϺôÎüµÀѬȾ¡¢Äò·¡¢µ¨µÀѬȾ£¬£¬ÒÔ¼°¸¹Ç»Ñ¬È¾¡¢ÅèǻѬȾ¡¢Æ¤·ôÈí×é֯ѬȾ¡¢¹ÇºÍÊàŦѬȾ¡¢°ÜѪ֢¡¢ÄÔĤÑ׵ȼ°ÊÖÊõÆÚѬȾԤ·À¡£¡£¡£±¾Æ·µ¥¼Á¿ÉÖÎÁÆ´¿´âÐÔÁܲ¡¡£¡£¡£
¡¾¹æ¸ñ¡¿°´C18H16N8Na2O7S3¼Æ1.0g
¡¾Ó÷¨ÓÃÁ¿¡¿¼¡ÄÚ×¢Éä»ò¾²ÂöµÎ×¢¸øÒ©¡£¡£¡£1¡¢¼¡ÄÚ×¢ÉäÈÜÒºµÄÅäÖÆ£ºÒÔ3.6mlÃð¾ú×¢ÉäÓÃË®¡¢ÂÈ»¯ÄÆ×¢ÉäÒº¡¢5%ÆÏÌÑÌÇ×¢ÉäÒº»ò1%ÑÎËáÀû¶à¿¨Òò¼ÓÈë1gƿװÖУ¬£¬ÖƳÉÿ1mlº¬250mgÍ·æßÇúËɵÄÈÜÒº¡£¡£¡£2¡¢¾²Âö¸øÒ©ÈÜÒºµÄÅäÖÆ£º½«9.6mlǰÊöÏ¡ÊÍÒº(³ýÀû¶à¿¨ÒòÍâ)¼ÓÈë1gƿװÖУ¬£¬ÖƳÉÿ1mlº¬100mgÍ·æßÇúËɵÄÈÜÒºÔÙÓÃ5%ÆÏÌÑÌÇ×¢ÉäÒº»òÂÈ»¯ÄÆ×¢ÉäÒº100¡«250mlÏ¡Êͺó¾²ÂöµÎ×¢¡£¡£¡£³ÉÈ˳£ÓÃÁ¿£º¼¡ÄÚ»ò¾²ÂöµÎ×¢£¬£¬Ã¿24Сʱ1¡«2g»òÿ12Сʱ0.5¡«1g¡£¡£¡£×î¸ß¼ÁÁ¿Ò»ÈÕ4g¡£¡£¡£ÁƳÌ7¡«14ÈÕ¡£¡£¡£Ð¡¶ù³£ÓÃÁ¿£º¾²ÂöµÎ×¢£¬£¬°´ÌåÖØÒ»ÈÕ20¡«80mg/kg¡£¡£¡£12ËêÒÔÉÏС¶ùÓóÉÈ˼ÁÁ¿¡£¡£¡£ÖÎÁÆÁܲ¡µÄÍÆ¼ö¼ÁÁ¿Îªµ¥¼Á¼¡ÄÚ×¢Éä0.25g¡£¡£¡£
¡¾²»Á¼·´Ó³¡¿²»Á¼·´Ó³ÓëÖÎÁƵļÁÁ¿¡¢ÁƳÌÓйء£¡£¡£¾Ö²¿·´Ó³Óо²ÂöÑ×(1.86%)£¬£¬±ðµÄ¿ÉÓÐÆ¤Õî¡¢ðþÑ÷¡¢·¢ÈÈ¡¢Ö§Æø¹Ü¾·ÂκÍѪÇ岡µÈ¹ýÃô·´Ó³(2.77%)£¬£¬Í·Í´»òÍ·ÔÎ(0.27%)£¬£¬¸¹Ðº¡¢¶ñÐÄ¡¢ÍÂÄæ¡¢¸¹Í´¡¢½á³¦Ñס¢»Æðã¡¢ÕÍÆø¡¢Î¶¾õÕϰºÍÏû»¯²»Á¼µÈÏû»¯µÀ·´Ó³(3.45%)¡£¡£¡£ÊµÑéÊÒ¼ì²éÒì³£Ô¼19%£¬£¬ÆäÖÐѪҺѧ¼ì²éÒì³£Õ¼14%£¬£¬°üÀ¨ÊÈËáÐÔÁ£Ï¸°ûÔö¶à£¬£¬ÑªÐ¡°åÔö¶à»òïÔ̺Ͱ×ϸ°ûïÔÌ¡£¡£¡£¸ÎÉö¹¦Ð§Òì³£ÕßΪ5%ºÍ1.4%¡£¡£¡£
¡¾½û¼É¡¿¶ÔÍ·æß¾úËØÀ࿹ÉúËØ¹ýÃôÕß½ûÓᣡ£¡£
¡¾×¢ÖØÊÂÏî¡¿1¡¢¸øÒ©Ç°Ðè¾ÙÐйýÃôÊÔÑé¡£¡£¡£2¡¢½»Ö¯¹ýÃô·´Ó³£º¶ÔÒ»ÖÖÍ·æß¾úËØ»òÍ·Ã¹ËØ(cephamycin)¹ýÃôÕß¶ÔÆäËûÍ·æß¾úËØ»òÍ·Ã¹ËØÒ²¿ÉÄܹýÃô¡£¡£¡£¶ÔÇàÃ¹ËØÀà¡¢ÇàÃ¹ËØÑÜÉúÎï»òÇàù°·¹ýÃôÕßÒ²¿ÉÄܶÔÍ·æß¾úËØ»òÍ·Ã¹ËØ¹ýÃô¡£¡£¡£¶ÔÇàÃ¹ËØ¹ýÃô²¡ÈËÓ¦ÓÃÍ·æß¾úËØÊ±±¬·¢¹ýÃô·´Ó³Õß´ï5%~10%£»£»Èç×÷ÃâÒß·´Ó³²â׼ʱ£¬£¬Ôò¶ÔÇàÃ¹ËØ¹ýÃô²¡È˶ÔÍ·æß¾úËØ¹ýÃôÕß´ï20%¡£¡£¡£3¡¢¶ÔÇàÃ¹ËØ¹ýÃô²¡ÈËÓ¦Óñ¾Æ·Ê±Ó¦Æ¾Ö¤²¡ÈËÇéÐγä·ÖȨºâÀû±×ºó¾öÒé¡£¡£¡£ÓÐÇàÃ¹ËØ¹ýÃôÐÔÐݿ˻òÂíÉÏ·´Ó³Õߣ¬£¬²»ÒËÔÙÑ¡ÓÃÍ·æß¾úËØÀà¡£¡£¡£4¡¢ÓÐ賦µÀ¼²²¡Ê·Õߣ¬£¬ÌØÊâÊÇÀ£ÑñÐԽ᳦Ñס¢¾ÖÏÞÐÔ³¦Ñ×»ò¿¹ÉúËØÏà¹ØÐԽ᳦Ñ×(Í·æß¾úËØÀàºÜÉÙ±¬·¢Î±Ä¤ÐԽ᳦Ñ×)ÕßÓ¦É÷Óᣡ£¡£5¡¢ÓÉÓÚÍ·æß¾úËØÀà¶¾ÐԵͣ¬£¬ÒÔÊÇÓÐÂýÐԸβ¡»¼ÕßÓ¦Óñ¾Æ·Ê±²»Ðèµ÷½â¼ÁÁ¿¡£¡£¡£²¡ÈËÓÐÑÏÖØ¸ÎÉöË𺦻ò¸ÎÓ²»¯ÕßÓ¦µ÷½â¼ÁÁ¿¡£¡£¡£6¡¢Éö¹¦Ð§²»È«»¼Õß¼¡ôûɨ³ý´óÓÚ5ml/·ÖÖÓ£¬£¬ÖðÈÕÓ¦Óñ¾Æ·¼ÁÁ¿ÉÙÓÚ2gʱ£¬£¬²»Ðè×÷¼ÁÁ¿µ÷½â¡£¡£¡£ÑªÒºÍ¸Îöɨ³ý±¾Æ·µÄÁ¿Î´¼¸£¬£¬Í¸ÎöºóÎÞÐèÔö²¹¼ÁÁ¿¡£¡£¡£7¡¢¶ÔÕï¶ÏµÄ×ÌÈÅ£ºÓ¦Óñ¾Æ·µÄ»¼ÕßÒÔÁòËáÍ·¨²âÄòÌÇʱ¿É»ñµÃ¼ÙÑôÐÔ·´Ó³£¬£¬ÒÔÆÏÌÑÌÇø¹æÔò²»ÊÜÓ°Ï죻£»ÑªÄòËØµªºÍѪÇ弡ôû¿ÉÓÐÔÝʱÐÔÉý¸ß£»£»ÑªÇ嵨ºìÖÊ¡¢¼îÐÔÁ×Ëáø¡¢±û°±Ëá°±»ù×ªÒÆÃ¸(ALT)ºÍÃŶ¬°±Ëá°±»ù×ªÒÆÃ¸(AST)½Ô¿ÉÉý¸ß¡£¡£¡£8¡¢±¾Æ·µÄÉúÑÄζÈΪ25¡æÒÔÏ¡£¡£¡£9¡¢±¾Æ·²»¿É¼ÓÈë¹þÌØÂüÊÏÒÔ¼°ÁÖ¸ñÊϵȺ¬ÓиƵÄÈÜÒºÖÐʹÓᣡ£¡£
¡¾Ôи¾¼°²¸ÈéÆÚ¸¾Å®ÓÃÒ©¡¿Ôи¾ºÍ²¸ÈéÆÚ¸¾Å®Ó¦ÓÃÍ·æß¾úËØÀàËäÉÐδ¼û±¬·¢ÎÊÌâµÄ±¨¸æ£¬£¬ÆäÓ¦ÓÃÈÔÐëȨºâÀû±×¡£¡£¡£
¡¾¶ùͯÓÃÒ©¡¿ÐÂÉú¶ù(³öÉúÌåÖØÐ¡ÓÚ2kgÕß)µÄÓÃÒ©Çå¾²ÉÐδȷ¶¨¡£¡£¡£ÓлÆðãµÄÐÂÉú¶ù»òÓлÆðãÑÏÖØÇãÏòµÄÐÂÉú¶ùÓ¦É÷Óûò×èֹʹÓñ¾Æ·¡£¡£¡£¡¾ÍíÄêÓÃÒ©¡¿³ý·ÇÍíÄ껼ÕßÐéÈõ¡¢ÓªÑø²»Á¼»òÓÐÖØ¶ÈÉö¹¦Ð§Ëðº¦Ê±£¬£¬ÍíÄêÈËÓ¦ÓÃÍ·æßÇúËÉÒ»°ã²»Ðèµ÷½â¼ÁÁ¿¡£¡£¡£
¡¾Ò©ÎïÏ໥×÷Óá¿1¡¢Í·æß¾úËØÀྲÂöÊäÒºÖмÓÈëºìÃ¹ËØ¡¢ËÄ»·ËØ¡¢Á½ÐÔÃ¹ËØB¡¢Ñª¹Ü»îÐÔÒ©(¼äôǰ·¡¢È¥¼×ÉöÉÏÏÙËØµÈ)¡¢±½Í×Ӣį¡¢Âȱûມ¢Òì±ûມ¢Î¬ÉúËØB×塢άÉúËØCµÈʱ½«·ºÆð»ì×Ç¡£¡£¡£ÓÉÓÚ±¾Æ·µÄÅäÎé½û¼ÉÒ©ÎïÉõ¶à£¬£¬ÒÔÊÇÓ¦µ¥¶À¸øÒ©¡£¡£¡£2¡¢Ó¦Óñ¾Æ·Ê±´úÒû¾Æ»ò·þº¬¾Æ¾«Ò©ÎïʱÔÚ¸öÌ岡È˿ɷºÆðË«ÁòÂØÑù·´Ó³£¬£¬¹ÊÔÚÓ¦Óñ¾Æ·Ê±´úºÍÒÔºóÊýÌìÄÚ£¬£¬Ó¦×èÖ¹Òû¾ÆºÍ·þº¬¾Æ¾«µÄÒ©Îï¡£¡£¡£
¡¾Ò©Îï¹ýÁ¿¡¿Éв»Ã÷È·¡£¡£¡£
¡¾Ò©Àí¶¾Àí¡¿±¾Æ·ÎªµÚÈý´úÍ·æß¾úËØÀ࿹ÉúËØ¡£¡£¡£¶Ô³¦¸Ë¾ú¿ÆÏ¸¾úÓÐǿʢ»îÐÔ¡£¡£¡£¶Ô´ó³¦°£Ï£¾ú¡¢·ÎÑ׿ËÀײ®¾ú¡¢²úÆø³¦¸Ë¾ú¡¢·úÀ͵ØèÛéÚËá¸Ë¾ú¡¢ßÅßáÑôÐÔ±äÐθ˾ú¡¢ÆÕ³ÍþµÇ¾úÊôºÍɳÀ×¾úÊôµÄMIC90½éÓÚ0.12~0.25mgLÖ®¼ä¡£¡£¡£Òõ¹µ³¦¸Ë¾ú¡¢²»¶¯¸Ë¾úÊôºÍÍÂ̼ٵ¥°û¾ú¶Ô±¾Æ·µÄÃô¸ÐÐԲ¡£¡£¶ÔÁ÷¸ÐÊÈѪ¸Ë¾ú¡¢Áܲ¡ÄÎɪ¾úºÍÄÔĤÑ×ÄÎɪ¾úÓнÏÇ¿¿¹¾ú×÷Ó㬣¬¶ÔÈÜѪÐÔÁ´Çò¾úºÍ·ÎÑ×Çò¾úÒàÓÐÓÅÒì×÷Óᣡ£¡£¶Ô½ð»ÆÉ«ÆÏÌÑÇò¾úµÄMICΪ2~4mg/L¡£¡£¡£Äͼ×ÑõÎ÷ÁÖÆÏÌÑÇò¾úºÍ³¦Çò¾ú¶Ô±¾Æ·ÄÍÒ©¡£¡£¡£´ó¶¼Å³ÈõÄâ¸Ë¾ú¶Ô±¾Æ·ÄÍÒ©¡£¡£¡£
¡¾Ò©´ú¶¯Á¦Ñ§¡¿¼¡ÄÚ×¢É䱾Ʒ0.5gºÍ1g£¬£¬Ô¼ÓÚ2СʱºóµÖ´ïѪҩ·åŨ¶È(Cmax)£»£»»®·ÖΪ43mg/LºÍ80mg/L¡£¡£¡£¼¡ÄÚ×¢Éä0.5gºó24СʱµÄѪҩŨ¶ÈΪ6.0mg/L£¬£¬ÑªÏû³ý°ëË¥ÆÚ(t1/2¦Â)Ϊ7.1Сʱ¡£¡£¡£1·ÖÖÓÄÚ¾²×¢0.5g£¬£¬ÂíÉÏѪҩ·åŨ¶È(Cmax)Ϊ150.9mg/L£¬£¬24СʱºóµÄѪҩŨ¶ÈΪ9.9mg/L£¬£¬ÑªÏû³ý°ëË¥ÆÚ(t1/2¦Â)Ϊ7.87Сʱ¡£¡£¡£30·ÖÖÓÄÚ¾²µÎ±¾Æ·1g£¬£¬µÎ×¢¿¢ÊÂʱµÄÂíÉÏѪҩ·åŨ¶È(Cmax)Ϊ150.7mg/L£¬£¬24СʱµÄѪҩŨ¶ÈΪ9.3mg/L¡£¡£¡£¸ø»¯Å§ÐÔÄÔĤÑײ¡ÈËÖðÈÕ¼¡ÄÚ×¢Éä15¡«20mg/kgºó£¬£¬6СʱµÄÄÔ¼¹ÒºÅ¨¶Èƽ¾ùΪ5.16mg/L£¬£¬12СʱµÄŨ¶ÈΪ2.3mg/L¡£¡£¡£¾²ÂöµÎ×¢±¾Æ·1gºó5СʱºÍ14Сʱµ¨ÖÖÐŨ¶È»®·ÖΪ1600mg/LºÍ13.5mg/L¡£¡£¡£ÂѰ×Á¬ÏµÂÊΪ95%¡£¡£¡£Í·æßÇúËÉÔÚÈËÌåÄÚ²»±»´úл£¬£¬Ô¼40%µÄÒ©ÎïÒÔÕæÏà×Ôµ¨µÀºÍ³¦µÀÇãÔþ£¬£¬60%×ÔÄòÖÐÇãÔþ¡£¡£¡£±û»ÇÊæ²»¿ÉÔö¸ß±¾Æ·ÑªÒ©Å¨¶È»òÑÓÉìÆä°ëË¥ÆÚ¡£¡£¡£
¡¾Öü²Ø¡¿Õڹ⣬£¬Ãܱգ¬£¬ÔÚÒõÁ¹(²»Áè¼Ý20¡æ)¸ÉÔï´¦ÉúÑÄ¡£¡£¡£
¡¾°ü×°¡¿Î÷ÁÖÆ¿×°¡£¡£¡£10Ö§/ºÐ¡£¡£¡£
¡¾ÓÐÓÃÆÚ¡¿30¸öÔ¡£¡£¡£
¡¾Ö´Ðбê×¼¡¿¡¶ÖйúÒ©µä¡·2020Äê°æ¶þ²¿
¡¾Åú×¼Îĺš¿¹úÒ©×¼×ÖH14020693
¡¾ÉÏÊÐÔÊÐí³ÖÓÐÈË¡¿Ãû³Æ£ºÉ½Î÷tyc41183Ì«Ñô³É¼¯ÍÅÌ©Ê¢ÖÆÒ©ÓÐÏÞ¹«Ë¾
×¢²áµØµã£ºÉ½Î÷Ê¡´óͬÊо¼ÃÊÖÒÕ¿ª·¢ÇøµÚÒ»Ò½Ò©Ô°Çø
¡¾Éú²úÆóÒµ¡¿ÆóÒµÃû³Æ£ºÉ½Î÷tyc41183Ì«Ñô³É¼¯ÍÅÌ©Ê¢ÖÆÒ©ÓÐÏÞ¹«Ë¾
Éú²úµØµã£ºÉ½Î÷Ê¡´óͬÊо¼ÃÊÖÒÕ¿ª·¢ÇøµÚÒ»Ò½Ò©Ô°Çø
ÓÊÕþ±àÂ룺037300
µç»°ºÅÂ룺0352¡ª7290991
´«ÕæºÅÂ룺0352¡ª7290990
